首页
学习
活动
专区
圈层
工具
发布
社区首页 >专栏 >CVPR 2026|“像素级对齐大师” VA-π: 25分钟微调FID暴降50%

CVPR 2026|“像素级对齐大师” VA-π: 25分钟微调FID暴降50%

作者头像
AI生成未来
发布2026-03-05 15:01:24
发布2026-03-05 15:01:24
2480
举报
  • Project Page / Website:https://lil-shake.github.io/va-pi.github.io/
  • GitHub:https://github.com/Lil-Shake/VA-Pi
  • Hugging Face (Weights) :https://huggingface.co/LilShake66/VA-Pi
  • arXiv:https://arxiv.org/pdf/2512.19680

在视觉自回归(AR)模型狂奔的今天,我们似乎已经习惯了将 Tokenizer 和生成器当作完美的黑盒组合。然而,回归事物的本质,我们必须直面一个“房间里的大象”:为什么 Tokenizer 在重建图像时完美无瑕,但交由 AR 模型自发生成 Token 序列时,解码出的图片却常常伴随着结构扭曲与不自然的伪影?

VA-π (Variational Policy Alignment) 深入剖析了这一现象背后的结构逻辑,提出了一种极其轻量且优雅的后训练(Post-training)框架。这项研究摒弃了单纯追求工程跑分的暴力路线,而是用极具数学美感的变分推断(VI)与强化学习(RL),从根本上弥合了生成与重建的鸿沟。

亮点直击:极简算力破解“隐性错位”

当前的视觉 AR 模型存在一个致命的底层割裂:Tokenizer 学习的是完美还原真实像素,而 AR 生成器仅仅在离散空间里优化 Token 的似然概率。这种缺乏“真实物理像素感知”的机制,导致 AR 模型在推理时生成的 Token 极易偏离真实分布流形(Off-manifold)。

为了彻底打通像素与 Token 之间的壁垒,VA-π 给出了一套惊艳的解法:

  • 极致的训练效率: 彻底告别昂贵且不稳定的 RLHF 算力集群!在 8 张 A100 显卡上,仅需 1% 的 ImageNet 数据,微调约 25 分钟即可完成蜕变。
  • 跨越式的质量飞跃: 在 LlamaGen-XXL 上,VA-π 让 FID 指标实现了近乎减半的跨越式下降(从 14.36 暴降至 7.65),Inception Score (IS) 从 86.55 飙升至 116.70。
  • 优雅的数学解构: 创新性地在变分框架下引入策略梯度,彻底解决了像素级反馈优化中遇到的“不可导”与“计算爆炸”双重难题,并巧妙化解了自回归生成的“曝光偏差”。

方法论深潜:用变分推断重塑生成逻辑

想要用真实像素的误差来指导离散 Token 的生成,实操中立刻会撞上“不可导”和“计算空间爆炸”两座大山。VA-π 是如何通过严谨的推导将其一一化解的?

在 VA-π (Variational Policy Alignment) 框架中,研究团队没有在表层打补丁,而是回到了严密的数学理论中。正如框架图所示,VA-π 是一个轻量级的后训练(Post-training)框架,它通过优化 AR 生成器来实现像素空间的分布对齐。

以下是 VA-π 打破黑盒、实现直接像素级对齐的四大核心推导步骤:

1. 化解“计算爆炸”:基于变分推断的对齐证据下界 (ELBO)

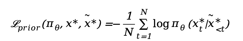
在自回归视觉生成中,我们最终的目标是最大化真实图像 在像素空间的似φ。但在离散的 Token 空间中直接计算这个积分是极其困难的(Intractable)。

借鉴 VAE 的思想,VA-π 引入了一个由 AR 模型学习的变分后验分布 来近似真实的后验。极其巧妙的是,VA-π 利用 Teacher Forcing 机制来构建这个后验分布——即在给定真实前缀的情况下来预测下一个 Token。这使得后验分布能够高度集中在那些能被忠实还原为原图的 Token 序列上,彻底避免了 Free-running 采样时误差累积导致的流形偏离(Off-manifold)。

基于此,研究团队推导出了一个优雅的证据下界 (ELBO) 优化目标:

这个公式为我们提供了两个极具物理意义的训练信号:

  • 重建项(Reconstruction Term): 提供像素级的监督,强迫 AR 模型在 Teacher Forcing 下生成的序列能够还原出原图。
  • 先验正则化项(Prior Regularization Term): 约束生成的 Token 分布,维持预训练 AR 模型的原生语言建模能力。

