A Bayesian Time-Varying Psychophysiological Interaction Mode
贝叶斯时变心理生理交互模式
https://www.tandfonline.com/doi/epdf/10.1080/26941899.2025.2519436?needAccess=true


摘要
功能连接性——即研究不同脑区之间的协调关系——是神经科学的一个关键焦点。心理生理交互(PPI)模型常被用于推断任务依赖的功能连接性,但其易受混杂效应影响。我们提出使用偏相关系数而非PPI回归系数,因为前者能校正混杂因素。我们展示了如何利用PPI模型来估计高斯图模型(GGM)的精度矩阵,而偏相关系数可从该矩阵中直接导出。随后,我们提出了一个贝叶斯扩展版本的PPI模型,允许这种功能连接性度量随时间变化。我们通过尺度混合收缩先验在GGM精度矩阵中施加稀疏性,以缓解过拟合问题。此外,我们采用贝叶斯多重比较决策理论框架识别精度矩阵中的结构零点。我们通过模拟数据证明了本模型相对于标准PPI模型的有效性,并进一步将其应用于来自序列反应时实验的人类fMRI数据。我们的框架为功能连接性分析提供了一种更稳健且动态的方法。
关键词 心理生理交互;时变参数;动态协方差;功能连接性
对大脑区域之间活动协调性的研究,即所谓功能连接性(functional connectivity, FC),增进了我们对大脑机制的理解,包括大脑如何对外部刺激作出反应。这些进展也促进了疾病严重程度的诊断与分类的改进(参见,例如 Lynall 等,2010;Anderson 和 Cohen,2013)。Friston(2011)将功能连接性定义为对大脑区域之间(无向的)统计依赖关系的研究。
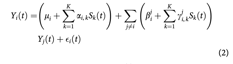
心理生理交互(psychophysiological interaction, PPI)模型最初由 Friston 等人(1997)提出,作为一种正式探究/量化这些统计依赖关系的方法。该模型通常应用于基于任务的功能磁共振成像(task-based fMRI)研究中,受试者在反复接受 MRI 扫描的同时,接受以任务形式呈现的实验刺激。其目标是识别该刺激对大脑区域之间协调活动的影响,这种协调活动由 MRI 扫描记录的血氧水平依赖(blood-oxygen level dependent, BOLD)信号来衡量。PPI 模型基于一个合理假设:如果一个脑区的活动能够预测另一个脑区的活动,则这两个脑区表现出协调活动。这一假设被形式化为一个线性回归模型,其中一个脑区的 BOLD 响应作为因变量,其他感兴趣的脑区(regions of interest, ROIs)作为预测变量。实验刺激的调节效应通过在模型中引入交互项来捕捉。Friston 等人(1997)最初提出的模型仅考虑单一刺激,后来由 McLaren 等人(2012)推广至可容纳多个刺激的情形。这种广义 PPI 模型(generalized PPI, gPPI)已变得如此普遍,以至于当人们提到 PPI 模型时,通常指的就是其广义形式。
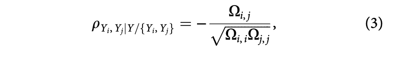
