A new census of the Universe’s entropy
宇宙熵的新普查
DOI:10.1088/1475-7516/2025/09/049
https://iopscience.iop.org/article/10.1088/1475-7516/2025/09/049/pdf


摘要:
宇宙总熵是多少?它与德西特(de Sitter)空间的最大熵相比如何?其在宇宙各组成部分之间如何分布?这些问题具有重要意义,原因诸多。本文首先更新了对可观测宇宙中各类组分熵的计算,包括:弥漫宇宙背景以及晚期伽马射线与中微子背景中的熵;重子物质中的熵——涵盖弥散成分、恒星与恒星残骸以及宇宙射线中的贡献;尤为关键的是,我们更新了对恒星级黑洞与超大质量黑洞熵的估算——得益于近期观测对黑洞丰度与质量函数日益精确的测定,以及引力波探测器所积累的黑洞–黑洞并合事件统计的快速增长。我们还给出了对若干新型熵贡献的修正估算:随机引力波背景、暗区辐射(dark sector radiations),以及多种暗物质模型所对应的潜在熵。最后,我们利用对假想原初黑洞(即非恒星起源黑洞)丰度的最新观测约束,评估其可能贡献的最大熵量。我们发现:若超大质量原初黑洞确实存在,则在当前对其丰度与质量函数的观测限制范围内,它们有可能主导宇宙的熵预算,其贡献水平甚至可能接近德西特时空宇宙视界所对应(理论预期)的熵值。类似结论也适用于某些具有大量暗自由度的暗区模型。
关键词:粒子物理–宇宙学联系;原初黑洞;暗物质理论;宇宙射线理论
1 引言
熵的概念在宇宙学中扮演着基础性角色,有助于我们理解宇宙的热力学状态及其演化轨迹。熵的增加驱动着一切不可逆过程——从生命所依赖的生物与化学反应,到超新星爆发与霍金辐射——为理解宇宙在几乎所有尺度上的行为提供了洞见,并暗示其可能的终极命运。探究各类宇宙组分(如超大质量黑洞、恒星级黑洞、宇宙微波背景、中微子、星际与星系际介质(ISM 与 IGM)以及恒星等)所关联的熵,可能为我们揭示宇宙的历史、组成及终极命运提供关键线索。此外,这些组分的熵常被与德西特(de Sitter)空间的最大熵及宇宙事件视界(Cosmic Event Horizon, CEH)的熵进行比较,从而为宇宙学模型提供至关重要的上界约束。
由于热力学第二定律,以及熵与时间箭头之间虽定义模糊却似乎真实存在的联系,熵在试图描述宇宙演化模型时同样具有核心研究价值。以往的熵研究已利用这一事实,对宇宙的终态、文明与生命是否可能无限延续、引力熵理论、以及时间箭头与熵本身之关系等议题做出预测[1–5]。进一步开展宇宙熵研究,可完善上述结论,并为已知或尚未发现的宇宙组分参数施加新的限制——这正是本文的主要目标。
然而,当熵与宇宙学相关联时,其本身是一个难以精确处理的物理量。熵最初是在热力学框架下定义的,被视为一个状态函数,与温度结合可度量以热形式耗散的能量;该定义侧重于熵的变化而非其绝对值。随后,玻尔兹曼提出了统计意义上的熵定义,给出与微观状态数(microstates)对数成正比的绝对熵;再后来,信息论又发展出将熵与概率相联系的新定义[6]。尽管上述定义源于截然不同的领域,但在特定假设与极限下可彼此等价;然而,它们仍无法普遍适用于所有宇宙组分——这些组分横跨全部尺度,温度与密度范围从渐近零到理论极限,处于平直或弯曲时空,并具有不同乃至未知的粗粒化(coarse-graining)程度。为应对这一困难,过往多数研究不得不依赖大量近似乃至一定程度的“经验性推断”(hand-waving)以得出结论。建立一个既精确又实用的普适熵定义仍是悬而未决的挑战(关于构建更精确理论的进展,参见[7]);但借助更新的数据(如黑洞观测)与更精细的理论(尤其针对暗物质与引力波等组分),我们仍可显著改进以往的熵估算。
在一点上,绝大多数先前研究达成共识:超大质量黑洞极有可能是当前宇宙中熵的最大储存库,因其拥有巨大的事件视界。贝肯斯坦–霍金(Bekenstein–Hawking)熵关系——表明黑洞熵正比于其事件视界面积——为这类估算提供了核心的数学与概念基础[8, 9]。恒星级黑洞虽尺度更小,其熵结构与之相同,但对宇宙总熵预算的贡献远小于超大质量黑洞[10, 11]。
宇宙微波背景(CMB)——来自宇宙早期的遗迹辐射——具有黑体谱特征,单位体积熵相对较低[11]。尽管其遍布整个可观测宇宙,其总熵仍显著小于黑洞的贡献[12]。中微子在宇宙极早期即已退耦,对熵亦有贡献,但同样较为微弱[13]。既往相关研究[11]并未估算那些晚于CMB和中微子背景产生、频率范围更广(从射电到X射线再到伽马射线)的光子与中微子辐射背景对宇宙熵的附加贡献。此外,本文强调:若干迄今尚未被探知的弥散背景(diffuse backgrounds),如随机引力波背景[14]、暗辐射(即超出标准模型的“暗区”中一个或多个相对论性粒子物种)[15],以及宇宙学暗物质,也可能对宇宙熵预算产生显著贡献。
据先前研究[11],星际与星系际介质很可能是重子物质对熵的最大贡献者。尽管其总量远逊于黑洞与辐射,弥散重子物质在理解宇宙熵分布方面仍具关键意义[10]。类似地,恒星通过核反应与辐射过程贡献熵,但其直接熵效应小于更庞大的结构组分[16, 17]。最后,重子亦以高能宇宙射线形式存在——据我们所知,其熵值此前从未被评估过。
尤为关键的是,宇宙事件视界的熵——在以宇宙学常数为主导的宇宙中即为德西特视界熵——可为宇宙熵含量提供一个上界[11, 18]。该熵值理应远大于各内部组分熵之和的当前估计,因而成为理解热力学极限与宇宙学模型的核心要素[19]。有研究指出,自宇宙学极早期起,事件视界熵已主导宇宙的熵预算[18]。
熵计算中一个重要的维度在于对各向同性与均匀性的假设——即宇宙学原理,它认为宇宙在大尺度上均匀分布。这些假设对简化模型与推导熵估算至关重要。然而,也有研究质疑这些前提,探讨扰动与结构形成过程中存在的各向异性与非均匀性,可能引致局域熵估算的偏差[18, 20]。放宽各向同性与均匀性假设,将导向对熵分布更复杂且更精细的理解,或与宇宙弦、空洞等特征相关联[20]。我们暂将此议题留待后续研究。
理解宇宙熵并非纯粹的学术思辨;它对宇宙学模型具有深远影响。精确测定熵可为宇宙演化提供独特视角,深化我们对塑造宇宙的不可逆过程、时间箭头的理解,并对ΛCDM等模型施加约束。评估宇宙熵预算,有助于揭示迄今仍属谜团的宇宙能量组分(如暗物质、暗能量、可能的暗区相对论性粒子、弥散引力波背景、以及宇宙加速膨胀的起源),并推动以热力学为基础的更深层宇宙学理论构建[13, 21]。
本研究旨在更新并拓展以往对宇宙熵预算的评估,全文结构如下:
关于不确定性的说明:下文所有估算中,凡给出范围者,均非严格置信区间。在多数情况下(下文将具体说明),准确评估或区分系统误差与统计误差极为困难;所列范围系通过对文献的审慎调研综合得出。少数例外(如CMB或中微子背景熵计算)可给出±形式的定量误差。部分情形下,为简洁起见,我们以10的幂次之数量级范围表示不确定性。所有估算均详列数据来源与参考文献。
全文采用国际单位制(SI),或偶用天文单位,以确保表述清晰并便于跨学科比较;仅在为简化表述时,临时采用自然单位制

