无先验贝叶斯再构想:可能性推理模型的概率近似
No-prior Bayes reIMagined: probabilistic approximations of possibilistic inferential models
https://www.arxiv.org/pdf/2503.19748

摘要 当缺乏先验信息时,概率推断的常用策略是通过贝叶斯定理将“默认先验”与似然函数结合。客观贝叶斯、(广义)Fiducial 推断等方法均属于此类。这种构造虽自然,但所得后验分布通常仅能提供有限的、近似有效的不确定性量化。本文提出一种重新构想的方法,可生成具有更强可靠性性质的后验分布。该方法首先构建一个推理模型(IM),其数学形式为数据驱动的可能性测度,并具备精确有效的不确定性量化能力;随后,返回该可能性测度的一个所谓“内概率近似”(inner probabilistic approximation)。此内概率近似继承了原 IM 的诸多优良性质,包括具有精确覆盖概率的可信集和渐近效率。在具有群不变结构的模型中,该近似结果与熟悉的贝叶斯/Fiducial 解一致。文中还提出了一种用于计算该概率近似的蒙特卡洛方法,并附有数值示例。
关键词与短语:置信分布;信度集;Fiducial 推断;p 值;可能性理论;相对似然;有效性。
1 引言 科学通过将当前已知(无论多么模糊或不完整)表述为先验信念,并借助规范性程序在新数据出现时更新这些信念而进步——这一范式自然且深植于每一位学习过概率与统计的人心中。尽管其颇具吸引力,但实施该范式面临诸多挑战,其中尤为突出的是:真实先验信息往往不可得,因而任何特定的先验信念表述都缺乏充分依据。Brad Efron 在 2016 年芝加哥联合统计会议上的报告中指出:“科学家喜欢研究新问题”,这意味着常常缺乏历史或经验来构建有意义的先验分布。出于类似原因,Efron(2013)更正式地指出:“……在缺乏先验信息的情况下使用贝叶斯定理,是统计推断中最重要且尚未解决的问题。” 本文旨在为此“最重要且尚未解决的问题”提供新的见解、理论与方法论。
Fisher(1933, 1935a,b)提出的 Fiducial 论证是上述问题的首个解决方案,被 Savage(1961)称为“试图不打破贝叶斯之蛋而做出贝叶斯煎蛋卷的大胆尝试”;Zabell(1992)与 Dawid(2024)对此有精彩综述。学界共识认为 Fisher 的方案失败了,但即便其“最大失误”(Efron 1998)也产生了深远影响,催生了置信限(Neyman 1941)、非精确概率(Dempster 1966)等基础性进展,以及广义 Fiducial 推断(Hannig 等 2016;Murph 等 2024)、置信分布(Cox 2006;Schweder 和 Hjort 2016;Thornton 和 Xie 2020;Xie 和 Singh 2013)和客观/无信息贝叶斯(Berger 2006;Berger 等 2024;Jeffreys 1946)等新方案。为简化术语,下文将所有这些方法统称为“无先验贝叶斯解”。
在无先验情境下采用类贝叶斯的概率推断面临一个难题:后验概率本身的解释问题。当存在真实先验信息时,贝叶斯后验概率是给定观测数据下对先验信念的唯一一致更新。但若无先验信念可更新,而代之以默认先验,则上述“更新”解释便不复存在,相应后验分布是否具有意义亦不明确。正如 Fraser(2014)所言:“[贝叶斯公式] 无法从假设性概率中创造出真实概率”;更尖锐地,Fraser(2011b)指出:“任何严肃的数学家都会质疑,你如何能在缺失一个前提的情况下,通过编造一个成分就认为[定理]的结论依然成立。”
