Critical dynamics predicts cognitive performance and provides a common framework for heterogeneous mechanisms impacting cognition
临界动力学预测认知表现,并为影响认知的异质机制提供通用框架
https://www.pnas.org/doi/epdf/10.1073/pnas.2417117122
本文聚焦于临界动力学(critical dynamics)如何预测认知表现,并为影响认知的异质机制提供一个共同框架。研究通过分析神经网络模型和实际数据,探讨了抗癫痫药(ASMs)、慢波睡眠(SWS)和间期性癫痫放电(IEDs)等因素如何通过临界动力学影响认知功能。关键点包括:利用自相关函数提取时间相关性(TCs)作为衡量指标,结合谱功率和统计分析评估认知与神经活动的关系,并通过简约神经网络模型验证这些机制,强调临界参数𝜆在表征连接性中的作用。


大脑临界性假说提出,大脑动力学处于一个信息处理最优化的相变点。信号内部信息耗散所表现出的长程时间相关性(TCs)已被证明是大脑临界性的标志。然而,由于记录时长以及空间和时间分辨率的限制,认知表现、临界性之间的实验关联一直难以确立,因此 TCs 与认知功能之间的直接联系仍未明确。在本研究中,我们结合了对104名癫痫患者(PwE)进行的多日侵入式脑电图(EEG)记录,以及一套广泛的认知测试电池。我们发现,短时间相关性(TCs)可以预测认知障碍。此外,我们还表明,异质性因素——包括发作间期癫痫样放电(IEDs)、抗癫痫药物(ASMs)以及伴有慢波活动(SWSs)的间歇性时期——都会直接干扰临界动力学,从而影响认知功能。我们的研究结果表明,临界动力学是衡量网络功能最优状态的基准点,为理解在癫痫等疾病中影响认知的多种异质机制提供了统一框架。
关键词:网络动力学 | 癫痫 | 认知
认知功能是皮层网络结构与动力学的一种涌现属性,在神经精神疾病中常因多种机制而受损(1–3)。在癫痫患者(PwE)中,认知障碍是一种常见共病,严重影响日常功能和生活质量(4)。PwE 患者在认知功能方面表现出显著的异质性,高达70%的个体存在认知损害,主要涉及语言、记忆和执行功能领域(5)。癫痫导致认知功能障碍的原因是多因素的,既包括疾病的潜在病因(如海马硬化),也包括动态因素,例如抗癫痫药物(ASMs)的作用、发作间期和发作期活动,以及睡眠模式紊乱(6,7)。其中一些因素,如发作间期棘波,也被证实会在阿尔茨海默病等其他疾病中导致认知功能障碍(8–10)。尽管这些因素与认知功能之间已有明确关联,但支持认知功能的神经机制以及不同认知领域的差异性损害仍大多未被理解。
完整认知功能的核心在于大脑在空间和时间维度上处理并整合信息的能力(11–14)。物理学和信息理论为描述信息处理的最优状态提供了一个框架。这种临界状态位于混沌与静息神经活动之间的相变点,其特征是神经网络中兴奋与抑制之间达到平衡(15–17)。当神经网络运行在接近临界相变点的状态时,一系列信息处理功能——包括信息传递、整合、存储、动态范围以及对外部输入的敏感性——将同时得到最优化(18–23)。
皮层网络中临界性的相关性得到了动物和人类实验观察的支持,这些观察显示了幂律标度(24,25)和长程时间相关性(TCs)(21,26),这些正是临界网络动力学的标志性特征。近期研究表明,当网络偏离临界点时——无论是由外部因素(如 ASMs)(27,28)还是内在因素(如持续清醒或睡眠剥夺)(27,29–32)引起——这些特征都会可预测地发生扰动,这进一步支持了临界动力学在皮层网络中的重要性。
虽然临界性为连接网络结构与动力学提供了精确的框架,但其核心主张——即临界动力学能够预测人类最优网络功能,进而预测认知功能——仍然是当前研究的热点领域。以往使用非侵入式记录手段的研究已显示出临界动力学与特定认知过程之间的关联,包括运动学习、注意力和执行功能。临界动力学也被提议作为 ADHD 和阿尔茨海默病等疾病中认知变化的潜在生物标志物(33–41)。然而,关于临界动力学如何与更广泛的认知功能相关联,以及不同机制如何通过扰动临界动力学来影响认知,仍存在关键问题(40,42,43)。
基于上述基础,我们利用两个大规模的颅内脑电图(iEEG)数据集,并结合跨多个认知领域的全面认知测试,证明了接近临界点的程度能够稳健地预测癫痫患者的认知障碍特征。我们发现,异质性因素——包括发作间期癫痫样放电(IEDs)、抗癫痫药物(ASMs)以及伴有慢波活动(SWSs)的间歇性时期——均会直接干扰临界动力学,从而影响认知功能。我们的研究结果表明,临界动力学是衡量网络功能最优状态的“设定点”,为理解在癫痫等疾病中影响认知的多种异质机制提供了一个统一框架。
意义
认知功能来源于皮层网络动力学,并且在癫痫等神经精神疾病中常常受损。物理学和信息理论表明,大脑网络在有序与无序之间的临界状态下运行最为优化。通过使用对癫痫患者(PwE)进行的全面认知测试以及多日颅内脑电图(EEG)记录,我们证明了接近临界动力学的程度能够预测多个认知领域的表现。我们发现,已知会影响认知的异质性因素——包括发作间期癫痫样活动、抗癫痫药物(ASMs)以及类似睡眠的发作事件——均作用于一个共同的终点:干扰临界状态。综上所述,这些发现支持了“临界性”作为一种统一框架的观点,该框架将皮层动力学与功能联系起来,并有助于理解不同机制如何在神经系统疾病中影响认知。
我们对接受术前评估的药物难治性局灶性癫痫患者(PwE)进行了回顾性分析,评估手段为颅内视频脑电图监测(见表1)。监测期间,患者需卧床住院,在此限制下进行日常活动,包括休息、睡眠、进餐等。我们纳入了两个独立队列。第一个数据集由81名PwE组成(35名女性,平均年龄32.3 ± 10.7岁),评估于柏林-勃兰登堡癫痫中心(数据集1)。第二个数据集包含23名PwE(12名女性,平均年龄28.5 ± 13.2岁),来自弗莱堡大学癫痫中心,数据通过Epilepsiae数据库获取(数据集2)(44)。

