Koszul resolution for linear monoidal functors
线性张量函子的 Koszul 分解
https://www.arxiv.org/pdf/2504.03240

摘要
我们为位于一个本质上有限的线性对称张量范畴上的函子范畴中的幺半群,引入了正则列以及相应的 Koszul 分解。接着我们定义了在这些幺半群上的多项式。我们计算了 Hochschild 上共变函子,并为张量幂等交换幺半群上的多项式,证明了一个类似希尔伯特协同定理的相对版本。
关键词:张量范畴,函子范畴,Koszul 分解,Hochschild 上共变,希尔伯特协同定理
1 引言
Hochschild 上共变是研究环及其上双模的一种经典工具。它可以以多种方式推广到其他语境:例如在文献 [8] 中,第二位作者引入了对线性对称张量范畴上的函子的 Hochschild 上共变。因此,自然的问题是尝试将其他一些概念也推广到这个框架中。在传统的环的语境中,Koszul 分解的构造起着基础性的作用。特别地,这种分解可用于为定义在域上的多项式环提供希尔伯特协同定理的证明(参见 [9] 中的应用 4.5.6)。
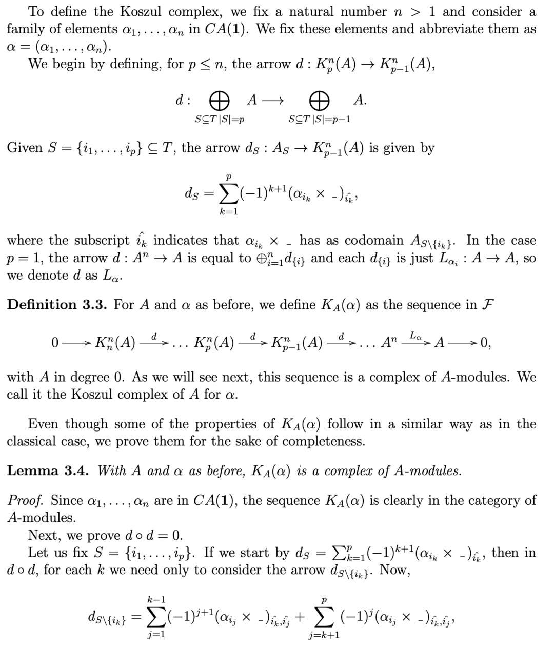
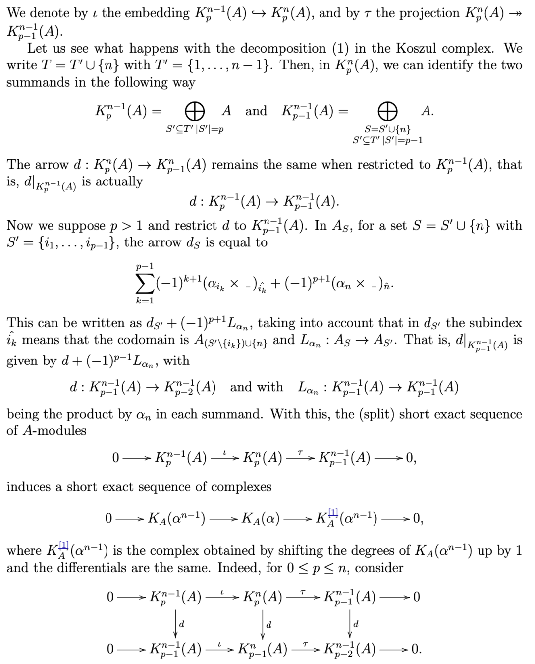
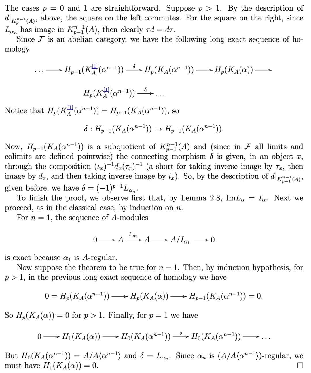
在本工作中,我们为定义在函子范畴 F 上的幺半群引入了正则列(定义 3.5)以及相应的 Koszul 分解。在第 3 节中,给定 F 中的一个幺半群 A,我们定义了其关联的 Koszul 复形,并首先证明它确实构成一个复形,然后证明它为某个特定 A-模的分解,就如同经典情形一样。这个复形的定义以及它是分解这一事实的证明,完全是组合性的,因此避免了复形张量积的使用。
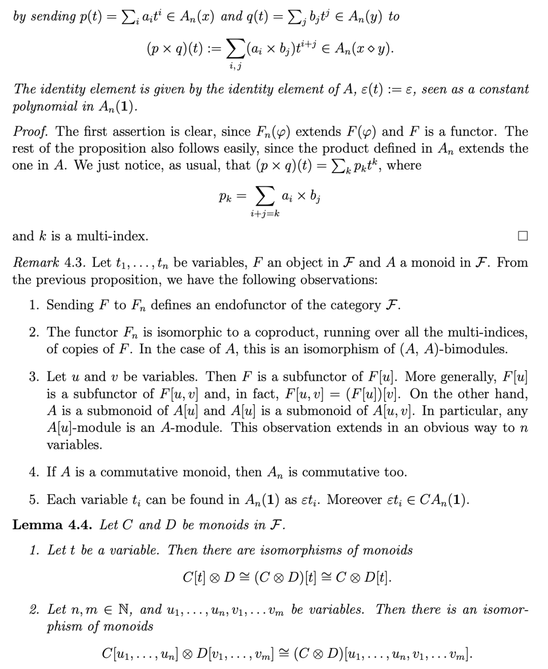
在第 4 节中,我们定义了 F 中幺半群上的多项式。在传统的环论框架中,我们关注的结果是针对定义在域上的多项式环的,而在我们的语境中,我们用张量幂等交换幺半群(见定义 4.5)来代替域。在此基础上,我们计算了 Hochschild 上共变函子,并证明了一个关于 F 中张量幂等交换幺半群上的多项式的相对版本的希尔伯特协同定理。
一个重要且具有动机的例子是 Green 双集函子的语境。在该情形下,Burnside 函子是交换的且张量幂等,因此我们的结果可以应用于其上的多项式。
2 预备知识







4. 多项式的函子
一般性质
我们首先回顾以下标准定义和记号。










原文链接:https://www.arxiv.org/pdf/2504.03240