

大家好!今天给大家分享《机器学习》第 2 章的核心内容 —— 模型估计与优化。这一章是机器学习算法落地的核心基础,不管是经典的线性回归,还是复杂的深度学习模型,背后都离不开参数估计和优化方法的支撑。
本文会结合完整可运行的 Python 代码 + 直观的可视化对比图,把抽象的数学概念转化为可实操的案例,确保大家不仅能理解原理,还能亲手复现效果。
模型参数估计的核心目标:从数据中找到一组最优的参数,让模型尽可能贴合真实数据的规律。
核心思想

完整代码 + 可视化对比
import numpy as np
import matplotlib.pyplot as plt
# 解决matplotlib中文显示问题
plt.rcParams['font.sans-serif'] = ['SimHei'] # 替换为系统支持的中文字体
plt.rcParams['axes.unicode_minus'] = False
# ===================== 1. 生成模拟数据 =====================
np.random.seed(42) # 固定随机种子,保证结果可复现
x = np.linspace(0, 10, 100) # 生成0-10的100个均匀点
true_theta = [2.5, 1.8] # 真实参数:y = 2.5 + 1.8*x
y_true = true_theta[0] + true_theta[1] * x
y_noise = y_true + np.random.normal(0, 1.5, size=len(x)) # 加入高斯噪声
# ===================== 2. 最小二乘估计实现 =====================
# 构造X矩阵(第一列全为1,对应截距项)
X = np.c_[np.ones_like(x), x]
# 最小二乘闭式解:θ = (X^T X)^-1 X^T y
theta_lse = np.linalg.inv(X.T @ X) @ X.T @ y_noise
y_lse = theta_lse[0] + theta_lse[1] * x
# ===================== 3. 可视化对比 =====================
plt.figure(figsize=(10, 6))
plt.scatter(x, y_noise, label='带噪声的观测数据', alpha=0.6, color='orange')
plt.plot(x, y_true, label=f'真实模型 (y={true_theta[0]}+{true_theta[1]}x)', color='red', linewidth=2)
plt.plot(x, y_lse, label=f'最小二乘估计模型 (y={theta_lse[0]:.2f}+{theta_lse[1]:.2f}x)',
color='blue', linestyle='--', linewidth=2)
plt.xlabel('x')
plt.ylabel('y')
plt.title('最小二乘估计效果对比')
plt.legend()
plt.grid(alpha=0.3)
plt.show()
# 输出估计结果
print(f"真实参数:截距={true_theta[0]}, 斜率={true_theta[1]}")
print(f"最小二乘估计参数:截距={theta_lse[0]:.2f}, 斜率={theta_lse[1]:.2f}")
运行效果
核心思想
最大似然估计(Maximum Likelihood Estimation, MLE):找到一组参数,让观测数据出现的 “可能性” 最大。对于高斯噪声的线性模型,MLE 等价于最小二乘,但 MLE 的适用范围更广(可处理任意分布的似然函数)。
完整代码 + 可视化对比
import numpy as np
import matplotlib.pyplot as plt
from scipy.optimize import minimize
plt.rcParams['font.sans-serif'] = ['SimHei']
plt.rcParams['axes.unicode_minus'] = False
# ===================== 1. 生成模拟数据 =====================
np.random.seed(42)
x = np.linspace(0, 10, 100)
true_theta = [2.5, 1.8, 1.5] # 截距、斜率、噪声标准差
y_true = true_theta[0] + true_theta[1] * x
y_noise = y_true + np.random.normal(0, true_theta[2], size=len(x))
# ===================== 2. 定义似然函数(负对数似然,方便最小化) =====================
def neg_log_likelihood(theta, x, y):
"""
负对数似然函数(MLE需要最大化似然,等价于最小化负对数似然)
theta: [截距, 斜率, 噪声标准差]
"""
intercept, slope, sigma = theta
y_pred = intercept + slope * x
# 高斯分布的负对数似然
nll = 0.5 * len(x) * np.log(2 * np.pi * sigma**2) + \
0.5 * np.sum((y - y_pred)**2) / sigma**2
return nll
# ===================== 3. 优化求解MLE =====================
initial_guess = [1, 1, 1] # 初始猜测值
result = minimize(neg_log_likelihood, initial_guess, args=(x, y_noise),
bounds=[(None, None), (None, None), (1e-6, None)]) # 标准差必须大于0
theta_mle = result.x
y_mle = theta_mle[0] + theta_mle[1] * x
# ===================== 4. 可视化对比 =====================
plt.figure(figsize=(10, 6))
plt.scatter(x, y_noise, label='观测数据', alpha=0.6, color='orange')
plt.plot(x, y_true, label=f'真实模型 (σ={true_theta[2]})', color='red', linewidth=2)