尽管本文的主要贡献是对 PPI 模型进行时变扩展,但我们首先关注标准 PPI 模型中回归系数的一个引人注目的解释。我们指出,当用 PPI 模型将一个脑区的活动建模为其他脑区活动的函数时,这与对整体脑活动建模的高斯图模型(Gaussian Graphical Model, GGM)是一致的。偏相关(partial correlation)——即在控制所有其他变量条件下,一对变量之间独有的相关性——是高斯图模型中自然导出的量。
人们普遍认为 PPI 模型易受其他脑区中介效应的影响(参见,例如 Gitelman 等,2003)。这意味着其回归系数只能用于判断协调活动是否存在,而无法反映其强度大小。相比之下,使用脑区之间的偏相关作为功能连接性的度量,可以克服中介效应带来的潜在局限,并使功能连接性的强度具有直接可解释性。我们注意到,在一个饱和的 PPI 模型(即包含所有脑区的模型)中,回归系数的值与相应的偏相关成比例。此外,计算每对脑区之间的偏相关在计算上是直接且简便的。
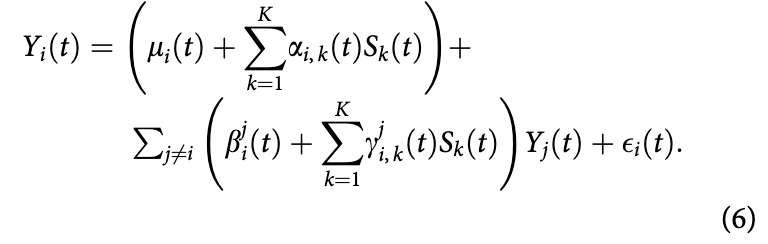
神经影像学的最新进展表明,在无刺激条件下,脑区间的协调性可能更宜被刻画为随时间变化的(Calhoun 等,2014;Chen 和 Leng,2016;Iraji 等,2019)。然而,McLaren 等人(2012)提出的广义 PPI 模型并不支持这种灵活性,这可能会掩盖实验刺激的调节效应。本文的主要贡献在于对 PPI 模型进一步推广,使其能够容纳潜在的时变连接性。我们采用贝叶斯框架,将偏相关建模为动态过程。通过对这些过程的均值和方差施加连续尺度混合收缩先验(continuous scale-mixture shrinkage priors),我们既能避免过拟合,又能在缺乏相反证据时促使这些过程“收缩”至时不变的值。
我们的第二个贡献是提出了一种新的方法,用于识别具有显著性的脑区间偏相关。该方法基于 Chandra 和 Bhattacharya(2019)提出的非边际决策理论多重比较框架。这一多重检验程序旨在控制假阳性决策率(即错误地得出两个脑区活动存在协调性的结论),同时仍能有效检测真实的非零偏相关。
本文结构如下:第 2.1 节定义 PPI 模型,并解释其与高斯图模型的联系;第 2.2 节介绍我们提出的贝叶斯时变 PPI 模型,并描述施加于模型系数的收缩先验;第 2.3 节说明如何从模型中获得偏相关的后验推断,并详述用于检验这些偏相关显著性的多重比较程序;我们在模拟研究(第 3.2 节)和序列反应时实验的 fMRI 数据应用(第 3.4 节)中展示了模型的性能;最后,第 4 节对所提出方法进行讨论,并展望未来的研究方向。
2.1 PPI 模型
在本节中,我们回顾 Friston(2011)提出的流行 PPI 模型及其由 McLaren 等人(2012)提出的推广形式。我们还回顾高斯图模型,该模型可作为描述脑连接性的实用模型。我们表明,PPI 模型估计的是高斯图模型的均值和逆协方差,且 PPI 模型拟合得到的系数可用于推导脑区之间的偏相关。
Friston 最初提出的 PPI 模型旨在量化功能上不同的脑区之间活动的协调性,尤其在应对实验刺激时。其有效性建立在一个合理的假设之上:若一个区域的活动能够预测另一个区域的活动,则这两个区域在功能上是相连的。在本节中,我们将重述该模型的形式,并进行一些细微调整及说明,以构建下一节所提出扩展的基础框架。

