Information Processing by Scalar Fields of Numerical Relativity: A Spin 0 and SU(2) Gauge Theory of Quantum Gravity
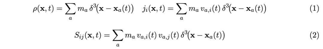
数值相对论中的标量场信息处理:量子引力的自旋0和SU(2)规范理论
https://www.researchgate.net/publication/393648226_Information_Processing_by_Scalar_Fields_of_Numerical_Relativity_A_Spin_0_and_SU2_Gauge_Theory_of_Quantum_Gravity

摘要 数值相对论在预测LIGO和Virgo所观测到的引力波信号方面取得了非凡成功,这表明计算信息处理可能代表了引力物理的基本层次,而不仅仅是对几何时空的近似。我们提出,引力源于对地址重标记不变的计算模式,时空几何仅作为一种涌现的数学解释而存在,而非基本的物理舞台。通过对数值相对论中的计算标量场进行量子化,并将其通过SU(2)规范理论扩展到标准模型,我们构建了首个在四维时空中系统性实现紫外完备的量子引力理论,其机制基于渐近自由。由此产生的理论框架自然地补全了标准模型的规范结构,其中引力信息处理通过与弱相互作用相同的、已被验证的机制来实现。这种技术上的保守性实现了激进的统一:大质量的h场激发态提供了天然的暗物质候选者,而规范保护下的超轻集体模式则解释了暗能量;通过将引力视为一种涌现的集体行为而非基本相互作用,该框架解决了等级问题。该理论在实验可及的能量尺度上做出了具体预测,从而首次通过成熟的粒子物理方法提供了可检验的量子引力研究路径。

1 引言 LIGO和Virgo对引力波的探测为爱因斯坦广义相对论提供了前所未有的验证,同时也凸显了数值相对论作为一种预测框架所取得的非凡成功[1, 2]。来自双黑洞和双中子星并合的观测波形与数值模拟的理论预测高度吻合[18, 10, 6],这不仅证实了我们对强场引力的理解,也验证了用于求解爱因斯坦场方程的计算方法。
这一经验上的成功引发了一个关于引力物理本质的深刻问题。传统的观点将数值计算方法视为对某种基础几何描述的近似,即基于光滑流形上爱因斯坦场方程的几何理论[13, 24]。然而,计算算法能够以如此极高的精度捕捉引力动力学这一事实,提示了一种另类的可能性:计算框架本身或许比连续的几何解释更能代表引力现象的更基本描述
我们提出一种根本性的范式转变:信息处理构成了引力物理的基础层次,而时空几何则作为对地址重标记不变的计算模式的一种涌现性数学解释。这种重新诠释通过最保守的技术路径自然地导向一个量子理论:即在标准模型中引入引力信息处理,采用与描述弱相互作用同样成功的SU(2)规范理论框架来完成标准模型。
由此完成的理论将标准模型的规范结构从SU(3)C × SU(2)L × U(1)Y 扩展为SU(3)C × SU(2)L × SU(2)Grav × U(1)Y,其中新的SU(2)Grav部门通过已被验证的规范理论机制来支配引力信息处理。这种技术上的保守性——即完全采用在描述电弱相互作用方面取得巨大成功的数学框架——在保持严格可计算性的同时,实现了激进的理论统一。
现代数值相对论采用一种系统性的计算循环,通过三个不同阶段处理引力信息[7, 3]:(1)收集空间各位置上的物质-能量信息;(2)演化编码引力自由度的计算h场;(3)根据局域场梯度确定物质的运动。这一信息处理结构重现了所有已知的引力现象,包括引力波探测器所观测到的致密天体旋进过程中的精细动力学。我们并不将这种计算上的成功视为对几何时空的简单近似,而是将其视为揭示引力现实之根本本质的线索。
该量子化方案严格遵循标准模型的范式,并保持数学上的精确性。我们将标量h场赋予SU(2)Grav规范结构,采用与弱相互作用完全相同的程序[27]。这一选择通过与标准模型可计算性相同的机制确保了可重正化性[22],而渐近自由则提供了紫外完备性[11, 17]——从而在四维时空中首次实现了系统性的紫外完备量子引力理论,且无需引入超出已知规范理论的奇异物理。
该量子理论通过标准的量子-经典对应关系[16]自动恢复经典的h场演化方程。这些经典动力学方程恰好就是数值相对论中的计算演化规则,而后者能够精确重现爱因斯坦场方程。关键的是,这一框架无需引入引力子粒子——人们熟知的自旋-2引力现象作为底层自旋-0 h场的集体行为而涌现,宏观极限下的经典广义相对论则通过类似于凝聚态物理中集体现象出现的机制自然产生。
或许最引人注目的是,这种技术上保守的方法实现了深刻的理论统一。负责引力信息处理的同一量子h场自动为宇宙学的“暗成分”提供了完整解释。具有质量的自旋-0 h粒子作为暗物质候选者,具备所需的全部特性:仅通过引力耦合、电磁中性且稳定[8]。同时,由规范对称性保护的超轻集体模式通过真空能的演化自然地产生暗能量,从而避免了传统方法中灾难性的精细调节问题[25]。
该框架通过认识到引力效应源于集体场行为,而非基本相互作用,解决了等级问题——即为何引力看起来远弱于其他基本力[4]。这消除了对超对称或额外维度等奇异物理的需求,而是通过涌现的集体动力学自然解释了引力耦合的微弱性,而非依赖基本参数之间的层级差异。
与那些推测性的量子引力方法不同,该理论在实验可及的能量尺度上做出了具体预测。h粒子通过与标准模型粒子质量生成相同的希格斯机制获得质量,从而将暗物质直接与已知的电弱物理联系起来。对撞机信号遵循标准的弱相互作用大质量粒子(WIMP)搜寻策略,而对希格斯粒子性质的精密测量可能揭示出h粒子产生的偏差迹象。这标志着从不可检验的数学猜想向基于引力物理中最成功计算方法的、以实证为基础的理论框架的范式转变。
1.1 数值相对论 + 标准模型 = 量子引力:激进的范式与保守的机制
公式“数值相对论 + 标准模型 = 量子引力”(NR + SM = QG)概括了我们的核心论点:数值相对论在计算上的成功,结合标准模型的规范理论框架,自然地导出了量子引力,而无需引入超出已有方法的奇异物理。
数值相对论作为基础:我们不再将计算方法视为对几何时空的近似,而是认识到数值相对论卓越的经验成功,反映了引力现实的本质——即信息处理。三阶段的计算循环——信息收集、h场演化和运动引导——代表了物理现实的基本操作,而非数学上的便利。
标准模型的扩展:通过对这些计算h场应用SU(2)规范理论进行量子化,我们采用了与成功描述弱相互作用完全相同的数学框架。这使得标准模型的规范结构从SU(3)C × SU(2)L × U(1)Y 扩展为SU(3)C × SU(2)L × SU(2)Grav × U(1)Y,通过已被验证的方法,实现了基本相互作用家族的“大团圆”。
量子引力作为自然结果:由此产生的量子场论自动提供了紫外完备的量子引力(通过渐近自由)、通过大质量h粒子解释暗物质、通过集体现象解释暗能量,并通过引力效应的“涌现性”而非“基本性”解决了等级问题。整个过程无需引入超出标准模型技术的新理论机制。
这一综合表明,物理学最深层的基础可能是计算性的而非几何性的;所有观测到的现象,都是信息处理中地址重标记不变模式的体现,而这些模式的数学解释营造出了时空几何的“表象”。这一根本性的范式转变——从几何基础转向计算基础——通过最保守的技术实现方式达成了统一:即使用标准模型自身已被验证的方法,完成其理论结构。
从量子简单性到经典复杂性的涌现Diff(M):我们方法的一个关键特征是,微分同胚不变性(Diff(M))并未在量子层次上被强加。这一选择源于概念和技术两方面的考虑。从概念上看,Diff(M)导致了量子引力中著名的时间问题:由于哈密顿约束的存在,量子理论呈现出“无时间”特征,使动力学冻结,与量子力学中时间依赖的演化相矛盾。从技术上看,具有Diff(M)的理论在量子化时常导致不可重整化,如微扰量子引力所示。相反,Diff(M)是在经典极限下通过我们的“标量共谋”(scalar conspiracy)自然涌现的,其基础是标量有效场论(EFT)。标量EFT表明,在从简单的线性量子领域向复杂的非线性经典领域过渡过程中,宏观平均可以产生非线性和非局域的几何效应,从而使满足Diff(M)不变性的时空自然地从非几何的标量场中产生,而无需在量子层面强行施加该对称性。
在下文中,我们将发展这一完整的理论框架,展示SU(2)Grav的量子化过程,阐明暗成分如何自然出现,并确立标准模型物理的保守性完成。该理论表明,量子引力从来不是一个需要奇异解的问题,而只是在我们认识到信息处理比时空几何更为基本之后,已有物理理论的自然延伸与完成。
2 数值相对论作为基于标量场的信息处理
数值相对论(NR)在预测LIGO和Virgo所观测到的引力波信号方面取得的巨大成功,为爱因斯坦广义相对论提供了前所未有的验证。NR主要采用ADM(Arnowitt-Deser-Misner)和BSSN(Baumgarte-Shapiro-Nakamura)形式体系,是求解高度动态和强场条件下爱因斯坦场方程最成功的计算方法。我们提出,不应将这些计算方法视为对某种底层几何描述的近似,而应认为其信息处理结构本身即代表了引力动力学的基本描述。
2.1 离散数值计算与连续极限
我们的框架假设,宇宙的基本实在运行在一个固定的、非几何的计算基底之上。所有物理操作都在一个“游戏引擎”中进行,该引擎基于均匀的立方体晶格,其空间位置由内存地址

