最近搞毕业设计遇到了一些理论力学的问题,发现自己忘记的好快,所以来回顾一下。理论力学是各种力学的基础,讨论物体不失效,不变形情况下运动和力的关系
理论力学主要分为三大部分:
静力学内容比较少,也比较简单,其主要思想是分而治之。这一块的核心就是画受力分析图,然后根据受力分析图求解约束力。其中要注意的地方就是力和力偶的概念,还有他们的相互转化。其主要内容包括:

运动学稍微多一点,但是同样比较简单,就是公式变多了。这一块的核心是选择动点动系画运动图,然后根据对应的公式进行求解。要注意点的绝对运动、相对运动、牵连运动的概念,然后有个科氏加速度。这一块的知识在机械原理中会在此用到。其主要内容是:

这一块内容很多很杂,求解方法也有很多。主要有两派,一派是以牛顿为主导的经典力学解法,在笛卡尔坐标系下用动量动量矩动能定理求解,另一派是以拉格朗日为主导的分析力学的解法,在广义坐标系下用拉格朗日方程求解。其中,分析力学以经典力学中的达朗贝尔原理和虚位移原理作为基础,主要研究功能关系,不需要复杂的运动学求解。
在这个里面最重要的思想是守恒,还有达朗贝尔原理、虚功原理和广义坐标系。这一块也是理论力学的核心,同时,这一块的知识在材料力学中会使用到。
经典力学主要内容如下:

分析力学主要内容如下: (这里为理论力学Ⅱ的部分内容)

import sympy as sym
sym.init_printing(use_latex="mathjax")这个题目的来源是模拟 https://www.bilibili.com/video/BV17A411h7wJ 这个视频 10:33 的内容,通过这个巩固一下自己的理论力学和编程能力。这个也是 https://wuter.cn/2020/04/04/%e7%94%a8python%e6%9d%a5%e8%ae%a1%e7%ae%97/ 这篇文章的应用实例
已知两个物体通过一根绳子挂在一根柱子上,其中有一个物体有动能,该物体运动至最高处的状态如图所示,忽略摩擦以及柱子的直径,求其运动方程
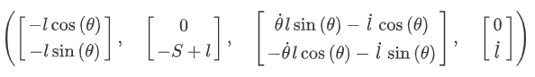
取如图所示,m,M为物体质量,l,θ为有动能的物体到柱子的长度和绳子的角度,绳子总长S,易得两个物体的坐标可以表示为


对时间求导,可以得到他们的速度为

l, theta, dl, dtheta, S = sym.symbols(r'l, theta, \dot{l}, \dot{\theta}, S')
pm, pM = sym.Matrix([-l*sym.cos(theta), -l*sym.sin(theta)]), sym.Matrix([0, l-S])
dpm, dpM = sym.Matrix([-dl*sym.cos(theta) + l*dtheta*sym.sin(theta), -dl*sym.sin(theta)-l*dtheta*sym.cos(theta)]), sym.Matrix([0, dl])
pm, pM, dpm, dpM
求解其动能和势能为
m, M , g= sym.symbols(r"m, M, g")
T = (1/2*m*dpm.T*dpm + 1/2*M*dpM.T*dpM)[0]<br>V = m*g*pm[1] + M*g*pM[1]
T, V
L = T - V为
L = T - V
L
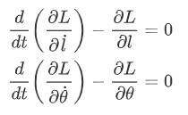
由拉格朗日方程得

func_temp = sym.Matrix([[sym.diff(L, dl), sym.diff(L, l)]
[sym.diff(L, dtheta), sym.diff(L, theta)]])
sym.simplify(func_temp)
ddl, ddtheta = sym.symbols(r"\ddot{l}, \ddot{\theta}")
dLddl = ddl*(M + m)
dLddtheta = ddtheta*l**2*m + 2*dtheta*l*m*dl
sym.simplify(sym.Matrix([dLddl-sym.diff(L, l), dLddtheta-sym.diff(L, theta)]))
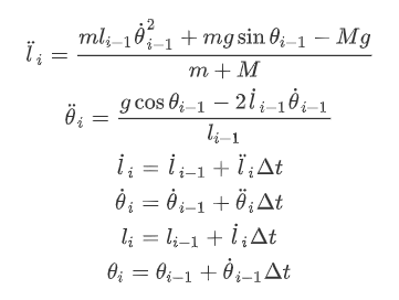
整理得到微分方程

取初始条件

用数值(暴力)解法可以写出迭代式

这样就可以求解出位置关于时间的函数,绘制成动画如下