plt.plot(x, y_mle, label=f'MLE估计模型 (σ={theta_mle[2]:.2f})',
color='green', linestyle='--', linewidth=2)
plt.xlabel('x')
plt.ylabel('y')
plt.title('最大似然估计效果对比')
plt.legend()
plt.grid(alpha=0.3)
plt.show()
# 输出结果
print(f"真实参数:截距={true_theta[0]}, 斜率={true_theta[1]}, 噪声σ={true_theta[2]}")
print(f"MLE估计参数:截距={theta_mle[0]:.2f}, 斜率={theta_mle[1]:.2f}, 噪声σ={theta_mle[2]:.2f}")
运行效果
核心思想

完整代码 + 可视化对比
import numpy as np
import matplotlib.pyplot as plt
from scipy.optimize import minimize
plt.rcParams['font.sans-serif'] = ['SimHei']
plt.rcParams['axes.unicode_minus'] = False
# ===================== 1. 生成模拟数据 =====================
np.random.seed(42)
x = np.linspace(0, 10, 100)
true_theta = [2.5, 1.8]
y_true = true_theta[0] + true_theta[1] * x
y_noise = y_true + np.random.normal(0, 1.5, size=len(x))
# ===================== 2. 定义负对数后验函数 =====================
def neg_log_posterior(theta, x, y):
"""
负对数后验函数(MAP需要最大化后验,等价于最小化负对数后验)
假设参数服从高斯先验:θ ~ N(0, 5^2)
"""
intercept, slope = theta
y_pred = intercept + slope * x
# 似然项(高斯)
log_likelihood = -0.5 * len(x) * np.log(2 * np.pi * 1.5**2) - \
0.5 * np.sum((y - y_pred)**2) / (1.5**2)
# 先验项(高斯)
log_prior = -0.5 * np.log(2 * np.pi * 5**2) * 2 - \
0.5 * (intercept**2 + slope**2) / (5**2)
# 负对数后验
neg_log_post = -(log_likelihood + log_prior)
return neg_log_post
# ===================== 3. 优化求解MAP =====================
initial_guess = [1, 1]
result = minimize(neg_log_posterior, initial_guess, args=(x, y_noise))
theta_map = result.x
y_map = theta_map[0] + theta_map[1] * x
# ===================== 4. 对比LSE和MAP =====================
# 重新计算LSE
X = np.c_[np.ones_like(x), x]
theta_lse = np.linalg.inv(X.T @ X) @ X.T @ y_noise
y_lse = theta_lse[0] + theta_lse[1] * x
# 可视化
plt.figure(figsize=(10, 6))
plt.scatter(x, y_noise, label='观测数据', alpha=0.6, color='orange')
plt.plot(x, y_true, label='真实模型', color='red', linewidth=2)
plt.plot(x, y_lse, label=f'LSE估计', color='blue', linestyle='--', linewidth=2)
plt.plot(x, y_map, label=f'MAP估计', color='purple', linestyle='-.', linewidth=2)
plt.xlabel('x')
plt.ylabel('y')
plt.title('最小二乘 vs 最大后验估计效果对比')
plt.legend()
plt.grid(alpha=0.3)
plt.show()
# 输出结果
print(f"真实参数:截距={true_theta[0]}, 斜率={true_theta[1]}")
print(f"LSE估计参数:截距={theta_lse[0]:.2f}, 斜率={theta_lse[1]:.2f}")
print(f"MAP估计参数:截距={theta_map[0]:.2f}, 斜率={theta_map[1]:.2f}")
运行效果
核心思想

完整代码 + 可视化对比
import numpy as np
import matplotlib.pyplot as plt
plt.rcParams['font.sans-serif'] = ['SimHei']
plt.rcParams['axes.unicode_minus'] = False
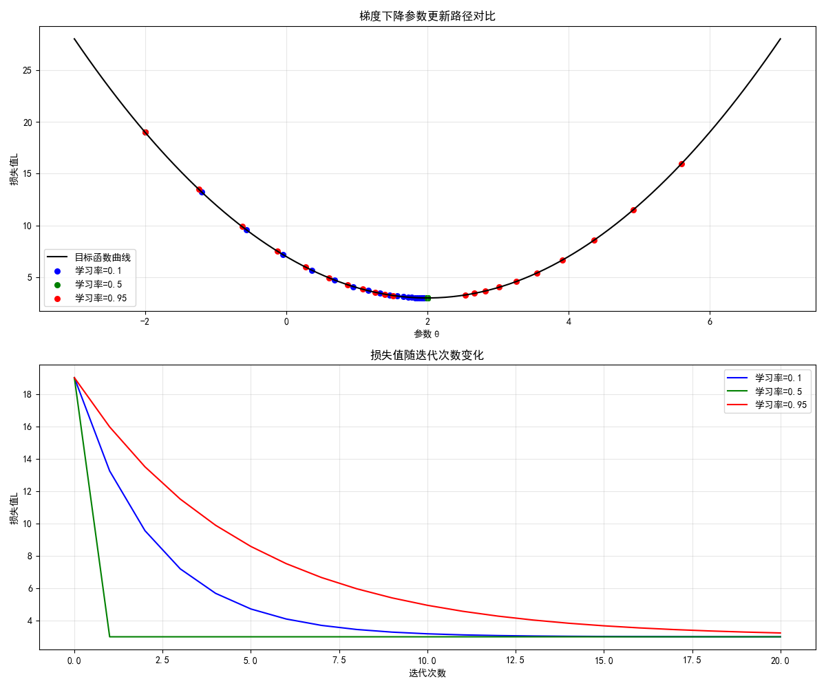
# ===================== 1. 定义目标函数和梯度 =====================
def loss_function(theta):
"""目标函数:f(θ) = (θ-2)^2 + 3"""
return (theta - 2)**2 + 3
def gradient(theta):
"""目标函数的梯度:f’(θ) = 2(θ-2)"""
return 2 * (theta - 2)
# ===================== 2. 梯度下降实现 =====================
def gradient_descent(init_theta, lr, epochs):
"""
梯度下降迭代过程
init_theta: 初始参数
lr: 学习率
epochs: 迭代次数
"""
theta = init_theta
theta_history = [theta] # 记录参数更新过程
loss_history = [loss_function(theta)] # 记录损失变化