幸运的是,信念形成所需的推断效力并不要求先验信念的一致更新。但要论证这一点,首先需明确定义何为“具有信念形成推断效力的框架”,其次需证明所提框架满足该要求。对我而言,唯一可行的路径是证明后验概率具有可靠性,即:后验对关于未知量的错误(或正确)断言赋予高(或低)概率的情形是可证明的罕见事件。这种要求的优势在于,其信念形成推断效力源自 Fisher 的归纳逻辑:例如,若“对真断言赋予低概率”是罕见事件,而在当前应用中某断言被赋予低概率,则可安全推断该断言为假,因为罕见事件实际上不会发生。无先验贝叶斯解常具备某种形式的可靠性,但“错误置信定理”(Balch 等 2019;Martin 2019)指出,它们均不具备上述强可靠性性质。既然无先验贝叶斯解无法提供可靠的信念赋值,就有必要超越现有方法。
推理模型(IMs)(如 Martin 2025b;Martin 与 Liu 2013, 2015)是前述概率方法的替代方案,其输出为依赖数据的可能性测度,可对未知参数提供可证明可靠的不确定性量化。第 2 节将详述可能性测度及具体 IM 构造。关键在于,我所提议的从概率到可能性的不确定性量化范式转换,有助于实现强可靠性,并由此自然导出常规频率学派的错误率控制,同时保留完全条件化的类贝叶斯推理。
尽管可能性 IM 相较于概率性无先验贝叶斯解具有优势,但我并不幻想统计学家会在短期内放弃概率主义而转向可能性主义。但这并不意味着 IM 必须等到遥远未来才能发挥作用。本文提出的“再构想”(reIMagined)方法,始于一个可证明可靠、基于似然的可能性 IM,继而提取并返回其“内概率近似”,作为新颖的无先验贝叶斯解。如下文所示,该内概率近似继承了原始可能性 IM 的部分(但非全部)强可靠性性质:特别地,其针对全参数的最高后验密度可信集即为置信集。
提出此新方法的动机在于:仅靠构造默认先验并检验对应后验分布是否可靠,所能达成的目标终究有限。本文建议优先考虑可靠性性质,并直接构造具备这些理想性质的数据依赖概率。
本文其余部分安排如下:第 2 节介绍可能性理论与 IM 的背景知识;第 3 节刻画 IM 的信度集(credal set),并据此定义相应的内概率近似;第 4 节探讨该内概率近似的多种性质,包括在不变模型中与经典无先验贝叶斯解的一致性,以及一个建立其渐近效率的 Bernstein–von Mises 定理版本;第 5 节提出一种(近似)计算 IM 内概率近似的策略;第 6 节针对技术上具挑战性且实际相关的 Behrens–Fisher 问题,给出一种新的、有效且有效的解法;第 7 节为结论性评述;附录包含若干额外技术细节与示例。
2 背景
2.1 可能性理论
可能性测度(例如,Dubois 与 Prade 1988)是最简单的不精确概率模型之一,与模糊集理论(例如,Zadeh 1978)和 Dempster–Shafer 理论(例如,Shafer 1976, 1987)密切相关。统计学中的应用见 Dubois (2006) 和 Dubois 与 Denœux (2010);另见第 2.2 节。
概率论与可能性理论之间的数学差异可简要概括如下:优化之于可能性理论,正如积分之于概率论。也就是说,定义在空间 Z 上的可能性测度 Π 由一个函数 π: Z → [0,1] 决定,且满足 sup_{z∈Z} π(z) = 1。该函数称为“可能性轮廓”(possibilitycontour),而“上确界等于1”的性质是类似于概率密度“积分等于1”这一熟知性质的归一化条件。于是,可能性测度通过对其轮廓进行优化来确定,即对任意 A ⊆ Z,Π(A) = sup{z∈A} π(z),正如概率测度通过对其密度进行积分来确定。
这种不同的演算方式具有若干推论。对于本文的发展尤为关键的是,上述“上确界等于1”的归一化条件确保了 Π 是一个一致的上概率(例如,De Cooman 1997;De Cooman 与 Aeyels 1999),这符合 Walley (1991) 等人的精神。此外,这意味着 Π确定了一个非空的(闭且凸的)概率集合,它支配着这些概率:



