
Oxidopamine(6-OHDA,6-Hydroxydopamine,AbMole,M7832)hydrochloride是一种羟基化的多巴胺类似物,因其能够选择性诱导多巴胺能神经元的损伤,被广泛用于模拟帕金森病相关病理变化的实验研究[1]。6-Hydroxydopamine hydrochloride(CAS No.:28094-15-7)的作用机制主要涉及氧化应激和线粒体功能损伤:6-OHDA通过多巴胺转运体(DAT)进入神经元后,发生非酶促自氧化,产生活性氧(ROS),导致线粒体呼吸链功能障碍,进而引发神经元损伤和死亡[1]。此外,6-OHDA还能显著降低神经元线粒体膜电位,激活Caspase-3等凋亡相关通路,进一步加剧细胞损伤[2]。在科研应用中,6-OHDA常通过颅内注射(如大鼠纹状体或黑质部位)建立帕金森病动物模型。例如,单侧纹状体注射6-OHDA可导致黑质多巴胺能神经元退化,并伴随运动行为异常[3],这种模型被用于研究神经保护策略的潜在效果。此外,6-OHDA(6-OHDA,6-Hydroxydopamine,AbMole,M7832)hydrochloride还被用于模拟非运动症状(如焦虑和呼吸异常),例如大鼠模型中发现6-OHDA注射可降低延髓后疑核区Phox2b表达,导致呼吸频率异常[4]。在细胞模型中,6-OHDA常用于构建细胞损伤模型,例如Oxidopamine hydrochloride(6-羟基多巴胺盐酸盐)可用于人神经母细胞瘤SH-SY5Y细胞系或大鼠嗜铬细胞瘤PC-12细胞系,通过诱导氧化应激和凋亡来评估化合物的神经保护作用[4]。AbMole为全球科研客户提供高纯度、高生物活性的抑制剂、细胞因子、人源单抗、天然产物、荧光染料、多肽、化合物库、抗生素等科研试剂,全球大量文献专利引用。

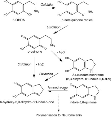
Simplified autooxidation scheme for 6-OHDA showing the toxic species discussed in the text[5].
参考文献及鸣谢
[1] Iglesias Gonzalez, P. A.; Conde, M. A.; Gonzalez-Pardo, V.; et al. In vitro 6-hydroxydopamine-induced neurotoxicity: New insights on NFkappaB modulation. Toxicology in vitro : an international journal published in association with BIBRA 2019, 60, 400-411.
[2] Silva, J.; Alves, C.; Freitas, R.; et al. Antioxidant and Neuroprotective Potential of the Brown Seaweed Bifurcaria bifurcata in an in vitro Parkinson's Disease Model. Marine drugs 2019, 17 (2).
[3] Bethel-Brown, C. S.; Zhang, H.; Fowler, S. C.; et al. Within-session analysis of amphetamine-elicited rotation behavior reveals differences between young adult and middle-aged F344/BN rats with partial unilateral striatal dopamine depletion. Pharmacology, biochemistry, and behavior 2010, 96 (4), 423-428.
[4] Batista, L. A.; Cabral, L. M.; Moreira, T. S.; et al. Inhibition of anandamide hydrolysis does not rescue respiratory abnormalities observed in an animal model of Parkinson's disease. Experimental physiology 2022, 107 (2), 161-174.
[5] Varešlija, D.; Tipton, K. F.; Davey, G. P.; et al. 6-Hydroxydopamine: a far from simple neurotoxin. Journal of neural transmission (Vienna, Austria : 1996) 2020, 127 (2), 213-230.
原创声明:本文系作者授权腾讯云开发者社区发表,未经许可,不得转载。
如有侵权,请联系 cloudcommunity@tencent.com 删除。
原创声明:本文系作者授权腾讯云开发者社区发表,未经许可,不得转载。
如有侵权,请联系 cloudcommunity@tencent.com 删除。