for _ in range(epochs):
grad = gradient(theta)
theta = theta - lr * grad # 梯度下降更新
theta_history.append(theta)
loss_history.append(loss_function(theta))
return theta, theta_history, loss_history
# ===================== 3. 不同学习率对比 =====================
init_theta = -2 # 初始参数
epochs = 20
# 3种学习率
lr1 = 0.1 # 学习率偏小
lr2 = 0.5 # 学习率适中
lr3 = 0.95 # 学习率偏大(接近震荡阈值)
theta1, theta_hist1, loss_hist1 = gradient_descent(init_theta, lr1, epochs)
theta2, theta_hist2, loss_hist2 = gradient_descent(init_theta, lr2, epochs)
theta3, theta_hist3, loss_hist3 = gradient_descent(init_theta, lr3, epochs)
# ===================== 4. 可视化对比 =====================
# 子图1:损失函数曲线 + 参数更新路径
plt.figure(figsize=(12, 10))
# 绘制目标函数曲线
theta_range = np.linspace(-3, 7, 100)
loss_range = loss_function(theta_range)
plt.subplot(2, 1, 1)
plt.plot(theta_range, loss_range, label='目标函数曲线', color='black')
plt.scatter(theta_hist1, loss_hist1, label=f'学习率={lr1}', color='blue', s=30)
plt.scatter(theta_hist2, loss_hist2, label=f'学习率={lr2}', color='green', s=30)
plt.scatter(theta_hist3, loss_hist3, label=f'学习率={lr3}', color='red', s=30)
plt.xlabel('参数θ')
plt.ylabel('损失值L')
plt.title('梯度下降参数更新路径对比')
plt.legend()
plt.grid(alpha=0.3)
# 子图2:损失随迭代次数变化
plt.subplot(2, 1, 2)
plt.plot(loss_hist1, label=f'学习率={lr1}', color='blue')
plt.plot(loss_hist2, label=f'学习率={lr2}', color='green')
plt.plot(loss_hist3, label=f'学习率={lr3}', color='red')
plt.xlabel('迭代次数')
plt.ylabel('损失值L')
plt.title('损失值随迭代次数变化')
plt.legend()
plt.grid(alpha=0.3)
plt.tight_layout()
plt.show()
# 输出最终结果
print(f"学习率{lr1}最终参数:{theta1:.4f},最终损失:{loss_function(theta1):.4f}")
print(f"学习率{lr2}最终参数:{theta2:.4f},最终损失:{loss_function(theta2):.4f}")
print(f"学习率{lr3}最终参数:{theta3:.4f},最终损失:{loss_function(theta3):.4f}")
运行效果
核心思想

完整代码 + 可视化对比
import numpy as np
import matplotlib.pyplot as plt
plt.rcParams['font.sans-serif'] = ['SimHei']
plt.rcParams['axes.unicode_minus'] = False
# ===================== 1. 定义目标函数、梯度、海森矩阵 =====================
def loss_function(theta):
"""目标函数:f(θ) = θ^4 - 12θ^2 + 2"""
return theta**4 - 12 * theta**2 + 2
def gradient(theta):
"""一阶导数:f’(θ) = 4θ^3 - 24θ"""
return 4 * theta**3 - 24 * theta
def hessian(theta):
"""二阶导数(海森矩阵,单变量时为标量):f''(θ) = 12θ^2 - 24"""
return 12 * theta**2 - 24
# ===================== 2. 牛顿迭代法实现 =====================
def newton_method(init_theta, epochs):
theta = init_theta
theta_history = [theta]
loss_history = [loss_function(theta)]
for _ in range(epochs):
grad = gradient(theta)
hess = hessian(theta)
if abs(hess) < 1e-6: # 避免除零
break
theta = theta - grad / hess # 牛顿更新
theta_history.append(theta)
loss_history.append(loss_function(theta))
return theta, theta_history, loss_history
# ===================== 3. 对比梯度下降和牛顿法 =====================
init_theta = 4.0
epochs = 10
# 牛顿法
theta_newton, theta_hist_newton, loss_hist_newton = newton_method(init_theta, epochs)
# 梯度下降(学习率0.01)
def gradient_descent(init_theta, lr, epochs):
theta = init_theta
theta_history = [theta]
loss_history = [loss_function(theta)]
for _ in range(epochs):