2.2 可能性推理模型(Possibilistic IMs)
推理模型(IM)是一种从数据、模型等映射到关于相关未知量的不精确概率性不确定性量化的方法。该方法及视角的关键在于,IM 的不确定性量化必须是可靠的——作为数据的一个函数,其可靠性将在下文进一步说明。正是这种对可靠性的坚持,意味着 IM 的输出必须采取不精确概率的形式。早期的 IM 发展基于随机集构建,并使用信度函数术语进行描述。近期的发展则直接运用可能性理论工具和推理方法于 IM 的构建与解释中,我将这些称为“可能性推理模型”;更多细节请参见 Martin (2025b)。本文聚焦于后一类 IM。
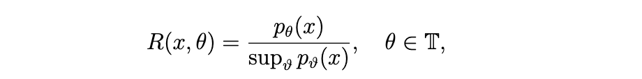
考虑一个模型 {Pθ : θ ∈ Θ},它由支持在样本空间 X 上的概率分布组成,参数空间为 Θ。假设可观测数据 X,取值于 X,是从分布 Pθ 中抽取的样本,其中 Θ ∈ Θ 是未知/不确定的“真实值”。关于 Θ 的先验信息假定为空,但参见 Martin (2022b) 了解推广情况。该模型与观测数据 X = x 共同确定了一个相对似然函数

其中 pθ 是 Pθ 的密度函数。我将始终假设,对于几乎所有 x,分母是有限的。
相对似然本身定义了一个可能性轮廓(possibility contour),即一个非负函数,满足对几乎所有 x,有 supθ R(x, θ) = 1,该函数可用于数据驱动的关于 Θ 的不确定性量化。这一方法已在文献中被广泛研究(例如,Denceux 2006, 2014;Shafer 1982;Wasserman 1990a),并具有若干理想性质。然而,它所缺乏的是一个形式化的校准性质,该性质可证明分配给关于 Θ 的假设的“可能性”具有形成信念的推断权重。
幸运的是,这种以可靠性为导向的校准很容易实现,方法是对相对似然进行“验证”(Martin 2022a,b)。也就是说,基于似然的可能性推理模型(possibilistic IM)构造过程,是通过对相对似然应用一种概率到可能性的变换版本,从而得到轮廓函数:


换言之,一个有效的 IM 会以不超过 α 的速率(作为数据 Z 的函数)将可能性 ≤ α 分配给真实假设。这赋予了 IM 其“推断权重”——式 (6) 意味着当 H 为真时,Πx(H) 不应太小,因此若 Πx(H) 很小,人们倾向于怀疑假设 H 的真实性,而这种倾向的强度由 Πx(H) 的大小决定。当然,这一点可以转化为一个具有频率学派误差率保证的形式化检验程序:根据式 (6),检验“若 Πx(H) ≤ α 则拒绝 H”在水平 α 上控制第一类错误概率。第三,上述性质确保了可能性推理模型(possibilistic IM)不会产生虚假置信度(Balch 等人,2019;Martin,2019),这与其他无先验贝叶斯解法不同。关于 IM 的更多见解见补充材料附录 A;另请参见 Martin (2025b)。
IM 的输出是一个一致的不精确概率,因此,它关联着一个(非空的)可信集 C(Πx),如式 (1) 所示。C(Πx) 的成员(我将其记为 Qx)无需对应任何先验下的贝叶斯后验分布。幸运的是,可以对 C(Πx) 的成员给出一种解释,而这正是我在第 3 节发展中所依赖的关键。
我将以三个关于 IM 范围与贡献的技术性评注结束本背景部分。首先,读者无疑会认出式 (2) 中的轮廓函数 πx(θ) 是一个 p 值函数,对应于似然比统计量。除了称为 p 值函数外,该函数在文献中还以许多其他名称出现,例如偏好函数(Spjøtvoll 1983)、显著性函数(Fraser 1991)和置信曲线(Birnbaum 1961;Blaker 和 Spjøtvoll 2000;Schweder 和 Hjort 2002, 2016;Xie 和 Singh 2013)。区分 IM 与这些文献的一个关键点在于,IM 接纳固有的不精确性并利用相关不精确概率结果。也就是说,IM 确定了一种连贯且完全条件化的、用于推断的不精确概率不确定性量化方法,并且更多内容见 (Martin 2025b)。即使沿着这些思路发展的更偏向贝叶斯的方法(例如,Cortinovis 和 Caron 2024;Grünwald 2023;Pereira 和 Stern 2022)也未能充分利用不精确概率所能提供的优势。
其次,结合上一段的宏观评估,有人可能会将 IM 与其他不精确概率解法进行比较,比如 Walley (1991) 提出的方法。一个关键观察是,当关于 Θ 的先验信息为空(如本文所假设),Walley 的广义贝叶斯后验同样为空,即未实现任何学习。由于贝叶斯推理在这种情况下并不完全令人满意,因此需要像上文回顾的新思想,才能实现既有效又可靠的推断。
最后,鉴于上述与 p 值的联系,应当明确的是,除相对似然之外的其他排序方法也可用于构造过程。我在此聚焦于相对似然的原因有两点:首先,在完整参数 Θ 是关注对象的情况下,这是一种有原则的选择(Martin 2022b,第 4 节);其次,本文的重点在于与贝叶斯推断的联系,而这种联系的建立必然直接依赖于模型的似然函数。但在某些情况下,用其他方法替代相对似然是明智的,例如当存在干扰参数时,如第 6 节所述。
3 内部概率近似
3.1 直观理解
第 2.1 节讨论了用可能性测度逼近给定概率分布的问题,其核心工具是概率到可能性的变换。本节的目标是逆转这一过程:用合适的概率分布来逼近可能性推理模型(possibilistic IM)。在给出一般性描述之前,我将通过一个简单例子提供一些直观理解,其中所有计算均可显式完成。
设 X ~ PΘ = N(Θ, 1)。给定 X = x,标准的无先验贝叶斯解法(对应平坦的 Jeffreys 先验)返回 Qx = N(x, 1) 作为 Θ 的后验分布。如果我的用概率分布逼近可能性推理模型的方案在这一简单情形下不能得出标准的无先验贝叶斯解法,则该方案显然无效。对于 IM 构造,相对似然为 R(x, θ) = exp{-(x - θ)²/2},轮廓函数为

也就是说,通过概率到可能性变换所获得的 Qx 的外部可能性近似,恰好就是可能性推理模型 Πx。这是一种“外部”近似,因为粗略而言,它是所有 ≤-支配 Qx 的可能性测度中“最不精确”的一个。那么,很自然地可以反过来表述这种关系:称 Qx 是 Πx 的“内部概率近似”,即在被 Πx ≤-支配的概率分布中,Qx 是“最分散”的一个。这些细节将在下文第 3.2 节中进一步明确。
作为预览,至少有两种等价的方法可以从可能性中提取概率:一种基于对尾部概率进行界定,另一种基于水平集匹配。这里我将聚焦于后一种方法,其形式化定义见第 3.2 节。由于 πx(θ) 最自然地被解释为给定 x 时 Θ = θ 的“似然性”,并且由于后验密度也(非正式地)以相同方式解释,因此可以合理认为 Qx 的密度 qx 与 πx 具有相同的水平集。类似于切片抽样法(例如,Neal 2003),概率 Qx 由以下两步确定:
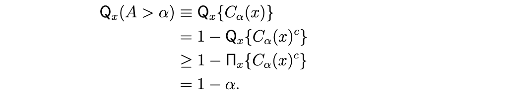
在当前情形下,水平集是置信区间 Cα(x) = {θ : πx(θ) > α},其索引 α ∈ [0,1]。于是,抽取水平集等价于从 [0,1] 上的一个分布中抽取水平本身,记为 A。如果 Qx 表示上述两阶段抽样方案下 Θ 的分布,则 Θ ∈ Cα(x) 当且仅当 A > α。那么,支配关系 Qx ≤ Πx 意味着