2 宇宙事件视界
与德西特(dS)和准德西特(q-dS)时空相关的熵,是通过Gibbons与Hawking的奠基性工作确立的。他们证明,德西特时空具有一个正比于宇宙学视界面积的熵,并伴随一个正比于哈勃参数的温度[18]。这一熵值与黑洞热力学中广为人知的规律相类似,并被解释为在德西特因果区域内可访问的量子态数量的度量[22–25]。
就本文目的而言,我们考虑一个空间平坦、具有正宇宙学常数的弗里德曼–勒梅特–罗伯逊–沃克(FLRW)宇宙学模型。在此背景下,宇宙事件视界(CEH)被定义为:从该边界出发的光信号,在无限远的未来仍能到达某一给定观测者的区域之边界。我们到当前宇宙学视界在某一恒定时间切片上的固有距离记为 R,对应的视界面积为

,其关联的贝肯斯坦–霍金熵为

。
宇宙学视界的广义热力学第二定律(GSL)指出:宇宙事件视界的贝肯斯坦–霍金熵加上其内部的粗粒化熵之总和不会减少。该GSL已在关于空德西特时空微扰的稳健假设下得到证明[26]。尽管一个演化中的宇宙不仅仅是德西特时空的一个无穷小扰动,但视界面积背景性的增长意味着,只有极大量的粒子种类才可能使物质熵的增长足以与视界熵的增长相竞争。
在接下来的章节中,我们将计算宇宙各组分的熵贡献,并评估在对暗物质性质做出极端假设的前提下,总物质熵是否可能达到足以挑战GSL的水平。
此处,我们采用原始的Gibbons–Hawking形式

,并利用文献[27]给出的最新宇宙学参数中心值,更新与宇宙事件视界相关联的熵。采用文献[11]的方法,并对宇宙学参数的不确定性进行边缘化处理后,我们得出:

需注意的是,本文通篇假设:当前宇宙的加速膨胀由一个真实的宇宙学常数驱动,即对应于一个恒定的真空能量密度,其状态方程参数为 w=−1,且这一性质将持续至遥远的未来而不发生变化。该假设意味着,宇宙将在渐近意义上演化至一个德西特(de Sitter)阶段,从而形成一个有限的宇宙事件视界(cosmological event horizon, CEH),其半径为

并对应一个吉本斯–霍金(Gibbons–Hawking)熵。
反之,若暗能量会发生衰变,或转变为其他动力学相态,则宇宙事件视界可能不复存在,或其尺度趋于无穷大,从而改变乃至完全消除其熵贡献。因此,本文所计算的有限CEH熵值,在根本上依赖于宇宙学常数持久不变这一关键前提。
另一完全由宇宙学参数决定、且对本文分析至关重要的量,是可观测宇宙的半径及其对应体积。依据最新宇宙学参数及其不确定性[28],我们得出其值为:

3 光子与中微子弥散背景
光子与中微子宇宙背景是来自早期宇宙的关键遗迹,在理解其热历史与演化过程中扮演着至关重要的角色。作为宇宙微波背景(CMB)被观测到的光子背景,以及宇宙中微子背景(CνB),为理解早期宇宙过程(如退耦、能量转移和熵演化)提供了热力学洞见。

现在转向我们对宇宙光子与中微子背景相关熵的定量评估:宇宙微波背景(CMB)的熵密度即为温度

[28]下黑体辐射的熵密度。

其中,不确定性几乎完全源于上一节所计算的可观测宇宙体积

的不确定性。
除CMB外,河外背景光(extra-galactic background light, EBL)——即由恒星形成与恒星辐射过程(包括活动星系核的贡献)累积产生的弥散辐射——同样对宇宙中光子的熵有所贡献。 对非CMB成分的EBL进行积分(参见例如文献[38]中的估算,本文即采用该数据;不同估算仅导致结果的微小变化),我们得到:

我们由此得出结论:EBL 对宇宙总熵的贡献不足 CMB 熵的 1%。
更具体而言,我们发现 EBL 熵中占绝对主导地位的成分是红外辐射(IR),其主要源于星光被尘埃散射(或吸收-再辐射)后产生的次级辐射——上述 EBL 熵贡献几乎全部来自该部分;而光学波段(OP)以及紫外及以上频率(HE, high-energy)的贡献则分别为:

有趣的是,Bousso 及其合作者在文献[39]中提出,确定晚期物质熵产生(不包括视界熵)的最主要来源至关重要,因为高熵产生可作为观测者分析宇宙学常数 ρΛ上人择选择效应时的一个代理指标。他们的论点是:尽管可能的 ρΛ值范围广阔,但只有较小的非零值才能创造允许众多观测者存在的条件。Weinberg 在文献[40]中设定的条件是“观测者需要星系”,后被进一步强化为“观测者需要至少与银河系一样大的星系”,从而将问题框定为:利用初始条件和能量演化来确定能够孕育生命所需化学元素的大星系密度。Bousso 及其合作者发现,一种替代方法是测量退耦之后显著的熵增,其依据是自由能是观测所必需的,因此观测规模会随熵产生而缩放,这遵循热力学第二定律[39]。该技术成功再现了观测到的 ρΛ值,并确定绝大部分熵产生源于尘埃对星光再处理所产生的红外光子——这一过程对应着星系、恒星和重元素的存在(而这些正是生命所必需的)。我们的结果再次确认:物质在退耦后产生的最大熵源,来自于尘埃对星光的再处理。
现在转向宇宙中微子背景(CνB):与光子背景完全类比,CνB 所对应的熵即为温度为



在上述公式中,gν=6对应三个标准模型中微子的6个内部自由度,而系数 7/8来源于标准的费米-狄拉克修正。与CMB类似,对应于宇宙中微子温度的误差完全可忽略不计(十亿分之一)。由此得到宇宙中的相应熵为:

在足够低的红移以及足够大的晕(halo)中,宇宙中微子若其质量足够大,便可在晚期有效地(或近似地)在晕内达到维里化(virialize),从而获得更高的平均速度。这一现象已在文献[49]中通过半解析与数值模拟方法进行了详细研究,后续研究(如文献[50])也进一步探讨了该问题。
宇宙中微子背景在晚期宇宙中的平均速度可表示为红移的函数[49]:






尽管在能够产生大中微子不对称性的机制范围及其广泛的宇宙学意义方面已达成共识[54–56],但仍需进一步工作来建立精确且坚实的理论预测,以确定这些情景下熵贡献的上限。我们将此项任务留待未来研究。
4 重子物质:星系际介质(IGM)、星际介质(ISM)、宇宙射线、恒星及其他重子结构
本节讨论当前宇宙中与重子结构相关的熵,包括:
需注意的是,尽管此处我们使用“重子”一词,但实际亦包含与电子相关的熵——尤其当电子处于非简并态时(若为简并态,其熵贡献将被极大压低[4])。我们还将在第4.3节中明确计算宇宙射线电子所对应的熵。
4.1 弥散、非束缚态重子
晚期宇宙中重子的热力学状态与空间分布尚不明确,因此对其熵的估算具有相当大的不确定性。对于未被束缚于结构中的重子物质(如电离态星系际介质),若假设其具有温度 T、数密度 n、有效平均粒子质量 m以及内部自由度数目 g,则可借助 Sackur–Tetrode 公式 相对直接地估算其熵密度:






我们在下文第6.1节讨论暗物质的聚团增强效应,其中子结构存在于由暗物质候选粒子微观性质决定的截止尺度之下,且暗物质被设定或假设处于维里平衡状态(其温度因此由维里定理应用于给定的(子)结构质量所确定)。对于重子物质,正如上文所述,我们可以直接测量各种不同组分的温度,从而有效地计入聚团效应。
4.2 束缚于恒星与致密天体中的重子

我们注意到,尽管白矮星和中子星已有坚实的理论框架,但观测偏差限制了我们确认关键种群特征的能力,尤其是对于极端寒冷的残骸或年轻的、炽热的致密天体[78, 80]。未来需要更先进的巡天技术与关于冷却过程的理论研究,以完善这些外推结果。
我们对束缚态重子全局熵的计算遵循上述估算,并利用文献[16]的结果评估不同质量主序星、白矮星和中子星(后两者处于两个不同演化阶段)的熵。
需注意的是,文献[16]并未计算巨星支恒星的具体熵估算值,但可以合理推测,巨星支恒星对总恒星熵的贡献微乎其微。文献[16]所指示的演化趋势是:单颗恒星物质的比熵随时间推移而降低,且由于恒星在巨星相位停留的时间相对于主序和残骸相位而言极短,巨星支恒星种群本身也相对稀少,这进一步削弱了其在熵估算中的重要性。因此,我们省略了这一种群,不期望会对我们的结果产生显著影响。