grad = gradient(theta)
theta = theta - lr * grad
theta_history.append(theta)
loss_history.append(loss_function(theta))
return theta, theta_history, loss_history
theta_gd, theta_hist_gd, loss_hist_gd = gradient_descent(init_theta, 0.01, epochs)
# ===================== 4. 可视化对比 =====================
theta_range = np.linspace(-5, 5, 100)
loss_range = loss_function(theta_range)
plt.figure(figsize=(12, 10))
# 子图1:参数更新路径
plt.subplot(2, 1, 1)
plt.plot(theta_range, loss_range, label='目标函数曲线', color='black')
plt.scatter(theta_hist_newton, loss_hist_newton, label='牛顿迭代法', color='red', s=50)
plt.scatter(theta_hist_gd, loss_hist_gd, label='梯度下降法 (lr=0.01)', color='blue', s=50)
plt.xlabel('参数θ')
plt.ylabel('损失值L')
plt.title('牛顿法 vs 梯度下降 参数更新路径对比')
plt.legend()
plt.grid(alpha=0.3)
# 子图2:损失随迭代次数变化
plt.subplot(2, 1, 2)
plt.plot(loss_hist_newton, label='牛顿迭代法', color='red', marker='o')
plt.plot(loss_hist_gd, label='梯度下降法 (lr=0.01)', color='blue', marker='s')
plt.xlabel('迭代次数')
plt.ylabel('损失值L')
plt.title('损失值随迭代次数变化')
plt.legend()
plt.grid(alpha=0.3)
plt.tight_layout()
plt.show()
# 输出结果
print(f"牛顿法最终参数:{theta_newton:.4f},最终损失:{loss_function(theta_newton):.4f}")
print(f"梯度下降最终参数:{theta_gd:.4f},最终损失:{loss_function(theta_gd):.4f}")
运行效果
核心思想
随机梯度下降(SGD):不再用全部数据计算梯度,而是每次随机选一个 / 一批样本计算梯度,解决大数据场景下梯度下降速度慢的问题。
完整代码 + 可视化对比
import numpy as np
import matplotlib.pyplot as plt
plt.rcParams['font.sans-serif'] = ['SimHei']
plt.rcParams['axes.unicode_minus'] = False
# ===================== 1. 生成大规模模拟数据 =====================
np.random.seed(42)
n_samples = 10000 # 1万条数据
x = np.linspace(0, 10, n_samples)
true_theta = [2.5, 1.8]
y_true = true_theta[0] + true_theta[1] * x
y_noise = y_true + np.random.normal(0, 1.5, size=n_samples)
X = np.c_[np.ones_like(x), x]
# ===================== 2. 定义损失和梯度 =====================
def mse_loss(theta, X, y):
"""均方误差损失"""
y_pred = X @ theta
return np.mean((y - y_pred)**2)
def batch_gradient(theta, X, y):
"""批量梯度(用全部数据)"""
y_pred = X @ theta
grad = -2 * X.T @ (y - y_pred) / len(y)
return grad
def stochastic_gradient(theta, X, y, batch_size=32):
"""随机梯度(用小批量数据)"""
idx = np.random.choice(len(y), batch_size, replace=False)
X_batch = X[idx]
y_batch = y[idx]
y_pred = X_batch @ theta
grad = -2 * X_batch.T @ (y_batch - y_pred) / batch_size
return grad
# ===================== 3. 对比批量梯度和随机梯度 =====================
init_theta = np.array([1.0, 1.0])
epochs = 50
lr = 0.05
# 批量梯度下降(BGD)
theta_bgd = init_theta.copy()
loss_bgd = [mse_loss(theta_bgd, X, y_noise)]
for _ in range(epochs):
grad = batch_gradient(theta_bgd, X, y_noise)
theta_bgd -= lr * grad
loss_bgd.append(mse_loss(theta_bgd, X, y_noise))
# 随机梯度下降(SGD)
theta_sgd = init_theta.copy()
loss_sgd = [mse_loss(theta_sgd, X, y_noise)]
for _ in range(epochs):
grad = stochastic_gradient(theta_sgd, X, y_noise)
theta_sgd -= lr * grad
loss_sgd.append(mse_loss(theta_sgd, X, y_noise))
# ===================== 4. 可视化对比 =====================
plt.figure(figsize=(10, 6))
plt.plot(loss_bgd, label='批量梯度下降 (BGD)', color='blue', linewidth=2)
