首页
学习
活动
专区
圈层
工具
发布
社区首页 >专栏 >无约束优化方法——信赖域法原理

无约束优化方法——信赖域法原理

原创
作者头像
用户10150864
修改2025-10-01 10:38:30
修改2025-10-01 10:38:30
1370
举报
文章被收录于专栏:机器学习机器学习

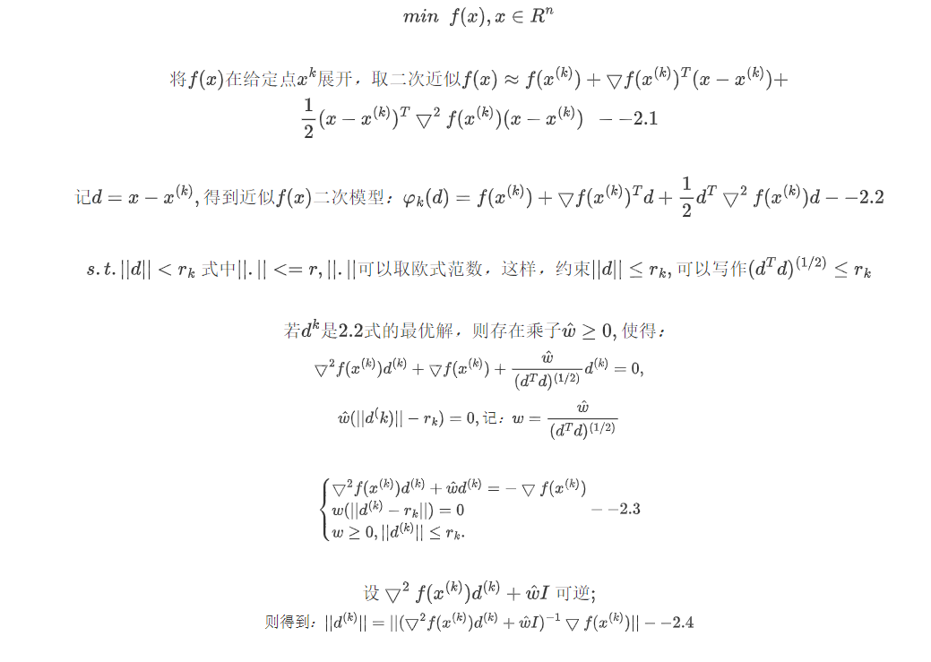
一、方法简介

二、推导

三、参考资料

《最优化理论与方法》(陈宝林, 2005.10 第二版)等

无约束优化方法——信赖域法原理

无约束优化方法——信赖域法原理

无约束优化方法——信赖域法原理

无约束优化方法——信赖域法原理

原创声明:本文系作者授权腾讯云开发者社区发表,未经许可,不得转载。

如有侵权,请联系 cloudcommunity@tencent.com 删除。

原创声明:本文系作者授权腾讯云开发者社区发表,未经许可,不得转载。

如有侵权,请联系 cloudcommunity@tencent.com 删除。

评论
登录后参与评论
0 条评论
热度
最新
推荐阅读
目录
  • 一、方法简介
  • 二、推导
  • 三、参考资料
领券
问题归档专栏文章快讯文章归档关键词归档开发者手册归档开发者手册 Section 归档