所有81名数据集1中的受试者均接受了认知测试。具体而言,在常规神经心理学评估期间,共进行了14项测试,对应四个认知领域,测试平均在颅内脑电图(iEEG)监测前6.8 ± 4.1个月完成。评估的认知领域包括:语言、注意力、工作/短时记忆、以及言语学习与记忆。测试分布及其他细节见SI附录,补充材料7。认知领域损害被定义为:该领域内至少两个参数得分低于常模人群平均值一个标准差以上。
ASMs剂量按其“定义日剂量”进行标准化,并按每日总和计算。对于在临床视频脑电图监测期间接受ASM减量的每位患者,我们识别出ASM日剂量总和最高和最低的日期(高ASM日与低ASM日)。由于急救药物(咪达唑仑、地西泮或劳拉西泮)具有强烈的神经生理效应,相关日期被排除。未接受药物减量的受试者不纳入与ASM效应相关的分析。
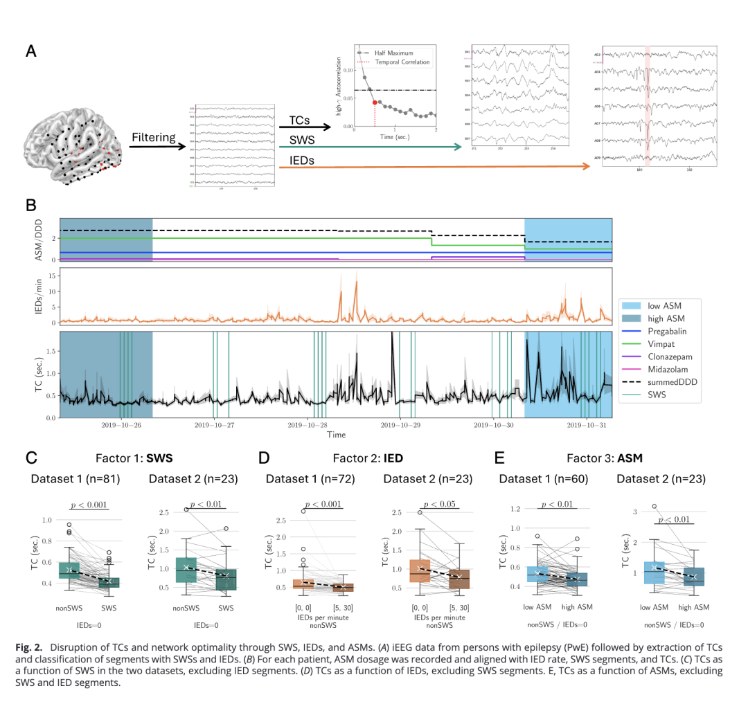
在数据集1中,iEEG数据为多日监测期间每小时前5分钟的数据;在数据集2中,则包含连续两天的完整iEEG数据。iEEG预处理步骤如下:使用陷波滤波去除50 Hz和100 Hz的工频噪声;通过抗混叠滤波器将信号降采样至统一频率256 Hz(原始采样频率范围为256至2048 Hz),然后对信号进行抽取;使用带通滤波(0.1至128 Hz)去除缓慢漂移和高频伪迹;剔除信号恒定或存在异常频谱峰(>记录期间跨通道四分位距6倍)的通道;最后,通过目视检查确认预处理效果,并剔除其他明显伪迹通道。癫痫发作片段及其发作前后各10分钟的时段(根据临床专家标记的起止时间)均被排除。
TCs已被证明可用于表征信息处理,其最大化是临界性的标志(29, 45, 46)。此处TCs计算方法如先前所述(27, 29)。具体而言,评估高频γ功率波动,因其最能反映局部放电率变化(47–49)。因此,使用Welch方法(Hann窗)在非重叠的125 ms时间窗内计算中位高频γ功率(56至96 Hz),提供125 ms时间分辨率和8 Hz频率分辨率。随后,对功率值取以10为底的对数进行标准化。接着,在每个iEEG通道上,对高频γ功率时间序列在连续120秒窗口(90秒重叠)内计算自相关函数。TCs用于量化自相关函数衰减,定义为自相关函数首次降至“第一滞后值与基线值之差的一半”以下所对应的时间点(基线值取40至60秒自相关的中位数)。因此,滞后值跨度近3个数量级,即0.125至60秒。滞后0时刻的自相关函数值被排除,因其恒为1,独立于固有噪声和数据质量水平,若包含可能掩盖真实自相关函数衰减速率。因此,TCs的最小值为125 ms。为确保TCs稳健性,首先对多个120秒窗口的自相关函数进行聚合(取中位数)。在评估全局状态时(例如比较高/低ASM日),我们对样本数较少组的时间点数量进行重采样匹配。重采样重复100次,结果取平均值。时间重排后的高频γ功率序列作为替代对照,保留功率分布但破坏时间关系。
我们在整个清醒-睡眠连续谱中对慢波活动(慢波睡眠,SWS)时段进行分类。SWS在30秒窗口内评分,使用经验证的算法(50)。首先,计算警觉性指数,定义为功率的比值:

其次,SWS(慢波睡眠)被定义为每天单独计算的均值加一个标准差(50)。为了使这些30秒片段与基于120秒片段的TC(时间相关性)分析对齐,我们选择将一个120秒窗口标记为“SWS”,如果其中至少有一个30秒片段被识别为SWS。否则,该120秒片段被标记为“nonSWS”。
IEDs检测 IEDs(阵发性癫痫放电)使用先前描述和验证的自动化深度学习方法进行识别(51)。简而言之,模板匹配滤波器识别每个通道内的潜在IEDs活动。然后,为了降低维度,原始EEG信号被转换为谱图,并由预训练的深度神经网络将片段分类为IEDs。为了分析IEDs对TCs的影响,我们比较了无IEDs和每分钟有5-30个IEDs的片段和通道中的TCs。少于50个片段的通道在两个类别中都被排除,以确保自相关函数的充分采样。
谱功率计算 谱功率作为评估TCs与认知障碍关系时的控制措施。我们使用Welch方法(Hann窗)计算每个120秒片段在以下频段的中位功率:δ(0.5-4 Hz)、θ(4-8 Hz)、α(8-12 Hz)、β(12-30 Hz)、γ(30-45 Hz)和高γ(55-95 Hz)。
统计分析 对于比较同一患者不同状态(ASM、SWS和IEDs区间)的分析,我们使用配对Wilcoxon检验。 为了比较患者之间的认知相关显著性,我们应用Brunner–Munzel检验,因为TCs的分布是非正态且异方差的。我们使用Benjamini–Hochberg方法进行多重比较校正,校正α = 0.05。效应大小以非参数相对效应报告。最后,使用Kolmogorov–Smirnov检验比较P值分布与均匀分布的差异,后者在零假设下是预期的。
神经网络建模 我们在简约的神经网络模型中研究TCs,该模型可通过一个参数调整到临界点的距离,并内置了模拟ASM效应、SWS和IEDs的机制,类似于(27–29)的模型。该模型由N = 1024个神经元组成,位于具有周期性边界条件的二维等距网格上。神经元之间通过随机均匀强度进行全连接,并由依赖距离的高斯分布进行缩放:

神经元i和j之间的欧几里得距离为rij,𝜎是轮廓的缩放宽度,设定为𝜎 = 4,如文献(52, 53)所述。我们省略了自连接,并随机将20%的神经元设为抑制性,80%设为兴奋性,从而生成权重矩阵w。权重的强度通过一个常数因子进行缩放,相应地改变权重矩阵的最大绝对特征值𝜆(见附录,补充材料1)。因此,我们将𝜆报告为表征连接性的控制参数。
在时间t,神经元i可以处于活跃状态si(t) = 1或非活跃状态si(t) = 0。在t + 1时刻,神经元将以一定概率变为活跃状态:

此外,一个神经元在每个最大时间步长

时间步长时被设置为活跃,作为背景活动。
根据先前工作,ASM(抗癫痫药)的效应通过减少传出兴奋性连接强度因子

建模,这是由离子通道阻断剂的机制驱动的(28)。深慢波睡眠(SWS)通过在随机时间引入关闭期建模,在这些关闭期中所有神经元保持静止,概率为

(29)。为了模拟IEDs(间期性癫痫放电),我们通过将一个随机神经元及其局部邻居(所有神经元的20%)设置为活跃,概率为 p_IED。模型模拟重复1,000次。TCs(时间相关性)从500个时间步长后的平均神经元放电的自相关函数中提取,以考虑初始瞬态。
伦理声明:本研究由柏林Charité-Universitätsmedizin的机构审查委员会批准。由于研究的回顾性性质,患者知情同意被豁免。使用来自Epilepsiae数据库的患者数据由弗赖堡大学的机构审查委员会批准,并且所有患者均签署了知情同意书,同意其临床数据可能用于研究和发布目的(44)。
我们首先证明,已知影响认知的异质性机制——抗癫痫药物(ASMs)、发作间期癫痫样放电(IEDs)以及间歇性的慢波睡眠(SWS)时期——均作用于同一个共同目标:干扰最优的临界网络状态。其次,我们表明,接近这一临界网络状态的程度是预测认知表现最强的指标,因此提示其可作为监测认知功能的设定点。
我们首先分析了一个基于分支过程的简约神经元网络模型,该模型具有一个明确的相变点,其最大绝对特征值为 λ ≈ 1(17, 27, 54)。λ 表征了神经活动在时间上如何在网络中传播,并可能受到兴奋-抑制平衡、神经元兴奋性以及神经元之间连接密度等因素的影响(15)。当 λ ≪ 1 时,网络处于亚临界状态,即神经元活动停止,时间相关性(TCs)较短(图1D)。当 λ ≫ 1 时,系统处于超临界状态,即活动爆发,TCs仍然较短。在 λ ≈ 1 时,系统处于临界状态,此时 TCs 的持续时间达到最大(图1D)。图1E 展示了 λ ∈ {0.9, 1.0, 1.1} 时的自相关函数,结果显示在 λ = 1 时,自相关函数在双对数坐标下几乎呈线性衰减,即遵循幂律,表明 λ = 1 比 λ = 0.9 或 λ = 1.1 更接近临界性。由于背景噪声的引入和模型有限尺寸的影响,无法期望得到完美的幂律关系。去趋势波动分析(detrended fluctuation analysis)也常用于估计时间序列中的 TCs。因此,在我们的模型中,来自去趋势波动分析的 TCs 和 Hurst 指数与临界点高度相关,并在临界点处达到峰值(SI附录,图S3 A和B)。由于模型尺寸有限且积分时间有限,相变并不尖锐,即对于所有 λ > 1,活动不会完全饱和(55)。接下来,我们研究了 SWS、IEDs 和 ASMs 对 TCs 的影响。