2. 消除曝光偏差:将正则化简化为带噪的 Next-Token 预测

在上述 ELBO 公式中,KL 正则化项衡量的是 Teacher-forced 分布与模型自身 Free-running 分布之间的差异。最小化这个 KL 散度,本质上就是在直接最小化自回归生成中臭名昭著的曝光偏差(Exposure Bias)。

为了高效实现这一目标,VA-π 引入了上下文噪声(Contextual Noise)。通过对真实前缀注入扰动率 的核噪声,得到带噪前缀。最终,这个复杂的正则化项被极其优雅地简化为一个带噪的 Next-Token 预测损失:

这种强行“加难度”的做法,迫使模型学会在带有干扰的上下文中依然生成高质量的 Token,大幅提升了推理鲁棒性。

3. 突破“不可导”:引入强化学习与重建奖励 (Reconstruction Reward)

虽然 ELBO 给出了优化方向,但重建项包含量化器(Quantizer)和离散的 Teacher-forcing 采样,导致梯度被完全阻断(不可导)。仅仅依赖直通估计器(STE)依然无法解决分类分布采样带来的偏差。

为了破局,VA-π 巧妙转换视角,将 AR 生成器视为一个策略(Policy),采用强化学习来最大化重建奖励(即负的重建损失)。给定参考图像 、真实 Token 以及解码器还原的图像 ,内在奖励被定义为:

为了避免让 AR 模型进行昂贵的多次前向推理,这里同样使用了带噪的 Token 序列 。最大化这个奖励,就能直接引导 AR 模型生成在像素空间完美对齐的序列。

4. 终极融合:VA-π 策略优化 (Policy Optimization with GRPO)

至此,VA-π 拥有了基于 RL 的重建奖励(Eq. 10)和 Next-Token 正则化(Eq. 9)。这与强化学习中“策略优化 + KL 惩罚”的范式完美契合!

VA-π 采用了先进的 GRPO 算法 将这两者整合进一个统一且极其稳定的训练流程中。最终的 VA-π 优化目标π如下:

实验展示:全方位、多尺度的极限施压

严谨的理论支撑带来了极其扎实的实验数据。为了验证 VA-π 的普适性,研究团队在具有挑战性的两项视觉生成任务上进行了全面评测:类别条件图像生成 (Class-to-Image, C2I) 和 *文本条件图像生成 (Text-to-Image, T2I)。

实验配置极其克制

  • 基座模型: 涵盖纯视觉自回归标杆 LlamaGen(包括 775M 的 XL 版和 1.4B 的 XXL 版),以及当前大热的统一多模态大模型 Janus-Pro 1B。
  • 极简算力: 在 C2I 任务中,仅使用 ImageNet-1k 中 12.8K 的极小样本量,微调 100 步(约 20~25 分钟)。全程不依赖无分类器引导(CFG)即可实现稳定探索。

1. C2I 核心战绩:25 分钟微调,FID 直降 50%

在权威的 ImageNet-1k 验证集(5 万张图像)上,VA-π 迎战了包括 AR-GRPO(依赖外部奖励模型的 RL 方法)和传统 STE 方法在内的一众强敌。结果呈现出碾压态势。

  • LlamaGen-XXL (1.4B) 的质变: 仅仅经过 25 分钟的后训练,VA-π 就让 XXL 模型的 FID 削减了近 50%(14.35 7.65),同时 Inception Score (IS) 大幅提升 30.16。这彻底粉碎了以往方法“保真度与多样性不可兼得”的魔咒。
  • 无情碾压复杂 RL 路线: 在 LlamaGen-XL (775M) 上,VA-π (配合 CFG=2.0)拿下了 299.63 的最高 IS 得分,直接超越了复杂的 AR-GRPO 方法。最关键的是,VA-π 既不需要训练任何外部奖励模型,训练速度还快了整整 7.5 倍(仅需 20 分钟)!

2. T2I 核心战绩:无需外部奖励,统一多模态大模型

VA-π 的恐怖之处在于其极强的泛化能力。尽管在训练中完全没有使用任何文本对齐(Text-alignment)或人类偏好奖励,它依然在 GenEval 基准测试中大放异彩。

  • 全面超越 AR-GRPO: 在 LlamaGen-XL 上,VA-π 在 GenEval 的多数子任务上击败了 AR-GRPO,特别是在“颜色理解”、“计数”和“双目标组合”等复杂语义上进步明显。更有趣的是(如 Table 1 所示),在评估图文一致性的 CLIP 和 HPS v2 指标上,未经显式文本偏好微调的 VA-π,竟然打败了专门针对此优化的 AR-GRPO!这充分证明了“底层像素级对齐”带来的巨大泛化红利。
  • 赋能统一多模态大模型: 当我们将 VA-π 插入 Janus-Pro 1B 后,模型的视觉组合能力和语义接地能力进一步跃升(GenEval 综合得分 0.725 0.744)。特别是在“属性绑定”和“双目标关系”上提升显著。这表明 VA-π 为大型多模态系统在文本条件生成中弥合“Token级与感知级差异”,提供了一个极具扩展性的通用机制。