表示,并随时间 t演化。
尽管我们使用微分形式来描述演化过程,但需理解在数值实现中,每个导数都是通过有限差分来近似的。我们所认为的基本物理本体存在于连续极限中,即当 Δx→0且 Δt→0时。在此极限下,有限差分严格地转化为微分,诸如洛伦兹不变性等性质得以恢复,从而系统性地定义出我们关于引力的紫外完备量子场论。
这一信息处理系统实际上充当了一个“游戏引擎”,而时空几何则作为观察者所体验的“虚拟现实”界面而涌现。因此,数值相对论的经验成功实际上反映了我们对引力物理基本层次的发现。
2.2 非几何的计算基底
我们框架的基础是一个非几何的计算基底——一个固定的(x, t)处理网格,它作为所有量子场计算的内部坐标系统。该基底充当了现实计算架构的“内存地址系统”,类似于游戏引擎的内部坐标框架:在渲染视觉输出之前,先在该框架内处理信息。
关键之处在于:这一计算网格绝不能与物理时空几何相混淆。尽管该基底具有用于定位场构型的数学坐标结构,但它本身并不携带任何物理度规或几何意义。该基底纯粹是信息基础设施——一种稳定、非几何的背景,为高效的量子信息处理提供支持。
核心区别在于:传统方法将“平直时空背景”视为物理现象发生的几何舞台。而我们强调,任何度规——无论是平直还是弯曲——都是计算基底的输出结果,而非定义计算网格的输入条件。与几何化方法不同,我们将所有时空几何都视为由计算基底所生成的“渲染输出”。时空及其几何结构是被渲染出的虚拟现实,而计算基底则是隐藏其后的“游戏引擎”,负责生成这一体验。
因此,这一计算网格不应被误认为是闵可夫斯基时空背景,因为度规是计算基底的输出结果,而非其定义输入。即使是平直度规,也是从计算过程中涌现出来的,而非用来定义计算基础设施的先验结构。
2.3 地址重标记不变性

这两种变换都作用于计算基底中的内存地址——而非作用于由度规定义的任何物理时空流形的坐标。
除非另有说明,当我们讨论“地址重标记不变性”时,指的是非线性重标记。
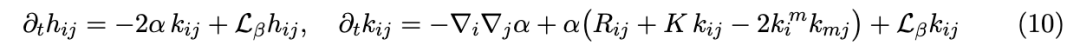
2.4 ADM形式体系:引力的一种简洁而自然的框架

这形成了一个清晰的初始问题:给定某一时刻这些场的值(并满足相应的相容性约束),ADM演化方程即可确定它们随时间的精确变化,即输出其加速度。这种表述天然地在坐标变换(微分同胚)下保持不变,而在我们看来,这种不变性反映了基本系统底层的地址重标记不变性。
2.5 三阶段信息处理循环:从标量场出发的引力







2.6 为观察者渲染虚拟现实
我们的框架区分了理解观测的两个基本层次:



2.7 地址重标记不变性(引擎与渲染)
我们框架的核心原则是:在任意重新标记计算地址和时间下的不变性:

引擎层(第1–3阶段):所有基本操作——从对h场的内存地址读取,到其有限差分更新、联络计算,再到粒子轨迹的积分——都被设计为与网格索引的任意光滑重标记(即微分同胚)对易。这确保了底层的信息处理不依赖于内存位置的标记方式。
渲染层:同样,生成观察者所感知现实的过程——包括涌现度规 gμν的插值、物体与光线测地路径的确定,以及最终将信号投影到天空角度、红移等可观测量上——也均由微分同胚协变的操作构成。这保证了无论采用何种坐标系来描述涌现的时空,观察者的体验始终保持一致且具有物理意义。
因此,地址重标记不变性贯穿整个流程,从底层的引擎计算到虚拟现实的渲染,最终在连续极限下统一为一种有效的微分同胚对称性。
2.8 作为渲染虚拟现实的涌现时空
在我们的范式中,唯一具有本体论实在性的实体是存储在计算基底上的浮点数数组:


2.9 通过非几何计算基底实现真正的背景无关性
传统的“背景无关性”仍然将时空视为基本实体。相比之下,我们的框架则完全摒弃了任何几何背景。计算基底仅由以下要素构成:

正如视频游戏引擎无需参考其所渲染的虚拟世界即可运行一样,我们的核心逻辑在运作时也不依赖于任何涌现的时空几何——所谓的“背景”只是被渲染出的结果,而非基本的输入。

2.10 爱因斯坦方程的恢复与LIGO验证
实现该引擎的数值相对论代码能够精确重现爱因斯坦方程的ADM形式[5]:

LIGO/Virgo观测到的波形与理论预测的精确吻合[1, 2],证实了这些标量h场完整地捕捉到了引力动力学的全部行为。由于它们本质上是普通的标量自由度,因此可以进行标准的量子场论量子化——这为通向一个紫外完备、背景无关的量子引力理论提供了直接路径。
3 如何量子化引力以及应当量子化什么
本节及下一节为概念性阐述,不涉及技术细节,但概念上的清晰性对于量子引力研究至关重要。
3.1 基本选择:两条对立的逻辑链条
在理解“地址重标记不变性”与“时空几何”之间关系的问题上,存在两种根本不同的逻辑路径:
传统逻辑链(1):几何时空是基本的 → 地址重标记不变性作为数学后果而涌现 → 微分同胚对称性反映了对预先存在的几何进行描述时的坐标自由度
信息处理逻辑链(2):计算中的地址重标记不变性是基本的 → 时空的几何表象作为数学后果而涌现 → 时空几何只是用于理解计算模式的一种解释性工具
这两条逻辑链代表了完全相反的因果方向,以及对物理实在本质的根本不同本体论承诺。传统方法将时空几何视为物理过程发生的基本舞台,而坐标不变性只是几何描述所衍生出的性质。我们的框架采纳逻辑链(2),并彻底摒弃逻辑链(1),将计算中的地址重标记不变性视为基本原理,几何解释则由此原理中涌现。
这一选择具有深远影响:我们不再试图直接量子化时空几何——这一路径长期面临严重的概念困难;而是转而量子化那个通过其地址重标记不变模式产生几何表象的信息处理基底。数值相对论取得的巨大成功为此提供了经验证据,支持逻辑链(2),表明计算方法所捕捉的是引力现实的基本层面,而不仅仅是对某种底层几何描述的近似。
3.2 量子纠缠与计算基底
信息处理框架为量子力学中最令人困惑的现象之一——量子纠缠和“鬼魅般的超距作用”——提供了自然的洞见。当我们认识到计算基底与涌现时空之间的区别时,这种表面上的谜团便迎刃而解。
传统物理学中的纠缠之谜:两个相距数十亿光年的粒子表现出瞬时关联,似乎需要超光速通信,这看似违背了相对论和定域性。
通过计算实在的解决:在基本的计算基底层面,这些粒子仅仅是存储在两个内存地址上的信息。对信息处理系统而言,访问标记为

的内存位置是同样即时的——在计算层面并不存在“距离”,只有地址标签。数十亿光年的分离仅存在于涌现的几何解释之中。
游戏引擎类比:设想一个具有逼真物理效果的复杂视频游戏:
游戏引擎层面(计算基底):
虚拟现实层面(涌现的物理界面):
类似地,在我们的框架中:
信息处理基底:h场的演化直接作用于所有计算地址,没有内在的距离限制。
涌现时空界面:地址重标记不变性产生了时空几何的表象,以及我们所观察到的空间分离、因果关系和相对论性约束——这些被我们视为“物理定律”。
量子纠缠的解决:纠缠粒子在基底层面保持信息的关联性。当计算系统更新其中一个地址时,关联约束会自动确定另一个地址的状态——无需任何信号传输。“鬼魅般的动作”发生在计算基底内部,而涌现的时空界面则为所有可观测现象保持了相对论因果性。
这一视角表明,量子力学最深层的谜题源于将我们进行观测的“涌现界面”与进行基本信息处理的“计算基底”混为一谈。一旦我们认识到时空本身并非基本,而是涌现的,量子纠缠就变得如同其他任何计算操作一样自然。
测量问题的解决:事实上,这一计算信息处理框架也通过将观察者视为计算基底的一个输出接口子程序,解决了测量难题。波函数坍缩并不发生在被渲染的物理现实中,而是观察者子程序与计算基底之间的一种“计算握手协议”。这也解释了为何观察者能够访问由游戏引擎所渲染的虚拟现实。
信息处理框架揭示了两种根本不同的重标记自由之间的关键区别,这对力载粒子的存在具有深远意义。
地址重标记(微分同胚不变性):考虑在一个城市中重新标记街道名称和房屋编号。我们可以将“123 Main Street”改为“456 Oak Avenue”,但实际的居民、他们的关系以及他们的活动仍然完全相同。房子内外发生的物理现象完全不受我们如何标记地址的影响。