4.3 相对论性宇宙射线
据我们所知,高能宇宙射线相关的熵从未被评估过。评估高能宇宙射线熵的核心问题在于,宇宙射线通量仅在地球处被直接测量,因此必须进行两次外推才能捕捉到整个宇宙的种群:
(1) 将局域测量外推至整个银河系;以及 (2) 将针对银河系推断出的结果外推至整个宇宙。
具体而言,将局域观测到的宇宙射线(CR)电子和质子通量外推至银河系乃至宇宙尺度,受到源分布、传播机制以及星际介质(ISM)属性等方面显著不确定性的制约。局域测量通量(例如使用AMS-02、Voyager、DAMPE探测器)受太阳调制影响,若不解决宇宙射线源位置、扩散参数和能量损失等方面的不确定性,则无法直接代表银河系尺度的宇宙射线分布。诸如文献[87–89]和[90]中使用的模型揭示,源剖面的径向和垂直变化,结合能量依赖的传播效应,会导致宇宙射线谱的空间差异。将宇宙射线源视为离散天体(如超新星遗迹)而非连续分布的随机模型,表明存在显著的局域通量变异性——当对宇宙射线通量进行尺度放大时,这一因素会传递到银河系尺度的不确定性中(参见例如[91–94])。
传播模型(包括扩散、对流和再加速机制)具有高度的简并性,正如使用贝叶斯拟合与马尔可夫链蒙特卡洛方法的研究中所指出的那样[95–97]。次级粒子与原初粒子宇宙射线比值(如B/C)提供了一些约束,但其有效性受限于核截面与太阳调制方面的不确定性。其他研究则强调了空间依赖的扩散模型,以解释银河系内宇宙射线与伽马射线数据的空间变化,例如在高源密度区域附近的谱硬化现象[87, 89, 90]。此外,电子与质子预测之间的差异依然存在,因为通过同步辐射和逆康普顿散射导致的电子快速能量损失会放大全局外推时的空间与谱不确定性[88, 90, 93]。
尽管弥散伽马射线辐射与高能中微子观测提供了对银河系尺度宇宙射线分布的间接验证[87, 88, 90, 98],但星际介质属性、气体密度及磁场结构的不确定性,阻碍了向星系际环境的稳健外推。将银河系尺度的宇宙射线通量外推至全宇宙尺度,还因受到约束不足的银河系逃逸过程、星系际磁场以及宇宙学能量损失机制的影响而变得更加复杂[87, 90, 98]。虽然概率模型与多信使方法正在改善从局域到银河系尺度的外推,但宇宙尺度的问题在很大程度上仍未解决,仍需进一步的观测与理论发展。
为了估算光谱类似于银河系观测结果的宇宙射线所占据的宇宙体积,需要考虑若干因素。这些因素包括:星系的空间分布、维持宇宙射线产生与传播所需的条件,以及宇宙射线能否在银河系磁场与结构影响之外保持相似的光谱特性。

宇宙射线最有可能由超新星遗迹等天体物理源加速产生,也可能与脉冲星有关,而这些源与恒星形成区密切相关。因此,具有活跃恒星形成或大量过去恒星爆发种群的星系(如旋涡星系和星暴星系)是预计容纳光谱类似银河系宇宙射线的主要环境[87, 98]。需要注意的是,极高能宇宙射线的稀缺性意味着我们可以安全地忽略它们在此处的贡献。
星系仅占据宇宙总体积的极小部分。宇宙学观测表明,星系沿大尺度宇宙网的纤维状结构聚集,留下了广袤的星系际空洞区域[90]。假设为恒星形成型或类似银河系的星系,则由星系环境主导的宇宙总体积仅为总宇宙学体积的一小部分。
逃离星系的宇宙射线会因与宇宙微波背景的相互作用(例如,电子的逆康普顿散射和质子在超高能下的π介子产生)而迅速损失能量。

我们采用与上述中微子计算相同的程序来计算宇宙射线相关的熵。对于宇宙射线电子,我们利用文献[99]中测量并报告的低能组分通量,以及文献[100]中针对高能组分的数据。我们发现,上述与下述的贡献大致相当,主要的不确定性在于将局域测量外推至整个宇宙时所涉及的体积问题——这一点已在上文讨论过。具体而言,我们得到如下结果:

因此我们得出结论:质子对熵的贡献约为电子的100倍,其总量甚至可能接近恒星在宇宙总熵预算中的贡献。
5 引力波与暗辐射弥散背景
文献[11]正确指出:在普朗克能标发生热退耦的原初引力子(relic gravitons),其当前温度为

因此,我们得出结论:暗辐射有可能成为宇宙总熵预算中一个非常重要的贡献者,这与文献中先前的断言不同。需要注意的是,尽管我们的估算表明,在某些假设下,暗辐射组分的熵可能与已知辐射背景相当甚至更大,但必须明确限定这种可能性的合理性。与完全推测性的奇异领域不同,暗辐射是许多动机充分的标准模型扩展方案的一个特征,例如涉及惰性中微子、类轴子粒子或隐藏的U(1)规范场的模型。这些组分通过其在大爆炸核合成和复合时期对有效相对论性自由度数

的贡献,正受到宇宙学观测的积极约束。当前的限制允许存在小但非零的

贡献,使暗辐射成为一个虽属适度推测但可观测上可检验的可能性。
6 宇宙学暗物质
宇宙学暗物质(DM)的粒子本质在很大程度上仍未知且未受约束(关于暗物质的持续更新综述,参见文献[28]第27章)。因此,我们将在此以一种相对模型无关的方式,考虑几种候选粒子及可能的宇宙学框架。





6.1 晚期晕中聚团效应的影响
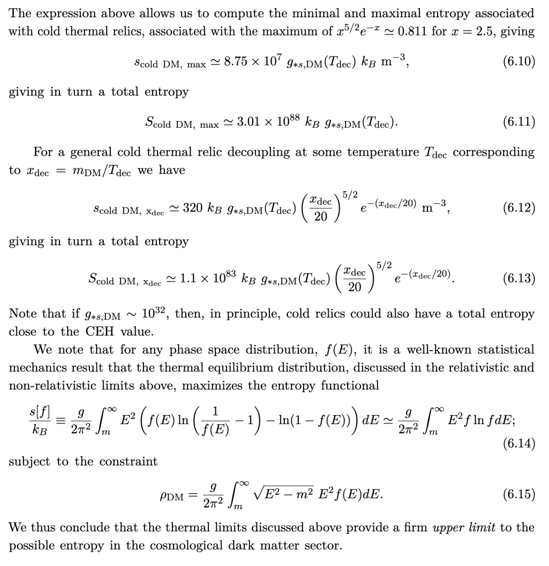
假设宇宙学意义上的、平滑分布的暗物质组分具有源于温度为