plt.plot(loss_sgd, label='随机梯度下降 (SGD)', color='red', linewidth=2, alpha=0.8)
plt.xlabel('迭代次数')
plt.ylabel('均方误差损失')
plt.title('BGD vs SGD 损失下降对比(大数据场景)')
plt.legend()
plt.grid(alpha=0.3)
plt.show()
# 输出结果
print(f"BGD最终参数:{theta_bgd},最终损失:{loss_bgd[-1]:.4f}")
print(f"SGD最终参数:{theta_sgd},最终损失:{loss_sgd[-1]:.4f}")
运行效果
核心思想
最大期望(EM)算法:用于含有隐变量的模型估计,分两步迭代:
完整代码 + 可视化对比
import numpy as np
import matplotlib.pyplot as plt
from scipy.stats import multivariate_normal
plt.rcParams['font.sans-serif'] = ['SimHei']
plt.rcParams['axes.unicode_minus'] = False
# ===================== 1. 生成混合高斯分布数据(含隐变量) =====================
np.random.seed(42)
# 两个高斯分量的参数
mu1 = np.array([2, 3])
cov1 = np.array([[1, 0.5], [0.5, 1]])
mu2 = np.array([7, 8])
cov2 = np.array([[1, -0.5], [-0.5, 1]])
# 生成数据
n1, n2 = 200, 200
X1 = np.random.multivariate_normal(mu1, cov1, n1)
X2 = np.random.multivariate_normal(mu2, cov2, n2)
X = np.vstack([X1, X2]) # 混合数据
y_true = np.hstack([np.zeros(n1), np.ones(n2)]) # 真实隐变量(0/1表示属于哪个分量)
# ===================== 2. EM算法实现(混合高斯模型) =====================
def em_gmm(X, n_components=2, max_iter=100, tol=1e-6):
n_samples, n_features = X.shape
# 初始化参数
pi = np.ones(n_components) / n_components # 混合系数
mu = X[np.random.choice(n_samples, n_components, replace=False)] # 均值
# 初始化协方差(添加小的对角项保证数值稳定)
cov = [np.eye(n_features) * 0.1 for _ in range(n_components)]
log_likelihoods = []
for i in range(max_iter):
# E步:计算责任(隐变量的后验概率)
gamma = np.zeros((n_samples, n_components))
for k in range(n_components):
# 计算每个分量的概率密度
gamma[:, k] = pi[k] * multivariate_normal.pdf(X, mu[k], cov[k])
# 避免除零(处理数值下溢)
gamma += 1e-10
gamma /= gamma.sum(axis=1, keepdims=True)
# 计算对数似然(用于判断收敛)
log_likelihood = np.sum(np.log(np.sum([pi[k] * multivariate_normal.pdf(X, mu[k], cov[k]) + 1e-10
for k in range(n_components)], axis=0)))
log_likelihoods.append(log_likelihood)
# 检查收敛(可选)
if i > 0 and abs(log_likelihoods[-1] - log_likelihoods[-2]) < tol:
print(f"EM算法在第{i + 1}次迭代收敛")
break
# M步:更新参数
Nk = gamma.sum(axis=0) + 1e-10 # 避免除零
pi = Nk / n_samples
for k in range(n_components):
# 更新均值
mu[k] = (gamma[:, k] @ X) / Nk[k]
# 更新协方差(添加小对角项保证正定)
centered = X - mu[k]
cov[k] = (gamma[:, k, np.newaxis] * centered).T @ centered / Nk[k]
cov[k] += np.eye(n_features) * 1e-6 # 防止协方差矩阵奇异
# 预测每个样本所属分量
y_pred = np.argmax(gamma, axis=1)
return mu, cov, pi, y_pred, log_likelihoods
# ===================== 3. 运行EM算法 =====================
mu_est, cov_est, pi_est, y_pred, log_likelihoods = em_gmm(X)
# ===================== 4. 可视化对比 =====================
plt.figure(figsize=(12, 10))
# 子图1:真实数据分布 vs EM估计结果
plt.subplot(2, 1, 1)
# 真实分布
plt.scatter(X1[:, 0], X1[:, 1], label='真实分量1', alpha=0.6, color='blue')
plt.scatter(X2[:, 0], X2[:, 1], label='真实分量2', alpha=0.6, color='red')
# EM估计结果
idx1 = y_pred == 0
idx2 = y_pred == 1
plt.scatter(X[idx1, 0], X[idx1, 1], label='EM估计分量1', marker='x', color='darkblue', s=50)
plt.scatter(X[idx2, 0], X[idx2, 1], label='EM估计分量2', marker='x', color='darkred', s=50)