为什么引力子不存在:在我们的框架中,引力源于地址重标记不变性,而不是内容重标记不变性。因此,引力不需要交换粒子——它纯粹从地址重标记不变性计算模式的几何解释中产生。这就是为什么我们的理论自然避免了与引力子量子化相关的概念性困难:没有引力子粒子可以量子化。
内容重标记不变性与通过规范轨道的可重整化性:内容重标记不变性——在每个时空位置重新命名粒子内部量子数的自由——提供了规范理论中可重整化的根本机制。这种不变性使得可以用规范变换下的等价类来构建粒子内容的粗略定义,其中每个等价类代表一个物理上等价的场配置的规范轨道。可重整化性出现是因为量子化自然发生在轨道空间而不是幼稚的配置空间上,从而确保了正确计数物理自由度。这些规范轨道的大小对紫外行为至关重要:虽然 U(1) 电磁学具有相对较小的一参数规范轨道,不足以提供渐近自由所需的屏蔽,但 SU(2) 理论具有较大的三参数规范轨道,能够产生实现渐近自由所需的增强屏蔽效应。这种轨道大小层次结构直接影响我们框架的可行性:SU(2)Grav 结构提供了足够大的规范轨道以实现渐近自由,这对于我们的理论的多个方面至关重要,包括通过希格斯机制自然产生质量、暗物质候选者的稳定性,以及确保出现的引力动力学的完全紫外完备性所需的渐近安全性。
当我们考察传统方法试图量子化的内容与在一致的量子引力理论中实际应该量子化的内容时,一个关键的见解浮现出来。
传统方法:量子化度规张量


信息粒子与 SU(2) 交换力:当标量 h-场被量子化时,每个标量 h-场量子成为一个携带引力信息并通过 SU(2) 规范力相互作用的自旋为 0 的“信息粒子”。这些自旋为 0 的信息粒子通过标准规范理论提供的良好行为的交换机制相互作用,创造出没有几何量子化病理的适当量子动力学。
令人惊叹的统一性:这些自旋为 0 的信息粒子正是暗物质粒子。那些负责处理引力信息的根本实体,同时也是宇宙中暗物质的成分,这为量子引力与宇宙学暗区物理之间提供了前所未有的统一。
根本的解决办法:与其试图强行让几何量充当交换粒子(这一计划导致了数学上的不一致性),我们的方法认识到适当的交换粒子存在于信息粒子层面,而几何时空则是它们集体行为的模式。这种分离使得量子场论(用于信息粒子)和经典几何(作为出现的极限)能够在它们各自的自然领域中发挥作用,而不会出现困扰传统量子引力方法的概念性矛盾。
关键的见解是,我们应该量子化创造引力现象的计算基底,而不是这些现象的出现的几何解释。这将量子引力从一个难以处理的几何量子化问题转变为规范场论的标准应用,其中的信息粒子同时解释了暗物质。
量子引力的一个核心挑战在于一致地量子化广义相对论的微分同胚不变性(Diff(M)),它表明物理定律独立于时空坐标的选择。将 Diff(M) 作为一种基本的量子对称性加以强加,常常导致严重的技术和概念性障碍,例如“时间问题”,在这种问题中,量子理论似乎是没有时间的。
我们的框架通过采用不同的策略,在量子化中获得了显著且关键的自由度。我们不要求在我们理论的基本量子层面上明显地具有非线性地址重标记不变性。相反:
这一战略选择使我们能够使用非阿贝尔标量规范理论(SU(2)Grav)的成熟且易于处理的方法来量子化我们的 h-场,避免了与量子化本质上 Diff(M)-不变的几何张量场相关的棘手问题。请参阅下一部分,以获得对这一关键问题的更深入分析。
这里出现了一个关于量子涨落的关键概念性区别。在我们的框架中,量子效应类似于基本信息处理中的固有“噪声”。与其试图强行让这种量子“噪声”具有 Diff(M)-不变性(这一任务对其他理论来说极具问题性),我们的方法专注于控制这些量子涨落。目标是在基本层面上存在量子效应的同时,确保在宏观尺度上清晰且连贯地出现期望的经典、Diff(M)-不变的引力信号。这是通过最小化量子涨落的原理在相干态中实现的,这与我们选择对 h-场进行自旋为 0 的量子化是一致的。自旋为 0 的场具有最简单且行为最良好的相干态,提供最小的固有“噪声”,并为宏观经典现实从最“类似经典”的量子构型中出现提供了一条直接路径。这将重点从在量子层面上强制执行不变性转移到优化量子动力学,以实现精确的经典对应关系。这种自由度是我们理论可行性的基石,也是其通往系统紫外完备量子引力的道路。
在明确了量子引力应当以非几何的信息粒子而非几何量为作用目标之后,我们现在来考察这些基本实体的本质,以及它们的集体行为如何营造出引力现象的表象。
每个信息粒子本质上是一个非几何的自旋 0 标量实体,它在计算位置上编码引力信息。选择自旋 0 的特性带来了几项关键优势:
3.7.2 集体行为:个体与群体的区别
理解自旋为0的信息粒子如何产生自旋为2的引力现象,关键在于认识到个体粒子属性与群体集体行为之间的根本区别。
蚂蚁群落类比:考虑单个蚂蚁与整个蚂蚁群落之间的差异。单只蚂蚁是一种能力有限、行为模式简单的生物。然而,一群蚂蚁集体却能表现出极其复杂的行为:建造复杂的结构、优化觅食路径、保卫领地,并适应环境挑战。这种群落层面的“智能”行为,源于个体蚂蚁之间简单的相互作用,尽管没有任何一只蚂蚁本身具备群体层面所展现出的复杂性。
神经网络类比:类似地,单个神经元只是一个相对简单的细胞,只能“放电”或保持静息。然而,大量神经元的集合却能集体表现出极为复杂且智能的行为:处理信息、形成记忆、产生意识以及创造性的思维。大脑的惊人能力,正是源于这些简单个体成分的集体动力学。
位置细胞类比:神经科学中提供了更直接的类比——海马体中的位置细胞 [14]。单个位置细胞是简单的神经元,仅当动物处于特定空间位置时才会放电;每个细胞都有一个明确定义的“位置野”,在其他位置则保持沉默。然而,整个位置细胞群体却能够共同实现复杂环境中的导航、空间记忆的形成以及高级路径规划。大脑卓越的空间智能,源于众多位置特异性细胞的协同活动,尽管任何单个位置细胞本身并不具备导航知识。类似地,单个信息粒子仅在特定的计算地址上编码引力信息,但它们的群体却共同产生了我们所感知为动态时空几何的复杂时空模式。我们的信息粒子就像自然界中的位置细胞。
涌现的自旋-2行为:单个信息粒子是具有简单属性的自旋为0的标量粒子。然而,当信息粒子群体在满足地址重标不变性约束的条件下协同作用时,它们的集体构型会自然地组织成具有横无迹(transverse-traceless)结构的模式,而这正是自旋-2引力现象的典型特征。
自旋之谜的解决:这一区分解决了自旋为0的基本粒子与自旋为2的引力现象之间的表面矛盾。自旋-2特性并非个体信息粒子的固有属性,而是通过宏观平均所涌现出来的集体组织特征。LIGO所探测到的引力波,反映的是信息粒子群体集体构型模式中的涟漪,而非单个自旋-2粒子的激发态。
本小节使上述神经元与神经网络的类比更加具体化。三阶段信息处理循环自然地映射到一个在宇宙尺度上运行的循环神经网络(RNN)架构。