时退耦的热分布,我们在此探讨其在晚期晕中聚团所产生的效应。
基于前述晕质量函数,我们计算


我们强调,与宇宙学暗物质相关、可能达到甚至超过宇宙事件视界熵的巨大熵值,是在高度推测性且极端的假设下推导得出的——包括最大程度的聚团增强效应,以及隐藏暗区中存在高达

的相对论性自由度。这些构型应被理解为理论上的上限,而非现实可行的情景。
在这些极端假设下,若当前物质熵超过当前宇宙事件视界(CEH)熵的10%,则物质熵将超过渐近未来CEH熵与当前CEH熵之间的差值。在此类情形下,随着物质温度在遥远未来因宇宙膨胀而红移至零,而CEH熵趋近其渐近值,总熵(物质熵 + 视界熵)有可能发生减少。然而我们注意到,此类情景需要数量异常庞大的暗区粒子种类

,这将通过引力常数的重整化从根本上改变引力理论本身。我们将其详细研究留待未来工作。
就实际约束而言,若假定广义热力学第二定律(GSL)成立,且物质熵不应超过从当前至渐近未来期间CEH熵的增长量,则可推导出对暗自由度数目的约束(假设无聚团效应):

最后我们指出:冷暗物质(CDM)的聚团效率高于热暗物质(HDM);我们所采用的极大熵增强因子(

)代表适用于CDM的上限。对于HDM情形,结构积分在大尺度上被截断——该截断尺度由暗物质的自由流长度决定——因而实际上聚团增强效应仅为量级为1。
6.2 拓扑缺陷
文献综述表明,目前直接探讨宇宙学拓扑缺陷热力学熵的研究非常有限。最具代表性的贡献来自Hattori等人[113],他们分析了在下一最小超对称标准模型(NMSSM)中畴壁衰变过程中的熵产生,并将其与解决宇宙学遗迹粒子过丰问题及早期宇宙再加热机制相联系。关于宇宙弦熵的研究则主要聚焦于弦环引起的扰动及引力辐射,并探讨其对CMB各向异性与结构形成的影响[114, 115]。然而,针对宇宙弦与磁单极子的明确热力学熵框架仍十分稀缺;多数工作侧重于其动力学行为、标度律,以及通过引力波信号导出的观测效应[116–118]。
目前研究以引力波辐射为主导:多项工作考察畴壁与宇宙弦作为随机引力波背景源的可能性[116, 119, 120],并常借此间接限制缺陷的物理性质。尽管已有研究通过暴胀情景将熵与早期宇宙条件联系起来[113, 121],但对于磁单极子及混合型缺陷(例如由宇宙弦所围成的畴壁)的系统性熵研究仍严重不足,凸显出当前文献中的一个显著空白。
此外,拓扑缺陷在研究早期宇宙中热力学第二定律如何成立的问题上也至关重要。可以合理认为,早期宇宙可能曾处于最大热力学熵状态,随后演化为一种非平衡态。在此从平衡态向非平衡态的转变过程中,高熵拓扑缺陷的产生、增长与持续存在,可为此类演化提供物理解释——这类似于彭罗斯(Penrose)的猜想:引力熵可能与物质的“成团性”(clumping)相关,且必须在早期极低,随后随结构形成而增长,从而补偿热力学过程中熵的“表观损失”。
6.3 低熵初态悖论





7 恒星起源黑洞与超大质量黑洞
贝肯斯坦–霍金熵是黑洞热力学的基石,它通过公式 S=A/4(在自然单位制下)将黑洞的熵 S与其事件视界表面积 A联系起来。这种正比关系深刻地体现了引力、量子力学与热力学之间的相互作用。熵对表面积而非体积的依赖性具有深远意义,强化了全息原理——即空间体积内的自由度被编码在其边界上。