3.2 特征刻画
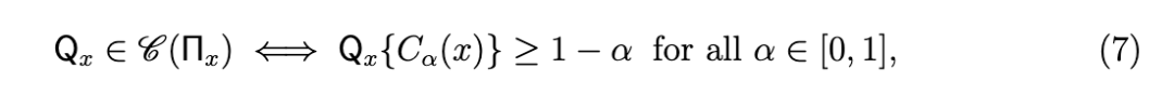
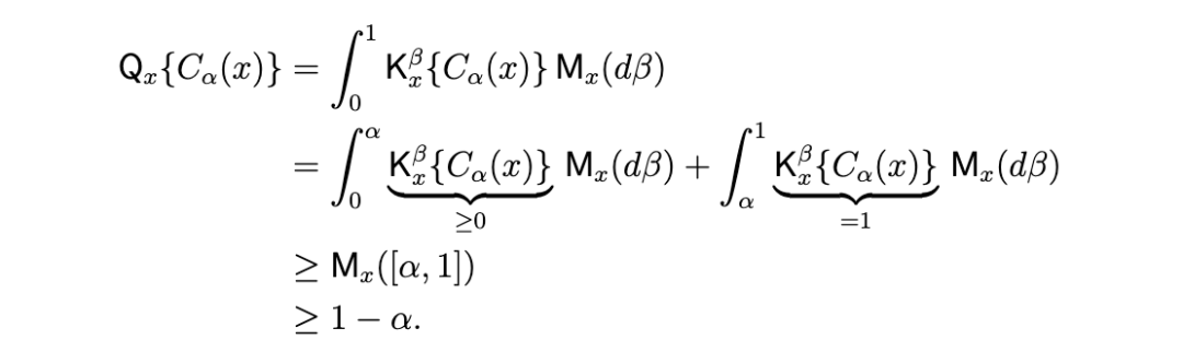
本节的目标是将上述所发展的直观认识形式化并加以推广。首先从一个关于一般可能性测度的可信集(credal set)的著名刻画出发(例如,Couso 等人,2001;Destercke 与 Dubois,2014),将其应用于当前情形,该刻画表明:










第二步的表述虽然简单,但实际操作起来较为复杂。我将在第 5 节中讨论如何至少近似地解决这一计算挑战。










也就是说,对于不变模型,标准的无先验贝叶斯解是可能性 IM 的内部概率近似。这证实了我之前在第 3.3 节伽马示例中的说法:贝叶斯后验是一个内部概率近似。这也为我这里提出的无先验贝叶斯解提供了一个通用的概念验证:至少在群是唯一的情况下,对应的贝叶斯解是合理且广泛使用的,因此我所提出的方法必然也是合理的。

作为一个示例,假设观测值对应于相对于参考方向的平面上的单位圆上的点,或者仅仅是角度。涉及此类数据的实际应用包括风向和动物运动研究;详见 Mardia 和 Jupp (2000)。更一般地,方向测量可以表示为超球面上的点。这在天文学中很常见,例如,行星或恒星的位置可以用天球上的点来描述。



接下来是著名的 Bernstein-von Mises 定理在可能性 IM 上的版本,该定理确立了其渐近正态性和效率。也就是说,当 n 很大时,可能性 IM 的轮廓近似于一个高斯可能性轮廓,其协方差矩阵符合克拉美- Rao 下界。这表明对于提出的内部概率近似,存在传统的 Bernstein - von Mises 定理,因此它与任何其他合理的无先验贝叶斯解渐近一致。此外,IM 输出的这种近高斯形式为计算内部概率近似提供了有价值的见解和简化;详见第 5 节。
首要任务是定义高斯可能性。







除了那些几乎不可能的罕见情况(即存在真实的先验分布),可靠的统计推断本质上是不精确的——那些熟悉的控制错误率的检验和置信区间程序都具有不精确的概率特征(Martin 2021a)。关键是,没有单一的概率分布能够可靠地量化统计模型中未知参数的不确定性。因此,坚持要求不确定性量化必须是概率性的存在风险:
[Xie 和 Singh (2013)] 因此建议我们忽略对置信集或等效物的限制,并释放置信度以允许生成参数分布。当然,分布更容易思考,与 Fisher 的原始提案大致一致,并且更符合贝叶斯方法的自由性,但它们确实忽视了固有的风险……(Fraser 2013)