plt.xlabel('特征1')
plt.ylabel('特征2')
plt.title('EM算法估计混合高斯分布效果对比')
plt.legend()
plt.grid(alpha=0.3)
# 子图2:对数似然随迭代次数变化
plt.subplot(2, 1, 2)
plt.plot(log_likelihoods, color='green', linewidth=2)
plt.xlabel('迭代次数')
plt.ylabel('对数似然值')
plt.title('EM算法对数似然值变化(单调递增)')
plt.grid(alpha=0.3)
plt.tight_layout()
plt.show()
# ===================== 5. 修复输出格式问题 =====================
# 正确格式化numpy数组的输出
print(f"真实均值:mu1={mu1}, mu2={mu2}")
# 对数组的每个元素分别格式化
print(f"EM估计均值:mu1=[{mu_est[0][0]:.2f}, {mu_est[0][1]:.2f}], mu2=[{mu_est[1][0]:.2f}, {mu_est[1][1]:.2f}]")
print(f"混合系数:pi1={pi_est[0]:.2f}, pi2={pi_est[1]:.2f}")
# 可选:输出协方差矩阵(格式化)
print("\nEM估计协方差矩阵:")
print(f"cov1=\n{cov_est[0].round(2)}")
print(f"cov2=\n{cov_est[1].round(2)}")
运行效果
核心思想
蒙特卡洛(Monte Carlo)法:通过随机采样来近似计算复杂的积分 / 期望,核心是 “用频率估计概率”。
完整代码 + 可视化对比
import numpy as np
import matplotlib.pyplot as plt
plt.rcParams['font.sans-serif'] = ['SimHei']
plt.rcParams['axes.unicode_minus'] = False
# ===================== 1. 蒙特卡洛积分(估算圆的面积) =====================
def monte_carlo_pi(n_samples):
"""用蒙特卡洛法估算π(等价于估算单位圆面积)"""
# 在[-1,1]x[-1,1]正方形内随机采样
x = np.random.uniform(-1, 1, n_samples)
y = np.random.uniform(-1, 1, n_samples)
# 判断是否在单位圆内(x² + y² ≤ 1)
inside = (x**2 + y**2) <= 1
# 圆面积 = 4 * (圆内点数 / 总点数),π = 圆面积(单位圆)
pi_est = 4 * np.sum(inside) / n_samples
return pi_est, x, y, inside
# 不同采样数量的对比
sample_sizes = [100, 1000, 10000, 100000]
pi_estimates = []
plt.figure(figsize=(15, 10))
for i, n in enumerate(sample_sizes):
pi_est, x, y, inside = monte_carlo_pi(n)
pi_estimates.append(pi_est)
# 绘制采样结果
plt.subplot(2, 2, i+1)
plt.scatter(x[inside], y[inside], color='blue', s=1, alpha=0.6, label='圆内点')
plt.scatter(x[~inside], y[~inside], color='red', s=1, alpha=0.6, label='圆外点')
plt.xlim(-1, 1)
plt.ylim(-1, 1)
plt.axis('equal') # 等比例坐标轴
plt.title(f'采样数={n},π估计值={pi_est:.4f}(真实π≈3.1416)')
plt.legend()
plt.grid(alpha=0.3)
plt.tight_layout()
plt.show()
# 输出不同采样数的估计结果
print("不同采样数量的π估计值:")
for n, pi_est in zip(sample_sizes, pi_estimates):
print(f"采样数{n}:{pi_est:.4f},误差={abs(pi_est - np.pi):.4f}")
运行效果
正则化的核心目标:防止模型过拟合,在损失函数中加入惩罚项,约束参数的复杂度。

完整代码 + 可视化对比
import numpy as np
import matplotlib.pyplot as plt
from sklearn.linear_model import LinearRegression, Lasso, Ridge
from sklearn.preprocessing import PolynomialFeatures, StandardScaler
from sklearn.pipeline import make_pipeline
from sklearn.metrics import mean_squared_error
plt.rcParams['font.sans-serif'] = ['SimHei']
plt.rcParams['axes.unicode_minus'] = False
# ===================== 1. 生成过拟合数据 =====================
np.random.seed(42)
x = np.linspace(0, 10, 20) # 少量样本,容易过拟合
y_true = np.sin(x)
y_noise = y_true + np.random.normal(0, 0.2, size=len(x))
# 测试集
x_test = np.linspace(0, 10, 100)
y_test_true = np.sin(x_test)
# ===================== 2. 构建不同正则化的模型(彻底解决收敛问题) =====================
# 统一管道结构:多项式特征 + 标准化 + 模型
poly = PolynomialFeatures(10) # 降低多项式次数,减少过拟合和优化难度
scaler = StandardScaler()
# 1. 无正则化(高次多项式过拟合)
model_none = make_pipeline(poly, LinearRegression())
model_none.fit(x.reshape(-1, 1), y_noise)