8 非恒星起源的黑洞
原初黑洞(Primordial Black Holes, PBHs)为探究贝肯斯坦–霍金熵提供了一个独特的平台。据推测,PBHs 可能形成于早期宇宙的密度涨落,或源于早期/晚期宇宙中的其他物理过程[144];它们在黑洞热力学与量子引力研究中占据了关键地位。其熵值在理解量子修正、蒸发动力学以及宇宙学效应方面仍具有重要意义[134–136, 145]。
PBHs 对检验宇宙学模型及早期宇宙物理至关重要:其形成机制可揭示密度扰动的性质与原初宇宙的物理规律;而其对宇宙熵预算的贡献,则可用于约束其丰度与寿命。此外,作为潜在的暗物质候选者,PBHs 对熵产生模型构成限制,尤其是在关联引力波信号与遗迹辐射的背景下[131, 134, 135]。例如,已有研究提出:以霍金蒸发为主的PBHs在辐射过程中会向宇宙注入熵,从而影响关于暗物质与背景辐射的宇宙学预言[135]。在圈世界(braneworld)等奇异场景中,修正的黑洞热力学进一步拓展了PBHs 作为量子引力现象探针的作用[134]。
贝肯斯坦–霍金熵的量子修正——尽管本研究暂未纳入,但值得在此指出——对可能极小尺度的PBHs尤为显著,此时经典公式的偏差变得不可忽略。研究表明,存在对数阶修正项,以及源于广义不确定性原理(Generalized Uncertainty Principle, GUP)等理论的贡献,这些修正会在接近普朗克尺度时改变熵公式[134, 137, 146]。此类修正对理解黑洞残余(可能是蒸发过程的稳定终点)以及探索与黑洞视界相关的时空微观结构均具深远意义[134, 137]。
8.1 对原初黑洞丰度的约束
诸多因素对原初黑洞(PBHs)的丰度构成约束(详细讨论参见文献[144, 147])。需注意,这些约束对应的是单色质量函数(即所有PBH具有相同、单一的质量)。不同的质量函数会产生略微不同(且更弱)的约束[148]。
在最大质量端,相关约束包括“难以置信极限”(下限)和CMB极限(上限)(关于PBH约束的详细讨论,参见文献[144])。CMB约束源于宇宙微波背景辐射的偶极特性——即使存在一个超大质量PBH,也会破坏这一特性。而“难以置信极限”出现在我们图表的右下角,它限制了在给定环境中(本例中为可观测宇宙,但该体积也可对应于一个晕或星系团,意味着每晕/每团仅存在一个PBH)可能存在的SMPBH数量。超过某一特定质量后,在整个宇宙中不可能存在多个该质量的PBH,因为这与宇宙物质总丰度相矛盾,使得如此巨大黑洞的存在概率变得极其偶然和稀有,故被称为“难以置信”[149]。
在较小质量端,约束来源于潮汐瓦解与动力学摩擦——即通过引力相互作用损失动能的过程。这些效应约束了较高质量的PBH,因为任何位于银河系晕中的天体最终都会将动能传递给更轻的物体,从而扰动诸如球状星团、宽双星系统及星系盘等稳定结构[150–152]。
在大质量端,另一个重要约束源于PBH吸积过程中加速宇宙射线所导致的CMB温度畸变。这种对CMB黑体谱的影响受到观测数据的严格限制。
在小质量端,主要约束来自微引力透镜效应;而在最小可能质量处(此时早期宇宙形成的黑洞尚未完全蒸发),则源于霍金辐射产生的弥散伽马射线与正负电子对。
具体而言,从图中左下角开始顺时针方向,阴影区域——其颜色约定与文献[144]图10一致——分别对应:CMB谱畸变、X射线双星系统扰动、Eridanus II的动力学约束、莱曼α森林约束、动力学摩擦、大尺度宇宙结构、致密射电源、CMB偶极子以及“难以置信极限”。
8.2 对原初黑洞丰度的约束
超大质量原初黑洞(SMPBHs)会通过两种主要机制在CMB上留下温度各向异性印记:

8.3 原初黑洞的最大熵
对原初黑洞(PBHs)丰度的约束依赖于所假设的质量函数:“更宽”的质量函数会涉及PBH丰度受到更强或更弱限制的区域。总体而言,文献[148]已证明,来自(单色质量函数的)线性组合的约束是可能达到的最强限制。
为便于参考和明确起见,我们在此考虑文献[149]中详细探讨的四类质量函数所对应的约束。需注意,我们忽略了来自“飞秒透镜”(femto-lensing)的错误约束(参见例如文献[153])。除单色(monochromatic)情形外,这四类质量函数还包括一种对数正态分布(lognormal distribution,)

我们在图1的右侧面板中,根据文献[149]图10所示的约束(我们也在图1的左侧面板中重现了这些约束),计算了作为质量函数的最大熵值。我们得到以下最大熵值:



8.4 超大质量原初黑洞约束的外推
图 2 和图 3 中以黄色显示的、位于普朗克吸积约束右侧的约束,源自由大质量原初黑洞吸积加速引起的宇宙微波背景辐射 (CMB) 扰动,由于原初黑洞在早期宇宙等离子体中运动的影响,这些约束是极其推测性的。在先前的研究中(参考文献 [144] 总结),由于邦迪公式在更高质量范围内失效(吸积时间尺度超过宇宙膨胀时间尺度),这些限制被截断在 10⁴ M☉。因此,我们只是通过外推 M ~ 10³⁸ 克以上或多或少保守的限制,来假设更高的质量约束,而将超大质量原初黑洞最大丰度限制的详细计算留待未来工作。

具体而言,我们在图 2 和图 3 中假设了约束的形式为一个准高斯函数,其一般形式为 f(M) ∝ exp((M/α)^β),从普朗克吸积约束在 M ~ 10³⁸ 克处的右下边缘开始。此处,α 决定曲线的宽度,β 决定凹凸性。通过改变 α 和 β,我们可以生成各种曲线。
如图 2 和图 3 所示,我们设 α = 20 并按图例所述变化 β。同样,在图 3 中,β = 1.5,α 如图所示变化。

我们还考虑了出现在图 2 和图 3 中的另外三个约束。第一个是从普朗克约束右下边缘延伸出的一个常数值。最后两个假设形式为 f(M) ∝ exp(-√λ log(M)),其中 λ = 0.65 时曲线向下弯曲并在 f(M) ≈ 10⁻¹⁰ 处与不可信极限相交;λ = 50 时曲线弯曲得更低,并在 M ≈ 2 × 10⁴⁰ 克处与不可信极限相交。随着约束变得更加严格,例如“常数”扩展,不仅每个给定质量下的熵更低,而且超大质量原初黑洞也因不可信极限而无法达到更高的质量,从而双重限制了可能的最大熵。在“常数”约束的情况下,它在与不可信极限相交前能达到的最高质量约为 M = 6 × 10⁴⁷ 克。这反映在图 2 和图 3 右侧的图中,紫色线在相同的 6 × 10⁴⁷ 克质量处突然终止。通常情况下(λ = 50 的情况除外),最大熵对应于质量分布峰值允许的最大值。
对于恒定约束,该最大熵对应于 S ~ 10¹⁰⁴ k_B。
图 2 和图 3 的右侧面板展示了左侧面板所假设约束下的最大熵,与宇宙事件视界熵(在面板顶部由黑线表示)进行比较。当线条到达相应的最大质量时(通常在不可信极限区域),它们会终止。我们假设用于熵计算的质量函数为对数正态分布(见上文),且 σ = 0.1。该图表明,如果没有任何约束,直到 CMB 极限(左侧面板右上角),质量高达 M_max ~ 6 × 10⁵⁴ 克的超大质量原初黑洞可以包含高达 S_max ~ 10¹¹⁸ k_B 的熵。我们将在下一节详细讨论此上限,计入不同质量函数的影响。
8.5 超大质量原初黑洞的最大熵
为了直观理解超大质量原初黑洞 (SMPBH) 熵与宇宙事件视界熵的接近程度,我们在此提供一个简化估算。
假设存在 N 个质量为 M 的 SMPBH,它们贡献了当前总质量密度的一个分数 f = NM/M_H₀:

在宇宙中,此后为简化起见,我们采用普朗克单位制 (G = ħ = c = k_B = 1)。请注意,由于 ρ₀ = 3H₀²/(8π),我们有 M_H₀ = H₀⁻¹/2。对于可比的暗物质和暗能量密度,与 SMPBH 相关的熵 S_SMPBH = N·4πM² = 4πfM_H₀M,将是与 CEH 相关熵的一个量级为:

的分数。图 2 的左侧面板表明,对于最大可能的 SMPBH,在“不可信极限”和 CMB 极限的交点处,M/M_H₀ ≲ 10⁻² 且 f ≲ 10⁻²,从而预测该比值 S_SMPBH/S_CEH ≲ 10⁻⁴。我们的详细分析非常接近这个数量级的估计。¹ 请注意,S_SMPBH/S_CEH ~ 10⁻⁴ 对应于 M/M_H₀ ≲ 10⁻² 且 f ≲ 10⁻²,意味着 N ~ 1 个 SMPBH。
一般来说,对于构成暗物质分数 f、质量为 M 的单色黑洞,我们发现对应的熵为

反过来,这意味着,例如,当选择一个“恒定”的 CMB 约束时,在不可信极限处对应的最大质量为 M = 6 × 10⁴⁷ 克,且 f ≈ 3 × 10⁻⁹,其熵约为 ~10¹⁰⁴ k_B;在没有 CMB 约束的情况下(图 2-3 左侧面板灰色区域的最右上角),SMPBH 的质量可达 6 × 10⁵⁴ 克,且 f ≈ 3 × 10⁻²,其所容纳的熵可高达 S ~ 10¹¹⁸ k_B。后一个数值与上文对 N ~ 1 个 SMPBH 的估算以及前一节中的数值结果一致。
图 4 显示了在给定质量下,与当前 PBH 丰度约束相容的最大熵,适用于各种对数正态质量函数宽度 σ(见方程 (8.4))。右侧面板放大了非常大的质量区域。虽然图 4 假设在 CMB 扰动极限之后不存在任何约束,但图 5 假设在 CMB 扰动极限之后约束是恒定的(即之前图中的紫色线)。

这些图表显示了改变对数正态质量分布的宽度 σ 如何显著影响存储在 PBH 中的最终熵:更宽的分布不仅受到峰值 M_c 附近位置的约束影响,还受到距离峰值约 σ 范围内约束的影响。这导致更宽分布的熵反映了约束的整体形状,而不仅仅是 M = M_c 附近的约束。这种效应在图 4 中质量范围为 10³⁴ – 10³⁹ 克、受强普朗克约束限制的区域内清晰可见。当分布宽度为 δ 函数状的 σ = 0.01 时,约束的形状直接反映在最终熵的图形中(由蓝线表示)。然而,当将质量分布拓宽至 σ = 2.51 时,普朗克约束仅对最终熵造成轻微扰动(由黄线表示)。普朗克约束的陡峭性质导致更大的 σ 值面临更小的限制效应,从而允许更高的熵值。随着质量谱的峰值进入超大质量范围,更宽的分布开始产生相反的效果并限制最终熵。随着 M_c 趋近于最大可能质量,分布只能从等于或低于最高质量的质量中获取。该最大质量取决于在超大质量区域所假设的约束(如图 2 和图 3 所示),但效果是相同的。因此,当 M_c 处于最高质量时,分布主要由小于 M_c 的质量组成。拓宽分布只会将谱进一步延伸到更低的质量。包含这些较低质量会导致最终熵降低。因此,较窄宽度的谱最终会在它们返回的熵量上超过较宽的谱,其中 σ = 0.01 在最高质量时给出最大的熵。
8.6 普朗克尺度遗迹
普朗克质量黑洞遗迹被理论化为在原始黑洞(PBHs)通过霍金辐射蒸发后形成稳定的遗迹,其蒸发由于量子引力效应(如广义不确定性原理(GUP)、环量子引力(LQG)或弦理论)而停止。这些遗迹的质量大约为