来自RNN视角的关键洞见:
• 记忆地址是固定的:空间坐标(x)在宇宙计算机中充当记忆地址,而不是需要被量子化的动态量 • 隐状态是动态的:存储在每个地址上的h场携带引力“记忆”,并根据网络动力学进行演化 • 循环处理:每个时间步依赖于前一时刻的隐状态,从而在时空演化中形成时间记忆 • 分布式计算:信息处理在所有空间位置同时进行,并具有局部连接性,即这也是一种卷积神经网络
上述RNN架构说明,尽管每个神经元是自旋为0的,但整个神经网络却展现出更复杂的、涌现的自旋-2行为。 爱因斯坦场方程作为这一宇宙级RNN动力学的宏观描述而浮现,时空几何则代表了在整个计算网格上隐状态演化的集体模式。
3.9 凝聚态物理中的有效度规
凝聚态物理(CMP)为理解我们量子引力框架的核心原理提供了一个强大且经验证成功的类比。凝聚态物理经常展示出,复杂的宏观现象甚至有效的几何结构,都可以从更简单、微观组分的集体行为中涌现出来。
涌现作为指导性原则:在凝聚态物理中,超导性、超流性或磁性等性质并非单个原子或电子的固有属性,而是源于它们之间的集体相互作用。类似地,我们的框架认为,时空几何和引力并非基本的,而是从我们基本的h-标量场的集体行为中涌现出来的。
从非几何组分中产生的有效几何:某些凝聚态系统表现出的性质可以被严格地解释为涌现的几何。例如,在某些材料中,激发态(如声波或声子)的传播可以用方程来描述,这些方程模拟了粒子在弯曲时空中的行为。材料的弹性性质可以为声子定义一种“有效度规”。这表明,“几何”可以从底层非几何组分(例如晶格上的原子)的集体行为中产生,为我们h-标量场如何生成涌现的时空度规gμν提供了具体的类比。
准粒子作为涌现实体:在凝聚态物理中,许多“粒子”——如声子(晶格振动的量子)或磁振子(自旋波的量子)——并非基本粒子,而是底层介质的涌现集体激发。这些准粒子具有质量、动量和自旋等性质。类似地,在我们的框架中,引力的自旋-2特性(在经典极限下的引力子)被视为我们基本的自旋-0 h-场的涌现集体激发,而非一种基本粒子。这自然地解释了为何我们不需要引入基本的高自旋粒子。
基本尺度上概念的失效:正如“声音”或“磁性”等概念在凝聚态中个体原子的尺度上不再适用一样,在我们的理论中,“光滑时空流形”这一概念(及其相关的微分同胚不变性)在基本的量子尺度上也会失效。在这些尺度上,底层的实在由h-场的非几何动力学所描述。
这为我们核心论点提供了一个令人信服且基于实证的类比:时空几何是一种从h-场的集体行为中涌现出的解释性描述,而非代表一种基本的物理实在。
4 量子化即简化
在本节中,我们后退一步,审视量子化中的基本问题,特别是经典系统与量子系统之间的对应关系。与通常的观点相反,我们认为量子化是一种巨大的简化,而动态复杂性上的不匹配意味着:量子的简化性与经典的复杂性之间存在着不同层次的地址重标对称性。
4.1 非线性经典 ≈ 线性量子隐藏层 + 非线性输出层
经典动力学通常被视为单层模型,输入以确定性方式产生输出。相比之下,我们的框架将宇宙的基本计算视为一种多层量子系统,类似于神经网络,其中经典世界是从一个简单的量子核心与非线性界面相互作用中涌现出来的。
4.1.1 量子系统的隐藏层:简单的线性旋转
现实的基本核心作为一个“隐藏层”运行,其中量子动力学在时间上以线性方式展开。无论我们采用薛定谔绘景(即态矢量在希尔伯特空间中随时间线性且幺正地演化,该态矢量为福克空间矢量,允许粒子的产生与湮灭),这一点都成立:

无论是展开或铺陈宇宙丰富故事的薛定谔绘景,还是在海森堡绘景中,基本场算符(我们的h场算符,类似于产生和湮灭矩阵)以线性方式演化:

这种由单个哈密顿量 ˆH 所编码的薛定谔或海森堡绘景下的线性时间演化,与经典系统中常见的非线性甚至混沌动力学相比,显得异常简单。所有关于粒子产生、湮灭和运动的复杂“故事”,都包含在这个单一哈密顿量的作用之中。
4.1.2 非线性的输入层与输出层
将线性的量子核心与我们观测到的经典世界连接起来,需要关键的非线性界面:
• 输出层(测量/渲染):该层将量子态(即隐藏层的输出)映射为经典可观测量以及观察者所感知的现实。支配这一映射的玻恩规则本质上是非线性且概率性的。该层有效地“渲染”出经典时空及其现象的“虚拟现实”。所观测到的经典变量正是这一渲染过程的预定义输出。
• 输入层(测量/坍缩):量子测量或波函数坍缩的过程充当了非线性的输入层。在测量发生时,量子态会经历一次非幺正的“重置”或投影,坍缩到对应于所观测经典结果的本征态上。这一过程提供了反馈,从而根据观测结果有效改变隐藏的量子态。
正是由于这些非线性的输入层和输出层的存在,底层的隐藏层才能在其时间演化中保持简单且线性。
4.1.3 向经典观测的过渡:非线性的涌现
为了理解经典动力学的涌现,我们考虑平均操作。该操作充当一种聚合的输出层,微观的量子涨落在其中被平均掉。
在海森堡绘景中,应用埃伦费斯特定理表明,量子算符的期望值将遵循经典运动方程。这涉及一个根本性的转换:量子对易子——一种线性操作——被映射为经典泊松括号,而后者在经典动力学中本质上是非线性的。

这表明,线性量子系统如何在宏观极限下产生非线性经典系统。经典世界中的非线性来源于经典哈密顿量以及泊松括号的非线性结构。
埃伦费斯特定理所描述的期望值仅适用于定义明确的可观测量,因此具有较大局限性。更一般地,根据量子统计力学(后文将详细解释),在宏观尺度上,宏观平均确保了大量量子组分(我们的h粒子)的集体行为会趋于一个平滑且确定性的平均结果。在这种情况下,观测这类宏观平均量并不必然引发波函数坍缩,因为它并非对单个量子粒子的测量,而是对大量粒子的统计聚合。因此,我们可以将其视为一个高度非线性的聚合输出层,它有效地“渲染”出我们所感知的经典世界。
4.2 量子线性旋转的三种视角
量子力学的三种表述方式,本质上都描述了量子隐藏层中的简单线性旋转。
4.2.1 薛定谔绘景:计算的故事
薛定谔绘景讲述了量子演化的故事——态矢量在福克空间中通过线性旋转而演化。这不仅仅是一种方便的数学形式,它实际上代表了自然界量子基底中真实发生的计算过程。这种演化发生在福克空间中,它讲述了粒子产生与湮灭的基本故事。每一个量子态都是具有不同粒子数的福克矢量的叠加,从而捕捉了粒子创生、毁灭以及量子场涨落的丰富动力学。福克空间中的这种线性演化是基本的实在——是自然界随时间处理量子信息的方式,其中粒子根据量子场动力学被创造或毁灭。
4.2.2 海森堡绘景:与经典力学的类比
海森堡绘景在本质上仍然是线性旋转,只不过我们保持态矢量固定,而改为旋转算符。由于旋转是相对的,我们通过这种替代性的计算视角得到等价的物理结果。这种表述有意模仿经典哈密顿力学,用量子对易子取代经典的泊松括号。然而,我们必须记住,这些量子算符从根本上是由作用于福克空间的产生与湮灭算符构成的。尽管线性旋转的结构得以保留,但海森堡表述主要充当了通向经典直觉的桥梁,使物理学家能够在不显式处理福克空间结构的情况下,使用看似熟悉的方程进行工作。
4.2.3 费曼绘景:分析工具
路径积分表述本质上仍是线性旋转,只不过我们通过对许多无穷小时间步长上的线性旋转进行指数累积来实现运算。路径积分将丰富的量子故事——福克空间的演化、粒子的产生与湮灭、量子叠加——简化为拉格朗日量中的经典场变量。关键在于,这些“经典场变量”应被理解为相应本征矢的本征值,而这些本征矢本身正是不同粒子数福克矢量的叠加态。当我们阅读一个费曼积分时,必须意识到每一个经典场构型背后,都隐藏着这些真正的量子态——即编码了粒子产生与湮灭振幅的本征矢。
路径积分的分析便利性不可否认,但其背后的基本过程仍然是福克空间中量子态的线性旋转;路径积分只是提供了一种高效的方法,用于计算无穷小旋转的指数累积。
4.2.4 代码的简洁性与涌现的丰富性与稳定性
因此,宇宙的基本动力学极为简单,建立在线性量子旋转的基础之上。它本质上是一个线性循环神经网络,并带有卷积形式的空间操作。然而,正是这种简单的线性旋转,创造出了令人惊叹的丰富而复杂的世界。这一原则在现代人工智能中同样明显:像GPT这样拥有数万亿参数的大语言模型,其运行依赖于概念上简单、线性代数模块(词向量上的矩阵乘法)的重复。涌现的智能和丰富的语言模式,正是源于这些简单线性操作在巨大规模下的集体交互。
线性隐藏层所具有的无限维表达能力,结合非线性的输入层与输出层,共同产生了我们所观察到的经典世界的丰富性与复杂性。这表明,量子引力也应遵循相同的设计原则:其时间演化应由一个源于简单拉格朗日量的哈密顿量所驱动。我们已经在数值相对论(ADM形式)中拥有了这种时间演化的经典对应物,而我们的量子理论旨在将其作为宏观表现重新获得。
除了简洁性与丰富性之外,量子化还提供了对无穷大和不稳定性的一种保护机制。
4.3 期望值操作:通过量子统计力学实现的经典现实
从量子基底中涌现出经典世界,是由期望值操作或宏观平均所主导的。然而,至关重要的是要认识到,这种操作通常并不是像埃伦费斯特定理所描述的那样,对单个量子态进行简单平均,而是对整个场进行完整的量子统计力学平均。这一视角得益于量子拉格朗日量的深刻对偶性,该拉格朗日量具有两个截然不同的功能。
4.3.1 一个拉格朗日量,两种用途
一个单一的、基本的拉格朗日量可以完整地描述一个物理系统,但它可以通过两种互补的方式来理解,对应于两个不同的物理问题。
1. 量子场论:计算跃迁振幅。拉格朗日量的第一种也是最常见的用途,是在洛伦兹时空中的量子场论(QFT)框架内。在这里,核心对象是带有复相位因子的路径积分:

物理意义:这种形式用于计算初态与末态之间的量子跃迁振幅。它描述了单个量子过程的微观、随时间演化的过程,例如少数粒子的散射。它回答的问题是:“这一特定量子事件发生的概率是多少?”
2. 量子统计力学:计算宏观平均量。拉格朗日量的第二种、更深层次的用途,是通过将时间进行维克转动(Wick rotation)变换为欧几里得时间(t → −iτ)而揭示出来的。这一变换将路径积分转化为统计力学中的配分函数:





这正是经典的欧拉-拉格朗日运动方程。在经典极限下,场的期望值与其最概然值完全相同,即满足经典方程的鞍点构型。当包含量子修正时,我们用完整的量子有效作用量 Γeff 替代经典作用量 SE,但通过最小化作用量来确定经典态的基本原理保持不变。

4.3.3 宏观平均不是可量子化的可观测量
这种量子统计力学观点揭示了一个基本原则:新兴的宏观量不是基本的量子可观测量,不能被量子化。
4.3.4 广义相对论作为新兴的宏观平均
我们的框架将广义相对论和时空度规放在这一类新兴的、不可量子化的宏观现象中。


4.3.5 量子统计力学与埃伦费斯特平均的对比
埃伦费斯特式量子平均与量子统计力学之间的区别,代表了一个根本性的概念分野。埃伦费斯特定理只能对那些已经作为明确定义的量子可观测量存在的物理量进行平均——例如具有明确本征值和本征态的位置与动量算符。这种保守的方法本质上是受限的,因为它无法创造出真正新的物理概念,而只能揭示已有量子实体的平均行为。相比之下,量子统计力学允许我们计算任意场构型数学函数的期望值,无论该函数是否对应一个基本的量子可观测量。这种革命性的自由意味着,我们可以定义复合量——例如由 h 场导数构造出的应力-能量张量——这些量作为单个量子算符并无意义,但通过统计平均却获得了深刻的物理意义。温度正是这一原理的典型例证:单个分子并不存在所谓的“温度算符”,但温度却通过分子动能的统计平均而成为有意义的宏观物理量。类似地,时空几何的出现并非通过对某个预先存在的“几何算符”进行平均,而是通过对 h 场构型的数学函数进行统计平均而涌现出来的。这种全新的物理实在,是通过量子统计力学而非简单的量子平均所创造的。
4.4 复杂性错配:Diff(M) 冻结了量子线性演化
我们的框架揭示了宇宙的经典描述与量子描述之间存在一种根本性的复杂性错配,这深刻影响了我们对地址重标号对称性的理解。如前所述,基本的量子隐藏层在时间上是线性运行的。这种固有的线性是量子演化的一个标志性特征,无论用态矢量的薛定谔方程描述,还是用场算符的海森堡方程描述,皆是如此。与此形成鲜明对比的是,经典动力学(如广义相对论中的动力学)通常具有高度非线性。经典世界中的这种非线性,恰恰来源于量子输出层在量子到经典转变过程中所执行的非线性平均操作。在这种转变中,线性的量子对易子映射为非线性的经典泊松括号,这表明量子化实际上是对底层编码的一种简化,而将复杂性推向了界面。
这种线性上的根本差异对地址重标号对称性具有深远影响。非线性的经典动力学满足非线性的地址重标号不变性,从而使得 Diff(M) 成为一种“虚拟现实”。这是经典广义相对论的一个定义性对称性。然而,如果我们试图将这种非线性的地址重标号不变性直接强加于本质上依赖于态矢量或算符线性演化的量子隐藏层,则唯一自洽的解是一个被“冻结”的、静态的量子系统。这是因为非线性地址重标号的轨道实际上覆盖了整个计算网格;如果要求态矢量在这些变换下保持不变,那么它就必须是恒定的,无法随时间演化。这种概念上的错配表明,要求量子动力学满足非线性地址重标号不变性,与其固有的线性本质是不相容的。如果态矢量希望随时间演化,它就不应直接描述时空几何。
因此,当我们从经典描述转向基本的量子领域时,必须降低地址重标号对称性的程度。量子演化的线性特性与线性地址重标号不变性完美匹配,即洛伦兹型不变性。但我们必须注意,我们的计算网格并不是一个真实的闵可夫斯基时空,因为几何度规(无论平坦与否)是我们计算基底的输出,而非定义性的输入。我们的量子隐藏层在计算基底的主时钟下,对线性地址重标号保持不变,并以线性方式演化。这种线性不变的量子演化,结合输出层通过量子统计力学实现的非线性平均操作,最终在经典极限下生成了非线性地址重标号不变性,从而形成一个具有 Diff(M) 不变性的虚拟现实。因此,Diff(M) 是在量子到经典转变过程中涌现出来的对称性,它源于一种更为基本的、具有线性不变性的量子实在。
4.5 量子时空:粗糙性与度规的失效
经典广义相对论将时空描述为一个具有明确几何结构的光滑流形,其内在具有微分同胚不变性(Diff(M))。然而,我们的框架认为,在基本的量子层面上,这种“光滑性”的概念完全失效。
我们将量子涨落视为宇宙信息处理基底中固有的“噪声”。如果在所呈现的虚拟现实中,时空本身受到这些量子涨落的影响,那么它在普朗克尺度上的结构将从根本上是“粗糙的”而非光滑的。这类似于一条经典的光滑轨迹受到布朗运动干扰:最终形成的路径处处不可微,任何一点都没有定义良好的速度。类似地,一个充满量子涨落的时空,无法形成一个光滑的流形。而依赖于光滑坐标变换的 Diff(M) 概念,在这样的量子领域中也就变得无法明确定义。
此外,传统上试图将时空度规 gμν 量子化,意味着它应对应一个具有明确定义本征值的量子算符。然而,如果时空在量子层面上本质上是粗糙且不断涨落的,那么为其赋予明确本征值在概念上就存在问题。这表明,以直接量子化一个光滑经典度规的方式来理解“量子几何”,是一个不确定的问题。光滑流形的数学框架以及在其上定义的算符,不足以描述这种根本性的量子粗糙性。
我们的方法通过如下主张避免了这一困境:光滑的、具有明确度规且满足 Diff(M) 不变性的时空几何,并非基本存在,而是一种仅在经典极限下通过宏观平均才涌现出来的性质——当量子涨落被平均掉之后才显现出来。这类似于只有在对布朗运动进行平均之后,才能定义出一个明确的漂移速度。
4.6 粒子的简洁性:标量共谋、最小 SU(2) 对称性与质量
与我们“量子化即简化”的观点一致,我们的框架也主张宇宙最基本的构成成分应尽可能简单。最基本的粒子集合是低自旋粒子:自旋为0、1/2和1的粒子。每种自旋类型在构建现实世界中都扮演着关键而独特的角色(例如,自旋-1/2 构成费米物质并实现泡利不相容原理,自旋-1 传递规范相互作用力)。我们所观察到的现象的丰富性与复杂性,并非源于这些基本粒子个体的复杂性,而是来自它们的组合方式和集体行为。我们明确排除了基本的高自旋粒子(自旋 > 1),因为它们在量子场论中具有固有的复杂性和一致性问题。
我们的方法可以理解为将“标量共谋”(scalar conspiracy)从经典领域扩展到量子领域。数值相对论表明,经典时空中的微分同胚不变性可以通过浮点数数组实现——这是一种“标量共谋”,即简单的数值通过集体行为共同产生广义相对论中复杂的几何行为。我们的框架在量子到经典的转变中实现了类似的标量共谋:非几何性的自旋-0 h粒子通过非线性平均操作,集体协作生成具有微分同胚不变性的经典时空。
这种标量共谋通过几种等价的方式来实现量子到经典转变:从量子对易子转变为经典泊松括号;通过非线性平均将线性量子演化转化为非线性经典动力学;或最方便地,从含有标量场变量的量子拉格朗日量过渡到含有几何变量的经典拉格朗日量。在每一种情况下,量子层面简单的标量自由度都通过集体行为“共谋”,产生出经典时空丰富的几何结构,从而坚持了我们的核心原则:复杂性源于简单性,而非本身即为基本属性。
我们的 h 粒子——作为引力信息载体的基本成分——被设计为最简单的自旋-0 粒子。为了确保其稳定性并使其能够获得质量,我们引入了最小的非阿贝尔规范对称性 SU(2)Grav。当这一对称性发生自发破缺时,最轻的 h 粒子组分将变得绝对稳定,从而成为一种可行的暗物质候选者。
h 粒子的质量是一个关键的设计选择,使其能够承担起为宇宙“搭建舞台”的角色。尽管 h 粒子本身只是简单的自旋-0 粒子,但它们承担着“重体力活”——塑造引力景观。正如银行需要自有资本才能运作,或举重运动员必须自身有足够体重才能举起重物,我们的 h 粒子也需要具有质量,才能履行其核心功能。这种质量通过与标准模型希格斯场的“希格斯通道”(Higgs portal)耦合自然获得,从而将其质量尺度与标准模型粒子的质量尺度内在地联系在一起。
4.7 标量有效场论与量子到经典的转变
标量有效场论(Scalar Effective Field Theory, EFT)为“标量共谋”提供了坚实的基础。我们的量子引力框架受到数值相对论的启发,主张在平坦的计算基底上对非几何性的标量场进行量子化。该框架认为,时空几何和微分同胚不变性是通过期望值体现的一种经典效应,借助量子统计力学实现从量子到经典的过渡。标量EFT利用标量场来描述低能动力学,其相互作用由高维算符抑制,从而保证了数学上的一致性和可预测性,标准模型中的希格斯机制就是一个典型例证[26]。其概念上的优势在于:能够从简单的线性量子动力学中产生复杂的经典现象(如几何结构),使其成为建模涌现效应的有力工具,而无需预设基本的几何约束。
标量EFT的技术内容包括具有规范对称性(如SU(2))的标量场,通过协变导数耦合,以及包含质量和相互作用项的势能函数,所有这些在四维时空中都保持可重整化。这种简洁性和计算上的可处理性,使得标量EFT能够通过集体效应产生有效的相互作用,这在暗物质和暗能量的宇宙学模型中已有体现[15]。在“标量共谋”框架中,基本场(包括将空间度规分量重新解释为具有SU(2)规范对称性的复标量场