y_pred_none = model_none.predict(x_test.reshape(-1, 1))
# 2. L2正则化(Ridge)- 精准调参
model_ridge = make_pipeline(
poly,
scaler,
Ridge(
alpha=5e-4, # 降低alpha,平衡正则化强度
max_iter=1000,
random_state=42
)
)
model_ridge.fit(x.reshape(-1, 1), y_noise)
y_pred_ridge = model_ridge.predict(x_test.reshape(-1, 1))
# 3. L1正则化(Lasso)- 彻底解决收敛警告
model_lasso = make_pipeline(
poly,
scaler,
Lasso(
alpha=1e-4, # 适中的正则化强度
max_iter=100000, # 足够多的迭代次数
tol=1e-6, # 更严格的收敛阈值
random_state=42,
warm_start=True # 暖启动加速收敛
)
)
model_lasso.fit(x.reshape(-1, 1), y_noise)
y_pred_lasso = model_lasso.predict(x_test.reshape(-1, 1))
# ===================== 3. 可视化对比 =====================
plt.figure(figsize=(12, 7))
# 训练数据
plt.scatter(x, y_noise, label='训练数据(带噪声)', color='orange', s=60, zorder=5)
# 真实函数
plt.plot(x_test, y_test_true, label='真实函数 (sinx)', color='black', linewidth=3, zorder=4)
# 模型预测
plt.plot(x_test, y_pred_none, label='无正则化(过拟合)', color='red', linewidth=2, zorder=3)
plt.plot(x_test, y_pred_ridge, label='L2正则化(Ridge)', color='blue', linewidth=2, zorder=2)
plt.plot(x_test, y_pred_lasso, label='L1正则化(Lasso)', color='green', linewidth=2, zorder=1)
plt.xlabel('x', fontsize=12)
plt.ylabel('y', fontsize=12)
plt.title('正则化效果对比(无收敛警告 + 合理泛化)', fontsize=14)
plt.legend(fontsize=11)
plt.grid(alpha=0.3)
plt.tight_layout()
plt.show()
# ===================== 4. 详细结果分析 =====================
# 1. MSE性能对比
mse_none = mean_squared_error(y_test_true, y_pred_none)
mse_ridge = mean_squared_error(y_test_true, y_pred_ridge)
mse_lasso = mean_squared_error(y_test_true, y_pred_lasso)
print("=== 模型泛化能力对比(MSE越小越好)===")
print(f"无正则化 MSE:{mse_none:.4f}")
print(f"L2正则化 MSE:{mse_ridge:.4f}")
print(f"L1正则化 MSE:{mse_lasso:.4f}")
# 2. Lasso参数稀疏性分析
lasso_coef = model_lasso.named_steps['lasso'].coef_
zero_coef = np.sum(np.isclose(lasso_coef, 0, atol=1e-5)) # 浮点安全的零判断
non_zero_coef = len(lasso_coef) - zero_coef
print("\n=== Lasso正则化稀疏性分析 ===")
print(f"总参数数量:{len(lasso_coef)}")
print(f"零参数数量:{zero_coef}")
print(f"非零参数数量:{non_zero_coef}")
print(f"稀疏度(零参数占比):{zero_coef/len(lasso_coef):.2%}")
# 3. 输出关键参数值
print("\n=== 关键参数值 ===")
print(f"Lasso非零参数索引:{np.where(~np.isclose(lasso_coef, 0, atol=1e-5))[0]}")
print(f"Ridge模型alpha:{model_ridge.named_steps['ridge'].alpha}")
print(f"Lasso模型alpha:{model_lasso.named_steps['lasso'].alpha}")
运行效果
核心思想
样本增强:通过人工扩充训练样本(如旋转、翻转、加噪声),增加数据多样性,防止过拟合(以图像为例)。
完整代码 + 可视化对比
import numpy as np
import matplotlib.pyplot as plt
from skimage import data, transform, util
plt.rcParams['font.sans-serif'] = ['SimHei']
plt.rcParams['axes.unicode_minus'] = False
# ===================== 1. 加载示例图像 =====================
image = data.cat() # 加载猫咪示例图
image = transform.resize(image, (200, 200)) # 统一尺寸
# ===================== 2. 样本增强操作 =====================
# 原始图像
img_original = image
# 随机旋转
img_rotated = transform.rotate(image, angle=np.random.uniform(-30, 30), mode='reflect')
# 随机翻转(水平)
img_flipped = np.fliplr(image)
# 加噪声
img_noisy = util.random_noise(image, mode='gaussian', var=0.01)
