REF:SCARA 机械手的动力学建模及仿真
1
U-K方程概述
Udwadia–Kalaba方程是用于描述受约束机械系统运动的一种显式动力学方程,为受约束的机械系统提供一个闭式的显式表达。其标准数学形式如下:
对于一个无约束系统,其动力学方程为:

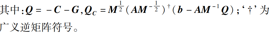
其中,M是质量矩阵,q¨是广义加速度,Q是已知力(包括外力、科氏力、重力等),当系统受到约束(约束方程可化为加速度层面的线性形式Aq¨=b)时,U-K方程给出受约束系统的总加速度和约束力的显式解:


其中:


q¨u 是无约束系统的加速度;
Qc是约束力;
上标“+”表示M-P伪逆(Moore-Penrose广义逆);
该方程不引入拉格朗日乘子或任何准速度等辅助变量
力学方法是否需辅助变量约束力形式适用约束类型
牛顿-欧拉方程是(约束力/力矩)隐式,需联立求解简单系统为主
拉格朗日方程是(拉格朗日乘子λ)隐式,乘子待定完整约束为主
凯恩方程是(准速度、偏速度)可消去,非显式非完整约束
U–K方程否显式闭式解完整/非完整均适用
2
基于U-K方程的scara机械臂的动力学方程

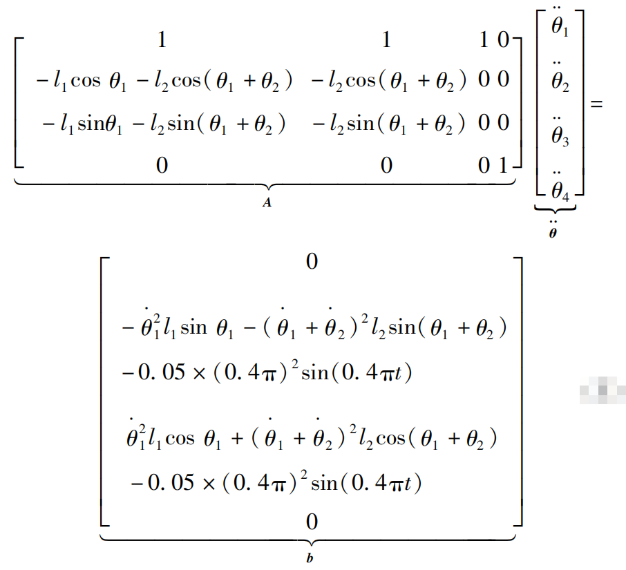
SCARA 机械手未受约束时的动力学方程为

其中:质量矩阵 M ( θ )、向心力和哥氏力矩阵 C ( θ , θ·)、重力矩阵 G ( θ )分别为

基于 U-K 方程建立 scara 机械手的动力学方程为


3
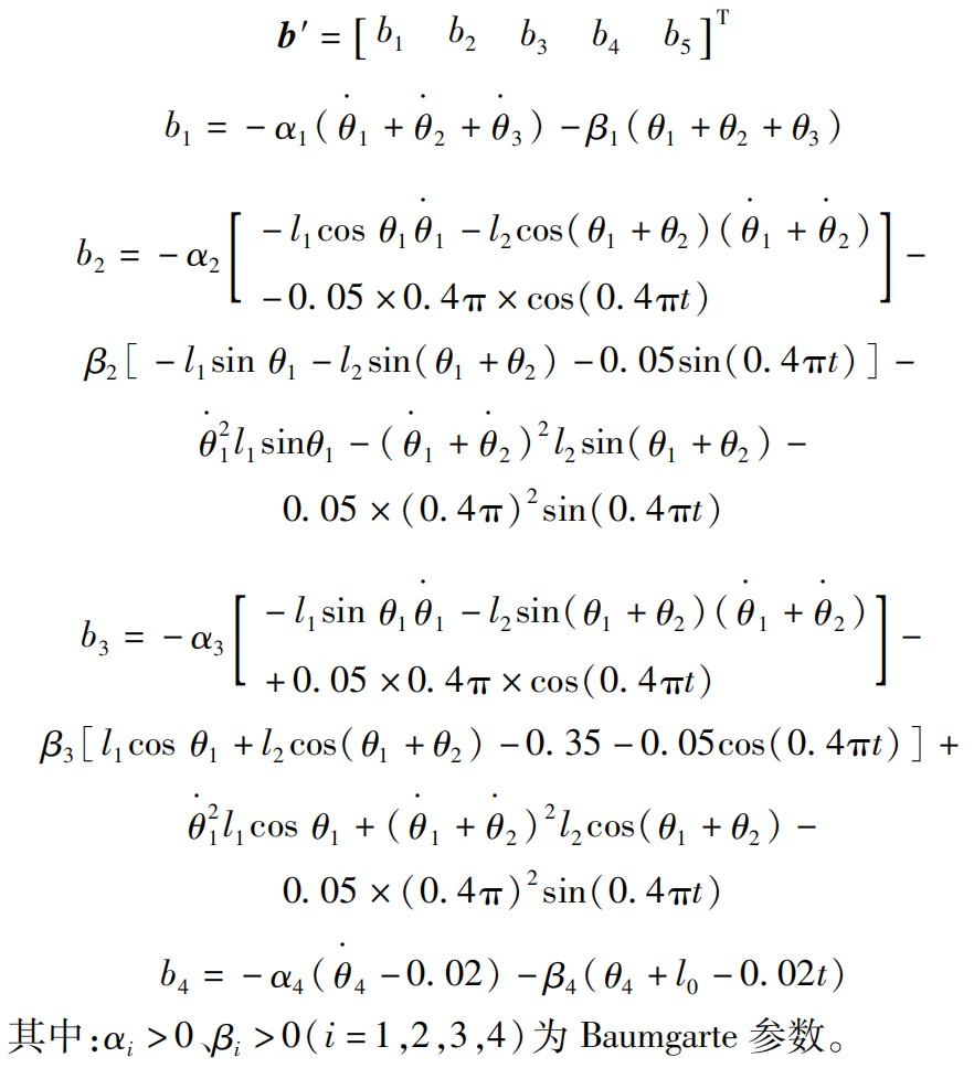
基于Baumgarte 稳定性方法和改进U-K方程的动力学方程
采用 Baumgarte 稳定性方法对动力学方程进行修正后的动力学方程为
其中:
最终形成的动力学方程为:

4
仿真分析
假设 scara 机械手末端执行器的运动轨迹为

对其求时间的二阶导数,可得

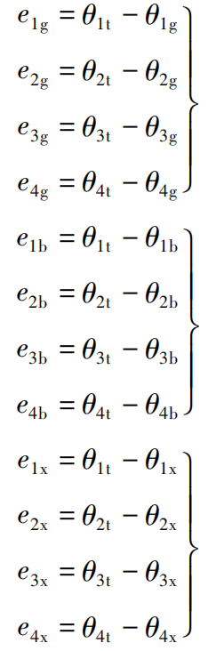
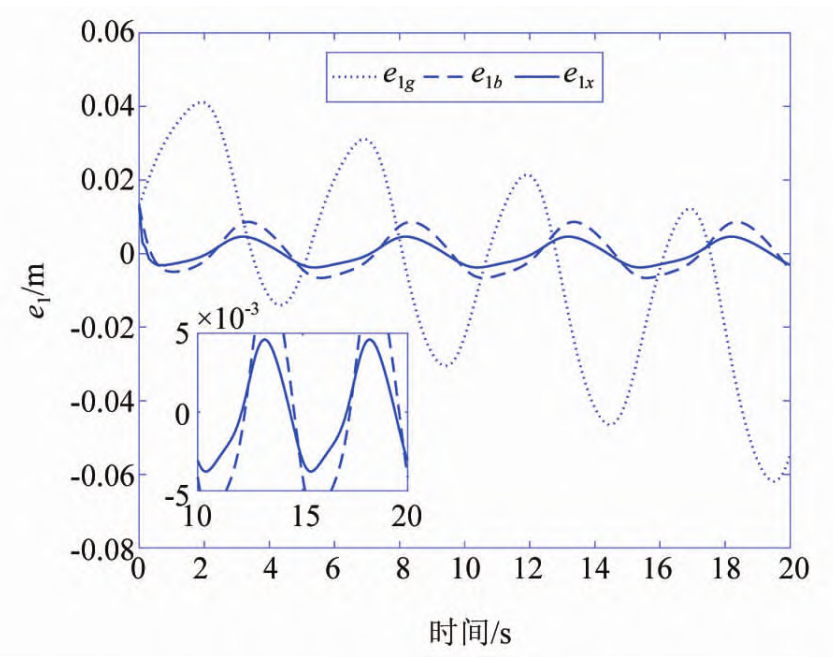
分别求解动力学方程式得到广义变量的数值解,下标 t表示广义变量的理论值,分别以下标 g、 b、 x表示理论值与改进U-K 方程的误差、理论值与Baumgarte 稳定性方法的误差、理论值与修正 U-K 方程的误差,即