)以线性方式演化,从而避免了在量子层面因微分同胚不变性而导致的动力学“冻结”问题——这一长期存在的难题被称为“时间问题”。这些场通过规范不变的项相互作用,其质量由类似希格斯机制的方式产生,与粒子物理的基本原理相呼应。
量子到经典的转变通过期望值实现,这正是标量EFT能够生成涌现几何的核心所在。标量场的量子涨落被视为非光滑的“噪声”,通过期望值运算被平滑化,最终形成一个经典的、具有微分同胚不变性的度规。诸如Hubbard-Stratonovich变换和热核展开等技术手段促进了这一过程,它们将局域的标量相互作用转化为有效的非局域项(如曲率),类似于经典ADM形式体系中的项。这种涌现的几何结构通过非线性的玻恩规则被呈现为一种“虚拟现实”,捕捉了标量场的集体行为,从而将时空表现为一种大尺度效应。通过利用标量EFT对期望值的关注来建模暗物质、暗能量等涌现现象,“标量共谋”为量子引力提供了一条前景广阔且极为简洁的路径,避免了传统方法中的诸多复杂性。
4.8 对称性提升:GR = 标量有效场论
我们的框架揭示了一种我们称之为“对称性提升”(Symmetry Boosting)的深刻现象:经典广义相对论(GR)中复杂的对称性,是从一个更简单、更基本的量子理论中涌现出来的。这一过程可以简洁地概括为 GR = 标量有效场论(Scalar EFT),强调广义相对论丰富的几何结构和对称性,实际上是源于一个更底层的标量量子有效场论。
在基本层面上,我们的量子理论定义在一个非几何的基底之上,并具有洛伦兹不变性。这种量子演化的线性特征,与其基本性质完美匹配。然而,经典广义相对论的特点是其高度非线性的动力学,以及其定义性的对称性——微分同胚不变性(Diff(M)),它涉及时空坐标的非线性变换。
从量子到经典的转变包含一个“期望值平滑化”操作。这一过程通过平均掉量子涨落(例如借助量子统计力学),将线性量子动力学转化为非线性经典动力学。正是这种非线性平均操作,成为“提升”对称性的关键。
通过量子统计力学,量子理论的基本洛伦兹不变性,结合 h 标量场的集体行为,在经典极限下生成了更高层次的 Diff(M) 不变性。因此,Diff(M) 是一种涌现对称性,它源自一个更基本的、具有洛伦兹不变性的量子实在。这表明,广义相对论复杂的几何对称性并非量子世界的基本属性,而是量子效应在经典极限下集体行为的表现。这种通过宏观平滑实现对称性提升的思想,为广义相对论从标量有效场论中涌现提供了合理且严谨的路径。
从技术上讲,非局域的空间曲率项 R(3)的出现并非假设,而是我们基本量子拉格朗日量中某一特定局域相互作用的直接结果。我们在 h 场的非几何复合能量-动量张量 Tμν上引入了一个四次自相互作用,即 (Tμν)2。正如附录中严格证明的那样,这种基于张量的相互作用是通过量子圈图效应产生涌现张量度规的唯一最简选择。这一机制在基本量子层面实现了广义相对论的核心原理:系统的非几何能量-动量内容(由 Tμν编码)产生时空的曲率。我们在附录中还证明,由于基本 SU(2) 规范部分的渐近自由特性,所涌现的引力在高能下受到抑制,从而避免发散。
4.9 展开式主项中的对称性增强与平滑性
前面描述的“对称性提升”现象——即复杂的微分同胚不变性从线性量子动力学中涌现——体现了一个所有有效理论共有的基本原理:系统展开式的主项(leading terms)相比其近似的完整表达式,表现出更强的对称性和更高的平滑性。
这一原理立即解释了广义相对论中最令人困惑的特征之一:爱因斯坦-希尔伯特作用量所表现出的惊人对称性。传统方法难以解释为何一个被认为是“基本”的理论会具有如此丰富的微分同胚不变性。而我们的框架表明,这种增强的对称性是不可避免的,而非神秘莫测。
当 h 场的信息处理动力学通过期望值操作经历从量子到经典的转变时,所得到的有效引力作用量自然地组织为以曲率为变量的系统性展开。爱因斯坦-希尔伯特项作为主阶贡献出现,正是因为它代表了在满足涌现微分同胚不变性的前提下,几何量所能构成的最对称、最平滑的组合。
这种模式在物理学中广泛存在:热力学定律表现出比其底层分子动力学更强的平滑性,而后者的离散涨落会破坏这种平滑;类似地,经典力学所表现出的平滑性,也是从不够平滑的量子场论动力学中涌现出来的。在每一种情况下,有效理论层面的增强平滑性,都反映了系统展开式中主阶项的数学结构。
因此,对称性提升机制通过“对称性增强”发挥作用:线性量子动力学自然地生成最受限的经典对称结构(微分同胚不变性),而后者又进一步选择出最对称的主导引力相互作用(爱因斯坦-希尔伯特项)。完整的复杂性存在于基本的信息处理基底之中,而经典极限则表现出所有构造良好的有效理论共有的系统性对称性增强特征。
这一视角将爱因斯坦方程从神秘而高度对称的“基本定律”,转变为任何能够通过计算性信息处理生成涌现时空几何的量子理论所必然表现出的、可预测的主阶行为。
5 引力信息处理的SU(2)规范理论
数值相对论的信息处理框架为构建引力的量子理论提供了自然的基础。我们通过引入SU(2)规范结构来扩展标量h场,这一做法借鉴了标准模型在处理弱相互作用时所取得成功的范式。
5.1 信息粒子的量子化:个体量子效应与集体经典协作
在已确立引力动力学源于一群非几何性信息粒子协同工作(类似于自然界中的“位置细胞”)的基础上,我们现在探讨如何在保持这种产生涌现时空几何的集体协作的同时,引入量子效应。
信息粒子的统计:在每一个计算地址上,我们有12个h场分量(6个来自 hij,6个来自 kij)。当我们赋予每个分量SU(2)规范结构时,每个分量现在对应两种由规范指标 A=1,2标记的信息粒子。由此得到:
消息粒子的邮政系统:为了在每个地址内部重命名粒子类型时(即进行SU(2)规范变换)仍能保持适当的协调,我们引入了3种“消息粒子”——即SU(2)规范玻色子,它们充当连接不同地址之间重命名粒子的“邮政系统”。这些消息粒子确保:当地址A处的“John”变为“Bob”,同时地址B处的“Mary”变为“Alice”时,这些被重命名的粒子仍然能够协调其引力信息处理活动。
完整的粒子清单:
在不破坏协作的前提下引入量子效应:消息粒子引入了真实的量子效应——虚粒子交换、量子圈图、场涨落等,而信息粒子则继续保持其在引力信息处理中的集体协作。单个信息粒子会经历量子不确定性与规范相互作用,但它们在群体层面上的协调模式仍然保持一致,并在经典极限下继续维持地址重标号不变性。
这实现了清晰的分离:量子力学通过消息粒子的动力学在个体粒子层面运作,而经典时空几何则从信息粒子群体的协作中涌现。即使单个粒子参与量子规范相互作用,生成涌现时空的地址重标号不变性仍由经典极限下的集体行为维持。
5.2 SU(2)规范用于自旋-0 h场


5.3 SU(2)引力理论的重整化能力
SU(2)引力理论的h场是可以通过确保标准模型SU(2)L规范理论重整化能力的完全相同机制来实现重整化的[22, 27]。数学结构是相同的:这两种理论都涉及SU(2)规范场与基本表示中的物质量耦合。


5.4 经典极限和规范固定

这种约化通过构造规范不变的组合而自然发生。物理上相关的经典h场被认定为诸如以下的规范不变量:


5.5 通过希格斯通道耦合生成质量
SU(2)Grav 规范玻色子和自旋为0的 h 场通过与标准模型希格斯场耦合而获得质量,其机制与电弱理论中 W 和 Z 玻色子的质量生成机制相同[27]。
我们引入 SU(2)Grav 部分与标准模型希格斯场 Φ 之间的通道耦合:

这种质量生成机制与标准模型中赋予W和Z玻色子质量的过程完全相同,确保了引力部分获得一个与电弱对称性破缺相联系的自然质量尺度。具有质量的h粒子(信息粒子)和规范玻色子(消息粒子)带来了新的物理现象,同时通过希格斯通道保持了与已有粒子物理的联系。
5.6来自非几何张量平方变形的突现度量