首先,我们按照文献29的方法模拟了 SWS(图1B)。对于模型的三种动力学状态,即亚临界、临界和超临界状态,当 POff 较大时,TCs 均下降(图1F)。仅在超临界状态中,当 POff 较小时,可以观察到 TCs 的增加,这实际上是向饱和动力学过渡的有效瞬态过程。我们发现,当系统初始状态接近临界区(λ = 1)时,TCs 的下降最为显著。
其次,我们引入了 IEDs(图1B)。在所有模型状态中,增加 PIED 都会导致 TCs 缩短,其中在临界状态下的效应最强(图1G)。
第三,我们模拟了 ASMs 的影响(图1H)。在亚临界和临界状态中,随着兴奋性频率 fexc 下降,我们观察到 TCs 减少。在超临界状态(λ = 1.1)下,轻微降低兴奋性会导致 TCs 延长,而更大的兴奋性降低则导致 TCs 下降。
与以往研究一致,模型结果表明,最优信息处理应出现在临界点附近,即 TCs 最大化的区域。相反,SWS、IEDs 和 ASMs 均使系统动态偏离临界性,从而减少 TCs,这可能成为认知障碍的潜在标志。
来自104名癫痫患者(PwE)的颅内脑电图(iEEG)数据中,时间相关性(TCs)范围在0.125至5秒之间,与Hurst指数显著相关(SI附录,图S3 C和D),并随慢波睡眠(SWS)、发作间期癫痫样放电(IEDs)以及抗癫痫药物(ASM)负荷的变化而改变(图2A和B)。在这三个因素中,仅SWS和IEDs表现出显著的成对相关性(两个数据集:P < 0.001,Wilcoxon符号秩检验)。

SWS时段占数据集1中所有片段的(18 ± 7)%,占数据集2中所有片段的(19 ± 6)%。在SWS期间,TCs显著短于非SWS时段(数据集1:TC_nonSWS = (0.53 ± 0.13) 秒 vs TC_SWS = (0.45 ± 0.08) 秒,P < 0.001;数据集2:TC_nonSWS = (1.0 ± 0.5) 秒 vs TC_SWS = (0.8 ± 0.5) 秒,P < 0.01;图2C)。由于SWS与IEDs存在相关性,含IEDs的片段被排除在分析之外。
IEDs分析显示,数据集1中平均为(2.6 ± 2.4) IEDs/(通道·分钟),数据集2中为(3.1 ± 1.7) IEDs/(通道·分钟)。无IEDs时TCs更长(数据集1:TC_noIED = (0.6 ± 0.4) 秒 vs TC_[5,30]IEDs = (0.5 ± 0.2) 秒,P < 0.001;数据集2:TC_noIED = (1.0 ± 0.5) 秒 vs TC_[5,30]IEDs = (0.8 ± 0.3) 秒,P < 0.05;图2D)。由于SWS与IEDs之间的相关性,SWS片段也被排除在分析之外。
对于ASM效应,我们分析了接受药物减量的患者(数据集1:N = 60,减少30%;数据集2:N = 23,减少30%)。随着ASM负荷增加,TCs变短(数据集1:TC_lowASM = (0.53 ± 0.12) 秒 vs TC_highASM = (0.48 ± 0.11) 秒,P < 0.01;数据集2:TC_lowASM = (1.2 ± 0.7) 秒 vs TC_highASM = (0.9 ± 0.4) 秒,P < 0.01;图2E)。本分析中,我们排除了SWS和IEDs作为潜在混杂因素。
这些效应在替代性TCs(surrogate TCs)中未观察到。此外,无论是原始高频γ功率还是从高频γ振荡成分估计的信噪比,均无法解释TC的变化(SI附录,图S2和S6)。虽然其他常用指标(如Hurst指数和α频段TCs)也显示出类似的ASM相关趋势,但总体上不如高频γ-TCs稳健(SI附录,图S3和S4分别对应)。
我们接下来分别考察了癫痫起始区(SOZ)和非SOZ电极中的网络状态及上述三种因素的影响(图3)。我们发现,无论是在SOZ还是非SOZ区域,SWS(图3A和B)、IEDs(图3C和D)和ASMs(图3E和F)均导致TCs缩短,表明这些因素引发了广泛性的网络效应。特别是,IEDs的影响表现为随着IEDs增多,TCs呈下降趋势(SI附录,图S5)。通过线性混合效应模型校正IEDs影响后,进一步分析无IEDs情况下的TCs,发现SOZ区域的TCs更长(仅在数据集1中具有显著系数,SI附录,图S5A)。