克,被认为是由于其稳定性、冷性和碰撞性质而成为可行的暗物质候选者,并有可能适应Lambda-CDM宇宙学框架[154-158]。它们被假设为占观测到的冷暗物质密度的显著或全部部分[155, 157, 159, 160]。它们的形成、宇宙学作用和观测约束目前是研究的关键领域[155-159]。
普朗克质量遗迹的形成在很大程度上依赖于早期宇宙过程,如膨胀、反弹或相变,这些过程产生随后蒸发的PBHs,留下稳定的遗迹。包括混合、温暖或希格斯膨胀在内的膨胀模型已被广泛研究,作为产生所需PBHs种群的机制[154, 159-161]。遗迹丰度的理论预测依赖于PBHs质量谱、蒸发动力学和早期宇宙条件,当前模型表明遗迹与观测到的暗物质密度兼容[154, 157, 159, 160]。这些遗迹在对现今宇宙做出贡献之前经历了蒸发时代,被认为对成核或大尺度结构没有破坏性影响[157-159, 162]。
对普朗克质量遗迹的观测约束主要涉及间接探测,如早期PBH蒸发前注入宇宙微波背景辐射(CMB)的能量限制[157-159]、伽马射线背景[157-159]和大爆炸核合成期间的熵约束[158, 159, 162]。引力波观测,特别是与PBH形成和蒸发相关的随机背景,正在成为探测遗迹生产时代的潜在途径[163, 164]。直接探测方法,如对带电遗迹的搜索,也在探索中,但挑战仍然存在,因为中性质遗迹的性质难以捉摸且主要通过引力相互作用[165]。
普朗克质量遗迹的稳定性由量子引力的理论模型支撑,尽管这些模型仍然具有推测性且难以直接测试[156, 157, 166]。开放问题包括遗迹形成效率的不确定性、PBH初始质量函数的未知以及缺乏遗迹的直接观测证据[157-159]。未来的研究旨在通过膨胀模型细化遗迹丰度的预测,探索支撑遗迹稳定性的量子引力机制,并通过引力波观测站(例如,爱因斯坦望远镜)或可能的遗迹探测实验测试观测预测[158, 163-165]。
我们自然假设与质量为

缩放,就像任何其他黑洞一样。由于单个普朗克质量黑洞的熵在自然单位中为1,整个暗物质黑洞的熵密度与暗物质的质量

成正比。

因此我们得出结论:如果暗物质由普朗克尺度的遗迹构成,则其关联的熵极其微小,其量级与中子星等恒星残骸所容纳的熵相当。需注意的是,若这些遗迹带电,则其熵将更小,因为对于给定质量,带电黑洞的事件视界面积小于不带电黑洞的事件视界面积。
统计热力学熵与贝肯斯坦–霍金熵之间的相互作用,已成为理解宇宙演化及其宇宙学现象的统合性框架。
这两个概念通过广义热力学第二定律(GSL)得以汇聚:该定律断言,宇宙的总熵——包括物质与辐射的热力学熵以及各类视界熵——在任何物理过程中均不可能减少 [18, 167, 168]。
该领域的一项重大突破是认识到:宇宙学视界(如具有宇宙学常数的膨胀宇宙中的德西特视界)也展现出类似于黑洞事件视界的热力学性质。具体而言,宇宙学事件视界的熵正比于其表面积,其关系类比于黑洞的贝肯斯坦–霍金熵 [18]。这种热力学行为从局域系统(如黑洞)扩展至整个宇宙,表明宇宙学视界编码了关于时空不可达区域的信息,从而凸显了引力系统的全息本质 [18, 167]。
观测与理论均明确表明:黑洞是可观测宇宙中熵的主导贡献者,其贡献远超宇宙微波背景(CMB)或恒星过程等其他来源。例如,人们预期(且本文已证实):超大质量黑洞——包括可能源于原初或奇异机制者——的熵比其他所有贡献者高出数个数量级,展现出:在晚期宇宙的宇宙学尺度上,贝肯斯坦熵远超热力学熵[11]。
热力学熵与贝肯斯坦熵的关系,还通过它们在宇宙熵演化中扮演的各自角色而进一步巩固:
从暴胀到热大爆炸阶段的转变——即再加热(reheating)——代表了宇宙历史上熵产生最剧烈的时期之一:

),产生熵;
定量化地,再加热过程中熵密度约增加

倍,其中 N ≈ 50–60 为暴胀期间的 e-fold 数。
再加热期间的巨大熵产生,为标准热大爆炸阶段奠定了初始条件:此时总熵主要由相对论性粒子携带。因此,再加热所生成的巨大熵,奠定了宇宙后续所有热力学演化的高熵背景,为日后通过引力坍缩涌现出复杂结构提供了基础。
尽管在联结这两类熵概念方面已取得显著进展,仍存在重要挑战与未解问题:
这些挑战共同凸显了进一步研究的必要性:亟需精细化现有框架,并将其拓展至量子领域及演化时空几何中,尤其是在贯通贝肯斯坦熵、热力学熵与量子引力原理的语境下。
热力学、熵界与视界力学的持续融合,为解答宇宙结构与演化中的根本问题提供了强大路径。随着广义热力学第二定律、全息原理与量子引力等理论框架的不断精进,热力学熵与贝肯斯坦熵的互补性,为我们理解宇宙动力学、时间之箭以及宇宙终极命运,提供了坚实而深刻的透镜 [11, 18, 167, 169]。
综上所述,在本研究中,我们对当前宇宙中热力学熵与视界熵的分布进行了全面且最新的评估。我们所呈现的关键新成果列表包括:
我们在图 6 的图表中展示了我们在此调查的各种熵组分,以提供本研究主要定量发现的最终可视化总结。为补充图 6 的图形展示,我们在表 3 中提供了本研究所考虑所有组分的熵估计数值摘要,包括可用的相关不确定性。第四列和第五列并排比较了我们的更新数值与先前研究(主要是参考文献 [11])报告的数值——突显了更新的宇宙学参数、新的天文数据和方法改进的影响。


除本研究之外的未来方向包括对非标准宇宙学的进一步探索,包括纳入与暗能量相关的熵、努力将理论预言与精炼的观测数据相结合,以及深化对各向异性偏差与宇宙热力学之间联系的理解 [21, 173]。这些研究方向将丰富宇宙演化中熵的上下文织锦,为宇宙的终极命运和基本原理提供更丰富的视角。
总之,计算并理解宇宙各组分的熵(尤其是其与宇宙事件视界的关系)仍是宇宙学中的一个关键前沿领域。通过理论模型、对假设前提的审慎考量以及细致的观测对比,这一领域有望揭示支配宇宙演化的复杂动力学机制。
原文链接:https://iopscience.iop.org/article/10.1088/1475-7516/2025/09/049/pdf