当使用 PPI 模型进行功能连接性分析时,预测变量区域和响应区域通常需提前选定,往往基于现有文献或可检验的研究假设。预测区域被称为“种子区域”,响应区域称为“目标区域”。基于种子的功能连接性分析考察每个种子区域的 fMRI 信号与目标区域之间的关联。这种方法本质上是双变量的,因为每对种子-目标区域的关联是独立计算的。然而,结果高度依赖于种子和目标区域的选择;若选择不同的种子区域,结果可能不同。因此,种子区域的选择会影响任何发现的可重复性和可推广性(Lv 等,2018)。一种可能的解决方案是在模型中包含所有脑区,其中一个作为目标区域,其余作为种子区域。传统上用于检测多个回归变量间显著关联的方法,如 p 值——这些方法在 PPI 分析中常用——已知容易检测出虚假的非零效应。在第 2.3.1 节中,我们提出一种对此类误差更具鲁棒性的方法。首先,我们探讨将所有区域纳入 PPI 模型的影响。










Meinshausen 和 Bühlmann(2006)将精度矩阵的逐行估计称为“邻域选择”,因为图中的每个节点对应于精度矩阵的一行,该行中的非零元素对应于该节点的邻居。他们提出使用惩罚回归 Lasso(Tibshirani, 1996)来估计时不变精度矩阵的各行。近期尝试估计随时间变化的协方差或精度矩阵的研究则采用了核平滑方法(Chen 和 Leng, 2016)或惩罚样条(Xue 等, 2020)。我们所提出的方法允许灵活地建模一个既随时间变化、又对外部刺激做出响应的精度矩阵。
2.2 一个贝叶斯时变 PPI 模型






2.2.1 收缩先验
时变系数用于刻画种子区域 j与目标区域 i之间变化的连接性。在任意给定时间点 t,我们合理地预期只有一部分种子区域与目标区域相关,也就是说,我们预期这些关联之间存在一定程度的稀疏性。我们对 PPI 模型采用的贝叶斯处理方法,通过在模型系数上施加适当的诱导稀疏性的先验分布,为我们提供了必要的灵活性,以指定这些系数的行为。
近年来,已有若干贝叶斯方法被提出,用于在稀疏时变状态空间模型中进行动态变量选择(例如 Kowal 等,2019;Rockova 和 McAlinn,2020)。在此,我们采用双伽马先验(double gamma prior),该先验最近由 Bitto 和 Frühwirth-Schnatter(2019)以及 Cadonna 等(2020)提出。这一先验将广受欢迎的马蹄形先验(Horseshoe prior,Carvalho 等,2010)推广到了时变建模框架中。
根据我们的经验,这种先验选择在计算上是高效的,通过限制时变系数的方差有助于避免过拟合,并且足够灵活,能够适应不同程度的稀疏性。本节将详细介绍双伽马先验的具体形式。



2.3 模型系数的后验推理

2.3.1 图选择






其中 D表示所有可能决策配置的空间,而指示函数 I(D∣Y)仅在最终决策处取值为 1。




在转入本文的应用部分之前,我们简要总结一下方法论框架。我们关注获取脑区之间可能具有时变特性的偏相关,因为这些偏相关具有直接可解释性,能够控制与实验刺激无关的关联漂移,并避免中介效应带来的问题。在第 2.1 节中,我们讨论了如何从高斯图模型(Gaussian Graphical Model)的精度矩阵中推导脑区间的偏相关,并指出该精度矩阵的估计值可从广义 PPI 模型(gPPI)中获得。在此基础上,第 2.2 节引入了 BTV-PPI 模型,该模型在估计精度矩阵的同时纳入了所需的时变动态特性,这与 gPPI 模型的时不变性质形成对比。此外,在第 2.3.1 节中,我们采用了一种用于检验相依假设的多重比较方法,以识别精度矩阵中的结构零点。最后,我们通过强制对称性,得到了随时间变化的精度矩阵的最终估计。这使我们能够推导出随时间变化、并对刺激作出响应的脑区间时变偏相关。
3.1 模拟设置
在本节中,我们将使用我们提出的 BTV-PPI 模型所得到的偏相关估计值,与 McLaren 等人(2012)提出的标准 gPPI 模型所得结果进行比较。我们表明,我们的模型能够准确检测多种不同的偏相关结构,包括标准 gPPI 模型只能粗略近似的动态结构。
我们模拟了 P=15个不同脑区的 fMRI 数据。我们通过一个具有特定随时间变化的精度矩阵 Ω(t)的高斯图模型来实现这一点。我们选择精度矩阵的非对角元素,以强制模拟数据中具备某些区域间偏相关的特性。我们已确定了 5 种希望在模拟数据中呈现的不同偏相关结构,以证明我们提出的模型有能力全部恢复这些结构:

3.2 模拟结果
我们在图2中展示了来自一次模拟数据(该数据模拟了区块设计实验中的二元刺激)的估计偏相关可视化结果。我们关注上述提到的五种情景。在前三种情景中,标准 gPPI 和我们的 BTV-PPI 模型表现出可比的性能,因为这些情景均不存在与刺激无关的时变偏相关。这一结果符合我们的预期:BTV-PPI 模型在需要时可通过允许系数随时间变化来推广 gPPI,因此在这些不需要灵活性的情景中,BTV-PPI 系数的方差会退化为零,从而使其变为时不变模型。然而,在最后两种情景中——即生理连接被允许变化的情形——BTV-PPI 模型优于 gPPI 模型。在这些情况下,gPPI 只能对底层偏相关提供粗略近似。

当刺激强度本身也随时间变化时,BTV-PPI 模型在捕捉生理连接随时间变化情景下的偏相关的能力更为显著。如上所述,一个具有变化刺激强度的单次模拟所得到的估计偏相关可视化结果见图3。最后一个情景(同时包含 PPI 效应和变化的生理连接)表明,gPPI 对偏相关的估计可能多么不充分。

我们重复这些模拟60次,每次使用相同的 Ω(t),对应于二元刺激或可变刺激,并计算均方误差(MSE),其定义为每个偏相关估计值与真实值在每个时间点上的平均平方差,针对5种情景分别计算。二元刺激的结果总结于表1,可变刺激的结果总结于表2。

3.3 由前瞻预测调节的功能连接性

3.3.1 学习规则与前瞻活动的估计




图4展示了在实验期间实际呈现的图片序列下,根据两种假设学习率计算出的前瞻熵示例。两条曲线在 t=1时起始于相同的值,这反映了受试者在实验开始时对四张图片赋予相等权重的预期。代表快速学习率的虚线所对应的前瞻熵迅速下降至较低值,而代表慢速学习率的前向熵则表现出更小的连续跳跃。这说明快速学习率能产生更自信(因而熵更低)的预测,因为其给予最近经验更高的权重,从而使得对下一张图片的预测不确定性更小。相比之下,慢速学习率下的预测确定性较低,反映了来自更长时间窗口内相互冲突的经验。原始研究发现证据表明,不同脑区在不同假设学习率下对反应时间(RTs)具有预测作用:特别是海马体区域在慢速学习率下可预测 RTs,而纹状体在快速学习率下可预测 RTs。这些结果促使我们探究功能连接性是否会随两种学习率下的熵值变化而改变。我们还利用该研究的数据来展示我们提出的 BTV-PPI 模型能够揭示的其他有趣的功能连接模式。

3.3.2 时变心理生理交互与前瞻活动
在本节中,我们将我们的模型拟合到前一节描述的数据中,并探索我们发现的一些不同的功能连接模式。与模拟数据设置类似,我们提出的 BTV-PPI 模型使我们能够识别传统 PPI 模型无法识别的多种脑区间关系类型。该模型可识别的关系类型包括:功能连接强度恒定或变化、且独立于实验条件的脑区对,以及其功能连接随实验条件变化的脑区对。

每个刺激协变量均通过有限脉冲响应法(详见第 2.1 节)与规范血流动力学响应函数(HRF)进行卷积,以生成心理生理回归量。PPI 回归量由每个刺激与每个区域 BOLD 响应的卷积乘积构成。
我们将模型拟合到上述描述的数据中。由于我们模型中的偏相关具有加性特性,因此可以在执行第 2.3.1 节所述的非零成分选择之前,分离出生理(背景)连接性和 PPI 效应的贡献。我们展示了一个受试者的部分相关模式示例,以说明 BTV-PPI 模型能够捕捉的关系类型。
3.4 应用结果
我们观察到,在所有受试者中,大多数脑结构对应的左右两侧表现出高度的功能连接性。对于某些脑区,这种连接性强度随实验条件变化而独立变化。例如,前扣带皮层(Anterior Cingulate Cortex)的左右两侧就表现出这种模式(图5)。相比之下,海马体(Hippocampus)的左右两侧并未表现出这种波动模式;对于该受试者,这两个区域间的偏相关在整个实验过程中保持恒定(图6)。