这一过程确保了微分同胚不变性在经典层面自然涌现,而无需在量子层面强行施加;同时,SU(2) 规范结构保证了理论在紫外(UV)区域的完备性。与仅含标量相互作用(会产生膨胀子模态)的情况不同,张量平方项唯一地激发了度规的产生,体现了“物质的能量-动量在量子层面激发几何结构”这一基本原理。
技术细节见附录。此外,附录中我们还证明,由于基本 SU(2) 规范部分的渐近自由特性,所涌现的引力在高能区受到抑制,从而使整个理论具有渐近安全性并实现紫外完备。
5.7 解决广义相对论中的“鸡与蛋”悖论
经典广义相对论,由爱因斯坦场方程所概括,呈现出一个深刻的观念悖论,可称之为“鸡与蛋”问题。这些方程:


5.8 理论一致性和统一性
SU(2)引力扩展实现了几个关键的理论目标:
紫外完备性:渐近自由确保在任意高能量下系统的微扰控制,提供了第一个四维紫外完备的量子引力理论。
经典恢复:通过规范固定和量子-经典对应关系,量子理论自动简化为经典广义相对论,验证了基础框架与经验成功的一致性。
质量尺度联系:希格斯门户耦合将引力物理直接与电弱对称性破缺联系起来,提供了自然的质量尺度,并将引力部门与标准模型物理统一起来。
规范理论的统一:SU(2)Grav 结构与标准模型的规范理论基础相似,暗示了通过将规范原理应用于信息处理,有可能实现所有基本相互作用的更深层次统一。
该框架表明,量子引力可以被表述为标准模型规范理论技术的直接推广,从而避免了对时空几何进行量子化所带来的概念困难,同时在适当的经典极限下精确地再现广义相对论。
6 来自h场信息处理的暗成分统一
引力信息处理的量子SU(2)Grav理论为宇宙学中的暗成分提供了完整的自然解释。负责编码引力信息的同一h场既充当暗物质,其真空能的演化又解释了暗能量。这种统一体现了深刻的理论简洁性:单一场通过其内在的信息处理作用,统一解释了引力、暗物质和暗能量。
6.1 h粒子作为天然的暗物质候选者
从量子SU(2)Grav理论中产生的有质量h粒子(信息粒子)具备暗物质所需的所有特性,无需引入额外假设或奇异物理。
引力耦合:h场本质上负责引力信息的处理,这确保了h粒子以精确正确的强度与引力相互作用。与传统暗物质候选者不同(后者需额外机制实现引力相互作用),h粒子直接参与引力动力学的构建。
电磁中性:h场不携带电磁电荷,仅通过引力效应和希格斯通道耦合与标准模型粒子相互作用。这保证了h粒子在电磁上不可见,同时保留了必要的引力相互作用[8]。
稳定性:由于规范对称性的守恒,最轻的SU(2)Grav多重态组分是绝对稳定的,从而自然地提供了暗物质候选者,无需人为设定对称性假设。

6.2 引力信息处理的反馈循环
该框架的一个显著特征是,在h粒子质量生成与引力信息处理之间,出现了一个自洽的反馈循环。一旦h粒子通过希格斯机制获得质量,它们就成为决定自身动力学的引力信息处理系统中的有质量组成部分。
这形成了一个深刻的反馈结构:
这一反馈循环在数学上是自洽的,因为h场的演化方程自动包含了有质量h粒子自身的应力-能量贡献。引力信息处理机制能够自然地适应其自身有质量组分的存在,从而构建出一个统一的描述:暗物质与引力动力学均源于同一基本的信息处理基底。
6.3 来自SU(2)真空能隔离的暗能量
宇宙学常数问题通过SU(2)Grav规范对称性的隔离特性,以及来自h场集体激发模式的动力学效应(即精质场,quintessence),得到了自然的解决。
6.3.1 SU(2)隔离机制
标准模型场无法直接参与引力动力学,因为它们不携带SU(2)Grav荷。这种规范对称性结构形成了一道天然屏障,将标准模型的真空能与引力效应隔离开来。
考虑标准模型真空能与引力动力学之间可能存在的直接耦合:


6.3.2 来自h场集体激发模式的动力学暗能量
除了隔离标准模型的真空能之外,我们的框架还通过一个动力学标量场——即h场的集体激发模式——自然地解释了剩余的暗能量贡献。这一思路在概念上与宇宙学中的精质场(quintessence)模型[19, 9]一致,即由标量场的势能驱动宇宙加速膨胀。
我们模型在此方向上的独特之处在于:精质场并非人为引入的额外成分,而是具体地作为我们基本h场的一个规范保护的、超轻质量的激发模式出现(例如,SU(2)grav三重态中的中性组分)。其势能完全由h场自身的量子效应产生,用于实现缓变滚动(slow-roll)动力学,并使状态方程趋近于−1,且不涉及标准模型场。这一机制确保了暗能量动力学不仅受到前述SU(2)grav直接隔离的保护,还完全避开了标准模型真空圈图的灾难性贡献。此外,这提供了一种统一的解释:暗能量成分自然地从同一组负责引力和暗物质的h场信息处理机制中涌现,从而形成一个具有一致性且可检验的暗成分理论。
6.4 实验信号与对撞机可探测性

6.5 等级问题的自然解决
h场框架为“引力为何远弱于其他基本相互作用”这一问题提供了自然的解释。该问题的解决源于一个关键认识:引力效应是涌现的,而非基本的。
基本力与涌现力的区别:其他相互作用源于基本粒子的直接交换,具有基本的耦合强度:

表观上的微弱性源于一个集体抑制因子 κ,它代表了 h 场信息密度与涌现时空几何之间的耦合强度。
自然参数尺度:所需的耦合强度 κ ∼ 0.025,与其他物理学中虽小但自然的参数相当,例如精细结构常数(α ∼ 0.007)和弱混合参数(sin θW ∼ 0.48)。这与标准模型的等级问题相比是一个巨大改进,将所需精细调节的程度从电弱尺度与普朗克尺度之比(MW/MPl ∼ 10⁻¹⁷)降低到约 0.025,改善了约16个数量级。
涌现性解释:当我们认识到引力并非需要独立耦合强度的基本力,而是信息处理的涌现结果时,等级问题便自然消解。引力的表观微弱性反映的是其效应的集体性质,而非基本参数之间的层级差异。耦合常数 κ 描述的是“信息到几何”映射的强度,而非基本相互作用的强度,因此它自然地不同于其他耦合常数,同时仍处于物理学中已知小参数的合理范围内。
6.6 理论的统一与简洁性
该框架通过单一的 h 场实现了理论上的统一,同时解释了以下多个方面:
其显著之处在于,这些解释并非对理论的独立附加,而是将引力信息处理视为基本物理时所必然产生的结果。同一个产生引力动力学的 h 场,自动提供了暗成分,并通过其内在结构解决了基本难题,而无需引入额外的理论机制。
这代表了最深层次意义上的真正统一:多种现象源自一个基本原理,而非通过多个独立机制分别解释。h 场框架表明,暗成分与引力并非宇宙中彼此分离的组成部分,而是同一基本信息处理实在的不同表现形式。
暗物质粒子隐于暗处,却主导着所有粒子(包括它们自身)的运动。
6.7 标准模型的“家族团聚”
尽管我们的框架在理解时空与引力方面代表了一种根本性的范式转变,但其技术方法却异常保守:我们只是通过与描述其他基本相互作用同样成功的规范理论原理,将引力纳入标准模型之中。我们并非抛弃已建立的物理学,而是将标准模型家族扩展,纳入此前缺失的引力“亲属”。
6.7.1 在涌现时空中纳入标准模型
我们的框架通过将标准模型(SM)的场及其相互作用直接构建在由 h 场经典极限所生成的涌现时空流形上,从而实现了与标准模型的整合。包含强、弱和电磁相互作用的标准模型拉格朗日量,因此借助广义协变性的标准原理,被适配到这一动力学生成的弯曲流形上。

