好事发生
推荐文章:https://cloud.tencent.com/developer/article/2470928?shareByChannel=link
这篇文章详细介绍了如何在 Linux Ubuntu 系统中使用 Docker 部署 Paint Board,并结合 cpolar 内网穿透工具实现远程访问。以下是推荐理由:
总而言之,这篇文章为希望在 Linux 环境下部署并远程访问 Paint Board 的用户提供了清晰、实用的指导,值得推荐。
GAN在提出之后,一直很火。但是其存在诸多的难点,首先难以平衡G(生成器)和D(判别器)之间的训练,同时容易造成模型坍塌。因此在训练GAN时会很难。
这一点在训练判别器时极为重要。使用硬标签(非 1 即 0)几乎会在早期就摧毁所有的学习进程,导致判别器的损失迅速趋近于 0。可以采用一个 0-0.1 之间的随机数来代表「标签 0」(真实数据),并使用一个 0.9-1 之间的随机数来代表 「标签 1」(生成数据)。在训练生成器时则不用这样做。
此外,添加一些带噪声的标签是有所帮助的。将输入给判别器的图像中的 5% 的标签随机进行了反转,即真实数据被标记为生成数据、生成数据被标记为真实数据。
每训练一次判别器,训练K次生成器;这样可以充分让生成器在前期进行学习。
使用了Wasserstein损失,去掉了判别器最后一层的sigmoid和log,直接优化Wasserstein距离,但是WGAN需要对判别器做Weight Clip,比较麻烦,而且不能用动量优化(包括momentum和Adam),通常使用RMSProp来优化WGAN
改进了WGAN中的weight clip(权重截断),基于梯度惩罚的loss替代WGAN中的Weight Clip,从而产生比WGAN更高质量的样本,这个loss是可以用Adam来优化的。

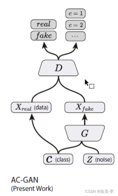
如上图所示,ACGAN相对于GAN不同点在于:
(1)GAN只有Z即噪声作为输入变量,ACGAN多了一个分类变量
(2)GAN输出只有判定数据真假判断,而ACGAN除了真假外增加了类别判断
在模型训练时,需要通过梯度来观察整个模型是否有学习到,可以通过其梯度进行观察
(1)判别器顶层梯度

(2)生成器顶层梯度

判别器一开始就接受了高梯度更新,导致判别器一开始的判别能力已经很强了;而生成器一开始的只接受较少的梯度用于更新参数,导致生成器效果较差。
利用上面的方法修改过后,生成器一开始可以接受大的梯度进行更新,同时梯度分布来看更加集中。

原创声明:本文系作者授权腾讯云开发者社区发表,未经许可,不得转载。
如有侵权,请联系 cloudcommunity@tencent.com 删除。
原创声明:本文系作者授权腾讯云开发者社区发表,未经许可,不得转载。
如有侵权,请联系 cloudcommunity@tencent.com 删除。