3. 拒绝“黑盒炼丹”:严密的消融实验证明

为了探究 VA-π 为何如此高效,研究团队对奖励构成、正则化项以及上下文噪声进行了极其硬核的拆解。

  • 奖励与正则化缺一不可 (Table 4): 如果只用像素级重建奖励(LMSE / Lp),模型会迅速偏离预训练的 AR 分布,导致彻底崩坏(FID 飙升至 38.76)。只有当引入先验正则化项(Prior Regularization)作为辅助护栏时,才能完美稳住 Token 级似然,达成最佳的对齐平衡(FID 7.65)。
  • 轻量级 CE 正则化更优 (Fig 4): 在对比 KL 散度与交叉熵(CE)正则化时发现,CE 展现出了更优的稳定性。更重要的是,在宽泛的权重区间(如 )内,模型均能取得最佳的保真度与多样性平衡,彻底告别“炼丹式”调参。
  • 上下文噪声的黄金比例 (Table 5): 针对“曝光偏差(Exposure Bias)”,实验探究了注入噪声比例 的影响。结果表明,适度的噪声扰动是打破训练与推理分布错位的最优解,能在 GenEval 测试中获得最高的综合评分(0.339)。不加噪声或噪声过载,都会直接削弱模型的最终战斗力。

4. 结果可视化

  • 类别条件图像生成 (ImageNet-1K) :我们提供了在 ImageNet-1K 类别上进行类别条件图像生成 (C2I) 的定性对比结果。所有样本均采用相同的解码设置(CFG = 1.0,temperature = 1.0,top-k = 0,top-p = 1.0)。
ImageNet C2I: kite.
ImageNet C2I: kite.

ImageNet C2I: kite.

  • 文本条件图像生成 (GenEval) :我们展示了基于 GenEval 提示词的 T2I(文生图)定性对比结果。所有样本均采用相同的解码设置(CFG = 5.0,temperature = 1.0,top-k = 0,top-p = 1.0)。
GenEval: attribute binding.
GenEval: attribute binding.

GenEval: attribute binding.

小结:为什么 VA-π 能够实现像素级对齐?

  • 像素级的内在奖励把原本割裂的“Token 概率优化”与“真实物理视觉”彻底打通,让 AR 策略直接为最终的重建质量负责,从根本上消除了 Tokenizer 与生成器的隐性错位。
  • 基于变分推断(ELBO)的 Teacher-forcing把庞杂的在线多步试错降维成了极其高效的单次前向计算,完美避开了长序列探索的计算爆炸,用极简算力实现了像素级引导。
  • ELBO 的天然正则化项把“维持原生分布”变成了坚固的约束护栏,确保模型在追求极致像素反馈时,依然保持严密的自回归一致性,杜绝了生成流形的偏离。

参考文献

[1] VA-π: Variational Policy Alignment for Pixel-Aware Autoregressive Generation

本文参与 腾讯云自媒体同步曝光计划,分享自微信公众号。
原始发表:2026-03-03,如有侵权请联系 cloudcommunity@tencent.com 删除

本文分享自 AI生成未来 微信公众号,前往查看

如有侵权,请联系 cloudcommunity@tencent.com 删除。

本文参与 腾讯云自媒体同步曝光计划  ,欢迎热爱写作的你一起参与!

评论
登录后参与评论
0 条评论
热度
最新
推荐阅读
目录
  • 亮点直击:极简算力破解“隐性错位”
  • 方法论深潜:用变分推断重塑生成逻辑
    • 1. 化解“计算爆炸”:基于变分推断的对齐证据下界 (ELBO)
    • 2. 消除曝光偏差:将正则化简化为带噪的 Next-Token 预测
    • 3. 突破“不可导”:引入强化学习与重建奖励 (Reconstruction Reward)
    • 4. 终极融合:VA-π 策略优化 (Policy Optimization with GRPO)
  • 实验展示:全方位、多尺度的极限施压
    • 1. C2I 核心战绩:25 分钟微调,FID 直降 50%
    • 2. T2I 核心战绩:无需外部奖励,统一多模态大模型
    • 3. 拒绝“黑盒炼丹”:严密的消融实验证明
    • 4. 结果可视化
  • 小结:为什么 VA-π 能够实现像素级对齐?
  • 参考文献
领券
问题归档专栏文章快讯文章归档关键词归档开发者手册归档开发者手册 Section 归档