在模型和实际数据中,IEDs、ASMs和SWS均缩短了TCs。这表明临界动力学是实现最优网络功能的共同设定点。因此,我们最终评估了“距离临界性”的程度是否能预测在所有异质性因素下认知表现。我们发现TCs与认知损害之间存在显著关系,102个子比较中有20个达到显著性(P < 0.05,Brunner–Munzel检验;图4A),其中11个在多重比较校正后仍保持显著性(Benjamini–Hochberg方法,α = 0.05)。TCs是唯一与注意力、语言和工作记忆损害相关的测量指标;其他EEG特征在多重比较校正后均无显著性(图4A)。重要的是,IEDs、ASM负荷或SWS(除一个值外,因非局灶性测量仅可进行12次比较)均未表现出对认知具有显著预测价值(图4A)。此外,该PwE队列中通过MRI检测到的病灶存在与否,与任何认知领域均无相关性(P > 0.05)。与这些观察一致,对所有特征的P值分布进行更广泛的分析显示,只有TCs的P值分布显著偏离了零假设下预期的均匀分布(P < 0.01,单侧Kolmogorov–Smirnov检验;图4B)。相关性在记录的第一天最强,此时尚未出现可能产生混淆的临床因素,包括累积的发作负荷(监测期内平均12.0 ± 16.2次发作)、变化的监测持续时间(10.9 ± 4.8天)以及药物调整(SI附录,图S8)。

我们提供了证据表明,时间相关性(TCs)——临界动力学的一个标志——能够预测多个认知领域中的认知表现特征。我们表明,已知会损害认知的因素,包括发作间期癫痫样放电(IEDs)、抗癫痫药物(ASMs)和慢波睡眠(SWS),均直接作用于扰动临界动力学,从而影响认知。我们的工作提示,临界动力学是决定网络功能最优状态的“设定点”,从而为癫痫等疾病中影响认知的异质性机制提供了一个统一框架(图5)。