需要强调的是,任何概率不确定性量化都无法完全避免所有风险,包括我提出的内部概率近似。因此,本节的目标仅仅是理解如何使用这些近似进行边际化,以及识别哪些边际推断是安全的。为了完全避免所有这些风险,必须以某种方式打破对熟悉概率不确定性量化的依赖:Gr"unwald (2018) 建议明确限制概率推断仅用于安全的推断,而我建议从概率放宽到可能性,以便所有推断都安全(Martin 2025b)。











直到最近,计算 IM 轮廓的策略还仅限于一些简单但效率低下的方法。通常的做法是通过以下方式近似

:




由于(16)中的包含方向,所提出的内部概率近似实现是保守的。因此,理论上内部概率近似所享有的相关属性至少应被上述实际建议近似地享有;详见第 6 节。
6 示例:Behrens–Fisher 问题 为简洁起见,此处仅给出一个关于内部概率近似的详细示例,另外两个示例见附录 G。

迄今为止,最广泛使用的 Behrens-Fisher 问题解决方案是对 Welch (1938, 1947) 提出的自由度近似的基本 Student-t 枢纽量的修正;这在 R 的 t.test 函数中得以实现。其他标准方法包括 Hsu (1938) 和 Scheffé (1970) 提出的简单但保守的解决方案,以及 Jeffreys (1940) 基于 Θ 的右 Haar 先验提出的贝叶斯解决方案,这在数学上等同于 Fisher 的信条解决方案。具有讽刺意味的是,Jeffreys 提出的解决方案与基于 Jeffreys 先验的贝叶斯解决方案在构建和性能上有所不同。
为了设定场景,先考虑对完整参数 Θ 的推断。该模型具有大量结构,因此基于相对似然的可能性 IM 构建用于 Θ 的推断在概念和计算上都很直接。由于模型的底层仿射群不变性,根据定理 3,对应于 Θ 的内部概率近似正是基于右 Haar 先验的 Θ 的贝叶斯后验分布,这也是 Fisher 的信条分布。由于从 Θ 到 Φ 的映射是线性的,根据定理 6,Jeffreys 和 Fisher 分别提出的贝叶斯和信条解决方案对应于从 IM 的内部概率近似导出的 Φ 的边际分布;此外,这些也是基于扩展原理的边际 IM 的内部概率近似。
我在此提出的新方法首先采用一种不同的——通常也更高效的——IM边缘化策略,该策略基于对剖面相对似然(profile relative likelihood)进行“验证”(validifying)。这一思想最早由 Martin(2023b)提出,其中的例5已展示了其在 Behrens–Fisher 问题中的应用。粗略而言,这种基于剖面似然的边缘 IM 构造方法与前述基于扩展(extension-based)的构造方法之间的区别在于边缘化操作的执行时机:前者首先在相对似然中消除干扰参数,然后直接为感兴趣的参数 Φ 构建 IM 轮廓函数;而后者则先为完整参数 Θ 构建 IM 轮廓函数,再对其边缘化以得到关于 Φ 的结果。Martin 与 Williams(2025)最近证实,至少在渐近意义上,基于剖面似然的边缘 IM 构造比基于扩展的构造更为高效。
我在此的提议是,从这个基于剖面似然的边缘可能性推理模型(marginal possibilistic IM)中提取出关于 Φ 的内部概率近似(inner probabilistic approximation)。这不需要对第5节所述的计算方法做任何修改,而且该边缘 IM 的精确有效性意味着,例如,基于此“后验”所构建的关于 Φ 的可信区间就是精确的置信区间。
唯一的难点在于,相对剖面似然没有闭式表达式,且其分布依赖于一个干扰参数;这正是 Behrens–Fisher 问题具有挑战性的根本原因。这使得内部概率近似的计算成本相较于其他示例更高(参见附录 G),但正如我在下文所展示的,这种额外的计算开销换来了效率上的显著提升。