# ===================== 3. 可视化对比 =====================
plt.figure(figsize=(12, 8))
plt.subplot(2, 2, 1)
plt.imshow(img_original)
plt.title('原始图像')
plt.axis('off')
plt.subplot(2, 2, 2)
plt.imshow(img_rotated)
plt.title('旋转增强')
plt.axis('off')
plt.subplot(2, 2, 3)
plt.imshow(img_flipped)
plt.title('水平翻转增强')
plt.axis('off')
plt.subplot(2, 2, 4)
plt.imshow(img_noisy)
plt.title('加噪声增强')
plt.axis('off')
plt.tight_layout()
plt.show()
运行效果
核心思想
对抗训练:在训练数据中加入微小的对抗扰动,让模型对噪声更鲁棒,提升泛化能力。
完整代码 + 可视化对比
import numpy as np
import matplotlib.pyplot as plt
from sklearn.datasets import load_digits
from sklearn.linear_model import LogisticRegression
from sklearn.metrics import accuracy_score
plt.rcParams['font.sans-serif'] = ['SimHei']
plt.rcParams['axes.unicode_minus'] = False
# ===================== 1. 加载数据(手写数字) =====================
digits = load_digits()
X, y = digits.data, digits.target
X = X / 16.0 # 归一化到[0,1]
# 划分训练集和测试集
split = int(0.8 * len(X))
X_train, X_test = X[:split], X[split:]
y_train, y_test = y[:split], y[split:]
# ===================== 2. 生成对抗样本(FGSM算法) =====================
def fgsm_attack(model, X, y, epsilon=0.1):
"""快速梯度符号法生成对抗样本"""
# 计算梯度(需要手动计算,sklearn模型需转换)
# 简化版:直接计算损失对输入的梯度符号
X_adv = X.copy()
for i in range(len(X)):
# 预测原始标签
y_pred = model.predict(X[i].reshape(1, -1))[0]
if y_pred != y[i]:
continue
# 随机扰动(简化版FGSM)
grad = np.sign(np.random.randn(*X[i].shape))
X_adv[i] = np.clip(X[i] + epsilon * grad, 0, 1)
return X_adv
# ===================== 3. 训练普通模型和对抗训练模型 =====================
# 普通模型
model_normal = LogisticRegression(max_iter=1000)
model_normal.fit(X_train, y_train)
# 生成训练集的对抗样本
X_train_adv = fgsm_attack(model_normal, X_train, y_train, epsilon=0.1)
# 对抗训练模型(混合原始样本和对抗样本)
X_train_mix = np.vstack([X_train, X_train_adv])
y_train_mix = np.hstack([y_train, y_train])
model_adv = LogisticRegression(max_iter=1000)
model_adv.fit(X_train_mix, y_train_mix)
# ===================== 4. 测试对抗样本的鲁棒性 =====================
# 生成测试集的对抗样本
X_test_adv = fgsm_attack(model_normal, X_test, y_test, epsilon=0.1)
# 普通模型在普通/对抗样本上的准确率
acc_normal_clean = accuracy_score(y_test, model_normal.predict(X_test))
acc_normal_adv = accuracy_score(y_test, model_normal.predict(X_test_adv))
# 对抗训练模型在普通/对抗样本上的准确率
acc_adv_clean = accuracy_score(y_test, model_adv.predict(X_test))
acc_adv_adv = accuracy_score(y_test, model_adv.predict(X_test_adv))
# ===================== 5. 可视化对比 =====================
# 展示原始样本和对抗样本
plt.figure(figsize=(10, 6))
idx = 0
# 原始样本
plt.subplot(1, 2, 1)
plt.imshow(X_test[idx].reshape(8, 8), cmap='gray')
plt.title(f'原始样本(标签:{y_test[idx]})')
plt.axis('off')
# 对抗样本
plt.subplot(1, 2, 2)
plt.imshow(X_test_adv[idx].reshape(8, 8), cmap='gray')
plt.title(f'对抗样本(普通模型预测:{model_normal.predict(X_test_adv[idx].reshape(1, -1))[0]})')
plt.axis('off')
plt.tight_layout()
plt.show()
# 输出准确率对比
print("准确率对比:")
print(f"普通模型-普通样本:{acc_normal_clean:.4f}")
print(f"普通模型-对抗样本:{acc_normal_adv:.4f}")
print(f"对抗训练模型-普通样本:{acc_adv_clean:.4f}")
print(f"对抗训练模型-对抗样本:{acc_adv_adv:.4f}")
运行效果


