开关调节系统(Switching Regulator Systems)不仅仅是一个电路,它本质上是一个负反馈控制系统。要设计一个性能优良的开关电源,必须从控制理论的角度去分析它。
这一领域的核心在于**“小信号模型”**:即把开关管的高速切换看作是一个线性增益块,从而将非线性的开关电路转化为线性的控制系统来分析。
以下是关于开关调节系统、时域性能指标和频域性能指标的深度解析。
一个典型的开关调节系统(以Buck转换器为例)由以下四个部分组成:

为了评价控制系统性能的优劣,一般可根据系统的单位阶跃响应曲线,采用某些数值型的特征参量描述系统的动态性能,这些特征参量就称为时域性能指标。下面结合下图:

图中所示的线性时不变系统的单位阶跃响应曲线定义时域性能指标。时域性能指标可分为静态性能指标和动态性能指标,其中静态性能指标主要是指静态误差Ess;动态性能指标又可分为跟随性能指标和稳定性能指标,跟随性能指标主要有延迟时间、上升时间、峰值时间、调节时间、超调量等。
1、稳态误差Ess 稳态误差Ess是系统控制精度的度量。稳态误差Ess是系统控制精度的度量。它是指系统在典型信号Vref(t) (例如,阶跃输人)作用下,当时间t趋于无穷大时,系统实际输出值与期望值之差。利用终值定理,即有

式中: e(t) 是系统实际输出值与期望值之差; E(s)、Vref(s)分别是e(t)和Vref(t)的象函数;T(s)是线性时不变系统的环路增益或开环传递函数。通常使用单位阶跃信号作为系统的输人信号。在单位阶跃信号的作用下,0型系统的稳态误差1/[1 + T(0)],I型或高于I型的系统稳态误差为零。
2、延迟时间td
延迟时间td是指从单位阶跃信号变化开始(1=0) 到输出响应从其初值第一次到达稳态值( h(∞))的一半所需时间。
3、上升时间tr
上升时间tr,是指输出响应从稳态值的10%到90%所需时间。有时为了计算方便,定义上升时间tr,指从单位阶跃信号变化开始(t=0)到输出响应从其初值第一次到达稳态值(h(∞))所需时间。
4、峰值时间tp
峰值时间tp是指从单位阶跃信号变化开始(t=0)到输出响应到达第一个峰值所需时间。
5、调节时间ts。
调节时间ts。是指输出响应到达并保持在稳态值的正负5%或正负2%误差范围内所需的最少时间。
6、超调量σ%
超调量σ%是指输出响应的最大偏离量和稳态值差值与稳态值之比的百分数,即

式中: h(tp)为: t= tp时的h值; h(∞)为h(t)的稳态值。
7、动态跌落AV
在系统稳态工作时,突然施加一个标准规定的扰动F后,所导致的输出量跌落的最大值AV定义为动态跌落,其定义式为

式中:Vo1、A分别表示原稳态值和下冲值。输出量在动态跌落后逐渐恢复达到新的稳态值为Vo2。
8、恢复时间tv,
在自动控制系统中,恢复时间i↓定义从阶跃扰动作用开始,到输出量到达并保持在新稳态值的土5%或士2%误差范围内允差带△所需的最少时间。
上述前6个指标基本便可以表征开关调节系统的动态特征。
下面结合图所示一个典型系统开环传递函数的对数幅频特性(简称为开环对数幅频特性)和相频特性(简称为开环对数相频特性)介绍其开环频域性能指标。

1.穿越频率(fc)wc。
开环对数幅频特性等于0dB时所对应的频率值,称为开环穿越频率或截止频率wc。它表征系统响应的快速性能,其值越大,系统的快速性能越好。为了使阶跃响应不产生超调(对于二阶系统,ζ2 >0.5),穿越频率wc应位于斜率为- 20dB/ dec的线段。如果中频段的斜率为- 20dB/dec,则系统必然稳定。
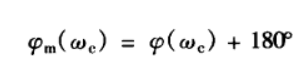
2.相位裕量
相位裕量定义为:在w= wc时开环对数频率特性相频特性曲线的相位值与-180°之差,即

相位裕量的物理意义:为了保持系统稳定,系统开环频率特性在w = we时所允许增加的最大相位滞后量。如果相位裕量 > 0,则系统稳定;如果φm(wc) = 0,则系统临界稳定;如果φm(wc) < 0,则系统不稳定。工程上相位裕量为45°时表示足够。
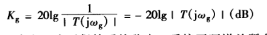
3.增益裕量Kg
增益裕量Kg,,是指相角wg= 180°时所对应的幅值倒数的分贝数,即

增益裕量Kg的物理意义是为了保持系统稳定,系统开环增益所允许增加的最大分贝数。若Kg>0,则系统稳定; Kg=0, 则系统临界稳定; Kg<0,则系统不稳定。对于一个自动控制系统,通常工程领域认为Kg≥10dB,则系统具有足够的幅度裕度。
在工程设计时保留适当的相位裕量和增益裕量,是为了保证实际系统各元件参数发生小范围变化后系统仍是稳定的。
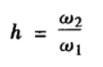
4.中频宽度h 开环对数幅频特性以斜率为- 20dB/ dec过横轴的线段在w轴上所占的宽度称为中频宽度(或称中频带宽),如上图所示,即

中频带宽反映了系统的稳定程度,h愈大,系统的相角裕量愈大。
本文参考开关变换器的建模与控制+张卫平编著,如像看更加详细介绍可以查看该书籍。