Behrens–Fisher 问题最常被引用的实际数据示例,是 Lehmann (1975, 第 83 页) 中关于通过两条不同路线通勤上班所需时间的例子。相关的汇总统计量——样本量、样本均值和样本标准差——如下:n₁ = 5,θ̂₁₁ = 7.580,θ̂₁₂ = 2.237;n₂ = 11,θ̂₂₁ = 6.136,θ̂₂₂ = 0.073。两个标准差 θ̂₁₂ 和 θ̂₂₂ 之间存在巨大差异,这使得假设两组方差相等的合理性难以成立。图 8 展示了来自边缘 IM 的内部概率近似的 Φ 样本直方图,并叠加了(核密度估计的)右 Haar 先验贝叶斯解与 Jeffreys 先验贝叶斯解的密度函数;前者还与 Fisher 的置信分布一致。关键在于,这三个分布彼此相似,其中新的内部概率近似和右 Haar 先验后验分布比 Jeffreys 先验后验分布略显分散。
为进一步比较,我进行了一个小规模的模拟研究。我重点关注一个相当不平衡的情形——n₁ = 3 且 n₂ = 20——以确保性能差异清晰可见。其他模拟设置均为标准设定:Θ₁₁ = 2,Θ₂₁ = 0,Θ₁₂² = 1,Θ₂₂² = 2。在此设定下,我生成了 10,000 个样本,表 1 列出了各种 90% 置信区间关于 Φ 的覆盖概率和期望长度。值得注意的是,只有边缘可能性推理模型的内部概率近似能够近乎精确地达到目标覆盖概率,而且正如所期望的那样,它比基于右 Haar 先验的、虽有效但保守的贝叶斯/置信解更高效。
7 结论
本文提供了一种关于无先验贝叶斯推断的新视角,该视角与贝叶斯推断有一定联系,但本质上并非贝叶斯方法。我的方法始于一个推理模型(IM)框架,该框架用于数据驱动的不确定性量化,并优先考虑可靠性,坚持对其数据依赖的信念度进行校准。正是这种校准要求使得 IM 与概率性贝叶斯推断不相容,也正因如此,IM 的输出是可能性性的,即采用可能性测度的数学形式。然而,如果人们希望获得概率性的不确定性量化,则 IM 可通过其可能性输出的“内部概率近似”来满足这一需求。除了实现精确的概率匹配外,所提出的方案在存在整体共识的群等变问题中与现有的无先验贝叶斯解法一致,并且根据著名的 Bernstein–von Mises 定理的一个版本,它在渐近意义上也是高效的。此外,根本无需选择先验分布:对于给定的模型和数据,可能性推理模型本身就是确定的,因此只需从中提取一个合适的内部概率近似即可。
定理1中对 IM 可信集内容的刻画提示了一种策略,可通过蒙特卡洛方法评估(至少近似地)内部概率近似。我在 Martin (2025a) 中对此进行了深入探讨,但主要是在可能性推理模型的背景下。在此文中,我将相同的策略应用于我所提出的重新构想的无先验贝叶斯推断,并表明这为技术上具有挑战性且实际重要的 Behrens–Fisher 问题提供了一种新颖且广泛可靠的解决方案。本方法并未专门针对 Behrens–Fisher 问题量身定制,因此我完全预期它在许多其他重要应用中也能取得同样良好的表现。当然,我所提出方案的计算效率仍有改进空间,因此我欢迎精通计算的读者沿此方向做出进一步推进。
本文的重点一直放在无先验解法上,但在某些情况下,不完整或部分先验信息是可用的,包括结构假设(如稀疏性)较为常见的高维问题。贝叶斯解法无法处理不完整的先验信息——必须为未知参数 Θ 的每个方面指定一个先验分布(即使可能是模糊的)。最近已开发出真正的部分先验可能性推理模型(例如,Martin 2022b),一个有趣的想法是将本文在无先验情形下提出的内部概率近似方法,同样应用于上述文献中的部分先验情形。正如本文所述,这些内部概率近似将继承部分先验 IM 所满足的一些固有可靠性性质,但具体细节尚待研究。
原文链接:https://www.arxiv.org/pdf/2503.19748