6.7.2 扩展后的标准模型“家族肖像”
我们的框架引入了两个新的成员,补全了标准模型的规范理论结构:
自旋-0 h粒子:这些信息处理粒子与希格斯玻色子一起构成了自旋-0家族,将自旋-0场从孤立的例外转变为一个完整的多重态。h粒子作为引力信息处理器,而希格斯负责质量生成,这在标量领域内创造了一个自然的分工。
SU(2)引力规范玻色子:这三个规范玻色子扩展了标准模型的规范结构,通过额外的SU(2)引力因子补充了SU(3)C × SU(2)L × U(1)Y。这创造了一个美丽的对称规范群结构:SU(3)C × SU(2)L × SU(2)引力 × U(1)Y。
6.7.3 暗成分作为引力“亲属”
暗成分自然地作为标准模型家族树中的引力分支而出现。正如电弱 sector 通过 SU(2)L × U(1)Y 规范结构将电磁力与弱力统一起来,引力 sector 也通过 SU(2)Grav 的规范动力学运作,其中 h 粒子扮演物质的角色。
这种家族关系解释了观测到的宇宙能量密度分布:暗物质(h粒子)与可见物质(标准模型粒子)具有相当的能量密度,因为它们源自同一个基本的规范理论框架,并通过相同的希格斯机制获得质量。当我们认识到暗成分与可见成分是统一“家族”的两个分支时,二者能量尺度相近这一“谜题”便自然消解。
6.7.4 希格斯通道作为家族纽带
希格斯场通过通道耦合成为连接所有家族成员的核心纽带。该耦合确保在电弱对称性破缺时,电弱 sector(W/Z 玻色子、费米子质量)和引力 sector(h 粒子、SU(2)Grav 规范玻色子)同时获得质量。暗成分与可见成分共同变重,其能量尺度的相近性由此源于共享的质量生成机制,而非精细调节的巧合。
6.7.5 保守的技术实现
尽管在概念上从“几何引力”转向了“信息处理引力”是一次范式变革,我们的技术实现却采取了尽可能保守的方式:
成熟的规范理论:我们采用与描述弱相互作用完全相同的 SU(2) 规范理论框架,只是将其应用于引力信息处理。所有的重整化程序、BRST 量子化方法和圈图计算都与标准模型遵循完全相同的模式。
经过验证的质量生成机制:为 W/Z 玻色子和费米子赋予质量的希格斯机制,自然地推广到 h 粒子和 SU(2)Grav 规范玻色子。无需引入新的质量生成机制或超出标准模型的奇异物理。
标准的量子场论框架:整个理论建立在传统的量子场论原则之上。渐近自由、可重整性以及紫外完备性都源于与标准模型成功所依赖的相同数学结构。
经典对应关系:该量子理论通过标准的量子-经典对应关系退化为经典的数值相对论,从而确保与已被实验验证的计算方法完全一致。
6.7.6 补全而非取代
我们的方法是对已有物理的“补全”,而非“取代”。标准模型依然保持其原有的全部成功,但现在纳入了始终缺失的引力“家族成员”。我们并未引入超出标准模型的新奇物理——如超对称、额外维度或新的基本尺度——而是通过自然扩展已被证实的规范理论原理实现了统一。
这种保守的技术策略确保了我们关于信息处理和涌现时空的范式性见解,建立在尽可能坚实的理论基础之上:这一数学框架在过去五十多年中已成功描述了四种基本相互作用中的三种。我们所做的,只是邀请引力通过同样的规范理论原则,加入早已接纳了电磁、弱和强相互作用的“家族团聚”。
7 黑洞物理与信息守恒
信息处理范式自然地解决了理论物理学中最深奥的两个难题:黑洞奇点和信息悖论。这两个问题的根源在于,将涌现的时空几何视为基本实在,而未能认识到它只是计算基底动力学的一种数学诠释。
7.1 奇点作为计算极限
广义相对论预言,引力坍缩会产生时空奇点,在那里曲率发散,物理定律失效。然而,这些“无穷大”可能只是几何诠释的产物,而非真实的物理现象。
在我们的框架中,接近奇点对应于在特定计算地址上,h场的信息密度急剧增加。“奇点”的表观出现,是信息处理系统逼近其计算极限的结果——类似于计算机模拟中的数值溢出——而非真实物理无穷的体现。正如视频游戏引擎存在最大分辨率限制以防止真正的无穷大,计算基底也具有自然的截断机制。
SU(2)Grav 量子理论提供了进一步保护:量子不确定性阻止了信息在单个地址上的无限集中,从而将经典奇点替换为高度集中但有限的量子 h 场构型。这类似于量子力学如何阻止电子螺旋坠入原子核——量子不确定性提供了一种天然的正则化机制。
7.2 信息悖论的解决
黑洞信息悖论源于广义相对论所预言的信息毁灭与量子力学所要求的信息守恒之间的表面冲突。当黑洞通过霍金辐射蒸发时,落入其中的信息似乎永远丢失。
当我们区分计算基底(信息处理发生之处)与涌现时空(我们进行观测之处)时,这一悖论便迎刃而解。从几何视角看似“信息丢失”的现象,实际上是在计算基底层面 h 场信息的重新分布,总信息量得以完整保留。
在基本层面上,h 场信息从不被摧毁——它通过三阶段的信息处理循环持续演化。黑洞的形成代表信息在特定计算地址上的集中,而霍金辐射则对应信息逐渐向邻近地址的重新分布。佩奇曲线(Page curve)自然出现:信息在黑洞形成过程中累积,达到最大集中度,随后通过量子 h 场动力学逐步重新分布,直至信息完全恢复。
三个关键机制确保信息守恒:
量子隧穿:h 场构型可在不同计算地址之间隧穿,使得信息即使在涌现几何看似无法逃逸的情况下也能“逃出”集中区域。
基底层面的纠缠:不同地址的 h 场保持量子纠缠,维持着相关性,即使在几何上看似分离。这自然解释了 ER=EPR 猜想——虫洞是计算基底中量子纠缠的几何诠释。
无基本视界:“黑洞内部”和“外部”只是涌现的几何概念。在计算基底层面,不存在不连续的边界——只有 h 场在不同地址间的平滑演化。“火墙”只是坐标相关的假象,当聚焦于基本的信息处理动力学时便会消失。
7.3 实验预测
该框架提出了可检验的预测,使其区别于其他理论:
该解决方案保持了量子力学的幺正性,实现了真正的背景无关性,并提供了自然的紫外截断,同时做出具体的实验预测。黑洞成为 h 场信息集中的自然结果,而非物理定律的失效。这表明,理论物理学中最深奥的难题,可能反映的是涌现几何描述的局限性,而非基本物理的真正悖论。
8 h场的数值计算与黑洞宇宙学
我们的量子SU(2)Grav h场理论为从基本信息处理角度理解引力提供了框架。为了研究其非微扰动力学,特别是在极端条件下的行为,我们可以借助受格点量子场论和现代人工智能启发的先进数值技术。
8.1 h场的数值计算
我们可以通过费曼路径积分来表述h场的量子动力学。通过对时间进行维克转动(Wick rotation)进入欧几里得时间,该路径积分转化为一个四维的吉布斯(Gibbs)或玻尔兹曼分布,其中配分函数Z包含了离散化时空格点上所有可能的h场构型。这种方法类似于格点量子色动力学(Lattice QCD),可用于非微扰计算。
为了在这一四维格点上对h场构型的复杂概率分布进行采样,我们可以采用前沿的生成式人工智能模型,例如用于视频生成的扩散模型(diffusion models)和流匹配方法(flow matching)。这些方法本质上是将一段高斯噪声视频映射到四维吉布斯分布,擅长从复杂、高维的概率分布中学习并生成数据,为传统蒙特卡洛方法提供了强大的替代方案。这种由人工智能驱动的模拟策略,使我们能够在解析或微扰方法无法处理的区域探索该理论的动力学行为。
8.2 在黑洞物理与宇宙学中的应用
这一数值框架为模拟基本的量子引力现象,尤其是在极端环境下的现象,开辟了直接路径:
将基础物理与先进的数值方法及人工智能技术相结合,为我们直接模拟和理解引力与时空的量子本质提供了强大而可行的途径。
9 结论
我们提出了一种对引力物理的根本性重新诠释:将信息处理视为物理实在的基础层次,而非对几何时空的近似描述。这一范式转变源于如下认识:数值相对论之所以取得巨大成功,是因为引力动力学本质上就是一种计算性的信息处理过程,而时空几何则是由“地址重标号不变性”要求所生成的一种“虚拟现实”。
这一框架的核心原理是地址重标号不变性:物理定律必须不依赖于计算内存位置的标签方式。这一看似简单的条件,自动产生了广义相对论的微分同胚对称性,同时为量子场论提供了自然的基础。当按照标准模型的范式,将具有SU(2)规范结构的计算性h场进行量子化时,所得理论展现出渐近自由和紫外完备性——这是首个在四维时空中系统性实现紫外完备的量子引力方法。
这一框架所体现的理论简洁性不可低估。一个单一的量子h场,其基本作用是处理引力信息,却自动解释了宇宙学中整个暗成分。有质量的h粒子作为暗物质,具备所有所需性质;而通过宇宙相变过程中的真空能演化,自然地生成了观测到的暗能量尺度,无需精细调节。引力表观上的微弱性,源于其集体性、信息处理的本质,而非需要奇异解释的基本层级问题。
或许最重要的是,该方法通过认识到我们所理解的“时空几何”——恕我直言——实际上是一种源于量子统计力学和计算性信息处理中地址重标号不变模式的涌现性幻象,从而解决了基础物理学中长期存在的概念难题。因此,广义相对论的成功反映的是这种几何诠释的数学优雅性,而非表明时空本身就是基本的物理实在。
这一重新诠释暗示,物理学最深层的基础可能是计算性而非几何性。在地址重标号不变性约束下的信息处理原理,生成了作为涌现现象的动态时空。该框架在自然统一引力与量子场论的同时,提供了在可及能量尺度上可检验的预测,首次使量子引力效应的实验验证成为可能。
其意义远不止解决理论物理中的具体问题。如果信息处理代表了物理实在的最基本层次,那么科学中计算方法的成功,可能正反映了宇宙本身深层的真实性质。我们所感知的物理定律,或许是来自一个计算基底的涌现模式,所有观测到的物理现象,都是地址重标号不变的信息处理过程,而其几何诠释则创造了时空的幻象。
本工作确立了信息处理作为基础物理学的新基石:我们所熟悉的时空与物质概念,只是更基本的计算实在的数学诠释。该框架表明,只要我们将“计算”视为基本而非近似,就能通过一个简单原则——物理实在在本质上就是信息处理的计算过程——实现理论统一,并解决理论物理学中最深刻的谜题。
原文链接:https://www.researchgate.net/publication/393648226_Information_Processing_by_Scalar_Fields_of_Numerical_Relativity_A_Spin_0_and_SU2_Gauge_Theory_of_Quantum_Gravity