REF:SCARA 机器人运动学和视觉抓取研究

01
运动学建模


本文选用的SCARA臂,升降轴是第一轴J1。
通过 MDH 法建立坐标系,机械臂的坐标系分布如下图,坐标系建立后,通过齐次变换矩阵来表示相邻坐标系的空间位姿映射关系, 机器人末端执行器坐标系相对于基坐标系的总变换矩阵即为运动学正解结果。

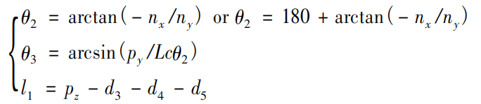
机械臂运动学逆解的含义是根据给定的机械臂末端的位姿,依据连杆长度等机构参数,求解机械手各个电机转角。解析法理论上可以获得最为准确的解,但是由于数据精度问题,会伴随有解的漂移问题,最直接的体现为,操作机器人按照直角坐标运动,示教点与期望到达的点有微小偏差。
通过数值迭代法进行求解,逆解的所有分量可一次性求得,在轨迹跟踪过程中,由于初值与实际逆解较为接近,可省去逆解筛选的过程。


02
视觉反馈

经过标定的相机拍摄工件的图像信息,通过高斯滤波对采集结果进行滤波处理,然后,利用图像的边缘轮廓特征,作为对采集的图像信息进行分析,计算得出工件的质心,并与机器人坐标系进行整合后换算得出工件的三维坐标,通过视觉信息实现对工件的抓取过程中抓手的定位引导 。