我们还观察到一些功能连接性受实验条件调节的脑区对。例如,同一受试者尾状核(Caudate)区域左右两侧的总偏相关性在实验过程中逐渐增强(图7)。这种增加并非源于生理(背景)连接性的变化(其保持恒定),而是源于慢速前向熵的 PPI 效应。目前尚不清楚为何尾状核两侧活动的协调性会随着慢熵增加;一种可能性是,当替代预测系统不确定性较高时,该区域被征召用于预测,这与大量关于多重学习系统中不确定性加权仲裁的理论工作一致(Daw 等, 2005; Keramati 等, 2011; Lengyel 和 Dayan, 2007; Wang 等, 2022)。这一结果可能激发未来研究探讨该区域在预测任务中所扮演的角色,特别是在不同任务中学习可靠性发生差异的情况下。

作为另一个功能连接性随实验条件变化的例子,考虑左侧海马体和左侧伏隔核(Nucleus Accumbens)(图8),它们表现出与按钮按压相对应的显著 PPI 效应。该效应的方向也十分有趣:尽管生理连接性在实验过程中保持恒定,但按钮按压的 PPI 效应却削弱了这种协调性,甚至导致两个区域活动呈负相关,这与决策任务中通常观察到的反应执行时神经变异性被抑制的现象一致(Churchland 等, 2010)。这一观察结果进一步与先前的研究相吻合,表明这些区域在运动控制中具有协同作用(Poldrack 等, 2001)。

最后,我们注意到,在整个实验过程中,许多我们考虑的脑区对之间不存在功能连接性,甚至在第 2.3.1 节所述的非零成分选择过程之前也是如此。这与大脑功能连接中存在稀疏性的预期相符。例如,我们包含了一张左前扣带皮层与左尾状核之间偏相关成分的图表(图9)。

在第3.2节中,我们通过考察每种PPI模型配置对已知偏相关性的估计效果,比较了不同PPI模型配置的性能。我们通过计算估计的偏相关性与真实值之间的均方误差(MSE)来实现这一点。但在本应用分析中,我们并不知道真实的偏相关性,因此无法计算MSE。为了证明在此情境下使用BTV-PPI模型相较于标准gPPI模型的优势,我们认为BTV-PPI模型比gPPI模型能更好地解释每个种子区域的BOLD活动,因此从BTV-PPI模型估计的时变系数所导出的偏相关性也必然更优。
当使用BTV-PPI模型时,区域i中观测到的BOLD响应Yᵢ(t)与估计的BOLD响应Ŷᵢ(t)之间的MSE为0.29;而当使用gPPI模型时,该MSE为0.39。各模型所能解释的BOLD活动变异比例也可用于比较,该值被称为R²。当使用BTV-PPI模型时,R² = 0.70;而当使用gPPI模型时,R² = 0.61(详见补充材料)。这表明BTV-PPI模型对数据的拟合效果更好,我们由此认为它能相应地提供更优的偏相关性估计。
我们引入了一种新颖的贝叶斯模型,能够估计可能动态变化的偏相关性,这些偏相关性既源于背景功能连接的漂移,也源于对实验刺激的响应。
该方法包括拟合P个具有时变系数的独立线性回归,然后使用一个非边缘化决策框架,识别高斯图模型精度矩阵中的结构零点。该框架还通过确保精度矩阵的对称性,强制执行功能连接无向性的假设。
在模拟中,我们提出的BTV-PPI模型在偏相关性保持时不变的情境下,其表现与标准gPPI模型相当;但在偏相关性随时间变化的情境下,则显著优于gPPI模型。重要的是,我们展示了gPPI模型如何可能错误地推断区域间的心理生理相互作用,而实际上仅存在随时间变化的生理连接。这凸显了gPPI模型的一个关键局限,并强调了需要能够准确处理此类可变性的方法。
此外,我们表明BTV-PPI模型可以容纳连续的实验预测变量,从而将其适用范围扩展至块状或事件相关刺激之外。我们认为这一特性填补了当前建模框架中的一个空白,并希望未来的研究能探索时变连续实验条件的可能性。
原文链接:
https://www.tandfonline.com/doi/epdf/10.1080/26941899.2025.2519436?needAccess=true