皮层网络长期以来被假设运行在临界状态附近,此时网络可通过平衡高效的信息处理、记忆与灵活性而获得功能优化。尽管先前研究已建立了临界动力学与特定认知功能之间的联系,但这些研究受限于非侵入式记录方法的约束(33–35, 37–39, 42, 43, 56–59)。这些约束包括:脑电图(EEG)记录时长较短,可能不足以充分捕捉皮层网络状态的变异性;空间脑覆盖较粗糙;以及伪迹和信号滤波的影响。重要的是,高频γ功率活动——最接近神经元群体放电的代理指标(47, 48)——通常被头皮在表面EEG中滤除,在如fMRI BOLD信号等缓慢波动的信号中分辨率更低。此外,许多研究聚焦于单一认知任务,而非对认知特征的全面评估。我们通过分析具有高空间分辨率和长记录时长的颅内脑电图(iEEG)数据,解决了这些局限性,使我们能够捕捉高频γ功率波动,其最能反映局部放电率变化(47–49, 60, 61)。因此,我们可以评估源自高频γ信号的TCs,其反映信息耗散,指示临界状态(49, 58–61)。
基于临界性理论和计算模型结果,我们的假设是:TCs的破坏是认知障碍的标志。我们的实证结果表明,认知障碍患者的TCs显著缩短,在EEG记录完整第一天观察到语言和注意力领域的关系最强。第一天效应最强,可能反映了最小程度的住院相关干扰因素——这些因素可能改变患者相对于认知测试时的基线状态,包括药物调整(影响82%的患者)、累积的发作负荷,以及监测持续时间的变异性(SI附录,图S8)。尽管如此,在记录最后一天和最低ASM剂量日也观察到显著结果。
值得注意的是,我们采用了多种方法验证结果的稳健性。对频段功率(包括用于推导TCs的高频γ功率)的分析显示,其与认知结果无显著关联,表明我们的结果不能由伪迹或一般信号特性解释。IED发生率同样未显示与认知表现的相关性,表明结果并非单纯反映疾病严重程度。与零分布的统计比较、多重检验校正、以及对SWS和ASM剂量的控制,进一步验证了我们的发现。
我们的结果还通过考察三种与认知相关的因素——SWS、IED活动和ASM负荷——如何破坏TCs和临界动力学,揭示了癫痫等疾病中认知障碍的潜在机制。
关于SWS,我们的模型预测的TC破坏在两个独立数据集中均得到验证。这与理论一致,即在睡眠和类睡眠期间,大脑跨皮层区域和时间有效整合信息的能力降低(62),而长时间清醒会导致间歇性的局部睡眠活动,损害认知并破坏最优临界状态(29, 30, 63)。在癫痫患者(PwE)中,这一点尤其相关,因为癫痫会扰乱睡眠,影响睡眠结构、架构、连续性和振荡(64)。
在我们的模型中,IEDs被模拟为局部神经元群体的概率性激活。模型预测IEDs会破坏TCs,这一点在我们的两个数据集中均得到证实,并且IED频率与TC减少之间存在剂量依赖关系。这一发现提示,疾病活动增加直接关联于偏离临界状态,可能为先前报道的“短暂性认知障碍”现象提供机制视角——该现象描述了因并发癫痫活动导致的认知表现受损(65, 66)。它也可能有助于阐明神经退行性疾病(如阿尔茨海默病)中与IED活动相关的认知障碍所潜在的神经机制(9)。尽管我们证明了随着IEDs增加会偏离临界性,但我们无法直接得出这种偏离是朝向亚临界还是超临界动力学。一项先前研究提示,IEDs本身是超临界动力学的表现(67),但要解决这一开放性问题仍需进一步工作。
在我们的模型和实证数据中,ASM效应均显示:ASM剂量增加会缩短TCs,这扩展了先前研究的发现(27, 28)。ASM治疗被公认对PwE的认知功能具有剂量依赖性的不利影响(68)。一种假设是,ASMs通过降低神经元兴奋性(69, 70),可导致神经元间有效连接性下降,从而向亚临界动力学过渡,继而导致认知损害(71)。在本研究中,ASM剂量本身与认知无关联,可能是因为所有患者均为高度药物难治性。
各因素效应的发现在癫痫起始区(SOZ)与非癫痫起始区组织中均保持一致,提示我们的发现可能不仅限于癫痫特异性效应。在数据集1中,我们发现随着IEDs增加,SOZ区域的TCs下降幅度强于非SOZ区域。此外,在校正IEDs影响后,SOZ区域的TCs略大于非SOZ区域。这一发现可能支持如下假设:SOZ更接近临界状态,因此更容易漂移至超临界状态——这一现象亦与癫痫发作起始相关(72, 73)。需注意的是,在数据集2中,我们未能复现这一发现,可能由于样本量较小,与先前一项研究情况类似(74)。
本研究存在若干局限性。第一,数据集1仅包含每小时前5分钟的记录,而非连续监测。然而,PwE的监测时长总体较长,且样本量超过100名患者,规模较大。第二,对于IED和SWS片段的检测,我们依赖经验证的算法,而非人工标注。此外,由于PwE未配备肌电图(EMG)或头皮脑电图(EEG)记录,无法按照多导睡眠图(polysomnographic)标准进行睡眠分期。第三,尽管我们的结果明确显示了认知特征与TC持续时间之间的关系,我们承认认知效应是多因素且动态变化的。认知评估作为术前评估的一部分,依据临床最佳实践标准执行,但必然仅反映单一时间点状态,且未与iEEG记录同步进行——这是将认知与脑功能关联研究中的常见局限(58)。鉴于癫痫中认知障碍的特性及ASM剂量的变化,这种时间错配可能引入偏倚,但我们通过使用一套全面的认知测试组合对此进行了缓解。第四,由于颅内电极主要植入于颞叶和额叶区域,对受影响认知领域的解释应相应调整——这可能影响语言和注意力领域结果占主导的现象。
综合而言,我们的模型模拟与iEEG记录结果表明:在扰动机制(SWS、IEDs和ASM)作用下,TCs下降;且较短的TCs可预测PwE的认知障碍。更广泛地说,我们的结果展示了动态因素如何显著影响大脑与临界状态的距离,从而影响认知(图5)。尽管这些发现提示了潜在的治疗靶点,它们也突显了癫痫中的一个根本性挑战:旨在优化临界动力学以改善认知功能的干预措施,必须谨慎权衡其可能增加癫痫发作易感性的风险——因为接近临界状态也可能降低癫痫发作的阈值(72, 75)。换言之,癫痫发作可能是大脑为实现最优计算能力所付出的代价。总之,我们的工作提示,临界动力学是衡量网络功能最优状态的“设定点”,从而为癫痫等疾病中影响认知的异质性机制提供了一个统一框架。
原文链接:https://www.pnas.org/doi/epdf/10.1073/pnas.2417117122