
链表是一种通过指针串联在一起的线性结构,每一个节点由两部分组成,一个是数据域一个是指针域(存放指向下一个节点的指针),最后一个节点的指针域指向null(空指针的意思),链表的类型有单链表、双链表、循环链表。
本系列博文将通过一些力扣算法题目,边学习TypeScipt边实战算法,这篇将通过一些经典算法题熟悉TS语言链表的一些基本操作。(部分算法思想参考于程序员Carl:代码随想录)
链表是一种物理存储单元上非连续、非顺序的存储结构,数据元素的逻辑顺序是通过链表中的指针链接次序实现的。链表由一系列结点(链表中每一个元素称为结点)组成,结点可以在运行时动态生成。每个结点包括两个部分:一个是存储数据元素的数据域,另一个是存储下一个结点地址的指针域。
链表包括val和next,其中next是ListNode|null类型,next指向的是下一个节点,为ListNode类设计一个构造函数constructor,如下所示:
class ListNode {
public val: number;
public next: ListNode | null;
constructor(val?: number, next?: ListNode | null) {
this.val = val === undefined ? 0 : val;
this.next = next === undefined ? null : next;
}
}力扣链接:https://leetcode.cn/problems/remove-linked-list-elements/
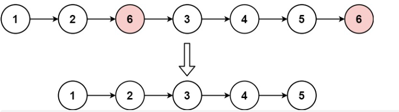
给你一个链表的头节点 head 和一个整数 val ,请你删除链表中所有满足 Node.val == val 的节点,并返回 新的头节点 。

输入:head = [1,2,6,3,4,5,6], val = 6 输出:[1,2,3,4,5]
示例 2: 输入:head = [], val = 1 输出:[]
示例 3: 输入:head = [7,7,7,7], val = 7 输出:[]
function removeElements(head: ListNode | null, val: number): ListNode | null {
while(head != null && head.val == val)
head = head.next;
if(head == null)
return head;
let pre: ListNode = head;
while(pre.next!=null){
let next: ListNode|null = pre.next;
if(next.val == val){
pre.next = next.next;
}
else
pre = pre.next;
}
return head;
};力扣链接:https://leetcode.cn/problems/design-linked-list/
设计链表的实现。您可以选择使用单链表或双链表。单链表中的节点应该具有两个属性:val 和 next。val 是当前节点的值,next 是指向下一个节点的指针/引用。如果要使用双向链表,则还需要一个属性 prev 以指示链表中的上一个节点。假设链表中的所有节点都是 0-index 的。
在链表类中实现这些功能:
get(index):获取链表中第 index 个节点的值。如果索引无效,则返回-1。
addAtHead(val):在链表的第一个元素之前添加一个值为 val 的节点。插入后,新节点将成为链表的第一个节点。
addAtTail(val):将值为 val 的节点追加到链表的最后一个元素。
addAtIndex(index,val):在链表中的第 index 个节点之前添加值为 val 的节点。如果 index 等于链表的长度,则该节点将附加到链表的末尾。如果 index 大于链表长度,则不会插入节点。如果index小于0,则在头部插入节点。
deleteAtIndex(index):如果索引 index 有效,则删除链表中的第 index 个节点。
MyLinkedList linkedList = new MyLinkedList(); linkedList.addAtHead(1); linkedList.addAtTail(3); linkedList.addAtIndex(1,2); //链表变为1-> 2-> 3 linkedList.get(1); //返回2 linkedList.deleteAtIndex(1); //现在链表是1-> 3 linkedList.get(1); //返回3
// class ListNode {
// public val: number;
// public next: ListNode | null;
// constructor(val?: number, next?: ListNode | null) {
// this.val = val === undefined ? 0 : val;
// this.next = next === undefined ? null : next;
// }
// }
class MyLinkedList {
private size: number;
private head: ListNode | null; // 指向头结点
private tail: ListNode | null; // 指向尾结点
constructor() {
this.size = 0;
this.head = null;
this.tail = null;
}
getNode(index: number): ListNode{
let curNode: ListNode = new ListNode(-1, this.head);
for(let i = 0; i <= index; i++){
curNode = curNode.next;
}
return curNode;
}
get(index: number): number {
if(index < 0)
return -1;
if(index >= this.size)
return -1;
let curNode: ListNode = new ListNode(-1, this.head);
for(let i = 0; i <= index; i++){
curNode = curNode.next;
}
return curNode.val;
}
addAtHead(val: number): void { // 在链表的第一个元素之前添加一个值为 val 的节点。插入后,新节点将成为链表的第一个节点。
let node: ListNode = new ListNode(val, this.head);
this.head = node;
if(!this.tail)
this.tail = node;
this.size ++;
}
addAtTail(val: number): void { //在链表的第一个元素之前添加一个值为 val 的节点。插入后,新节点将成为链表的第一个节点。
let node: ListNode = new ListNode(val, null);
if(this.tail)
this.tail.next = node;
else
this.head = node;
this.tail = node;
this.size ++;
}
addAtIndex(index: number, val: number): void { //在链表中的第 index 个节点之前添加值为 val 的节点。如果 index 等于链表的长度,则该节点将附加到链表的末尾。如果 index 大于链表长度,则不会插入节点。如果index小于0,则在头部插入节点。
if(index <= 0){
this.addAtHead(val);
return;
}
if(index === this.size){
this.addAtTail(val);
return;
}
if(index > this.size)
return;
let curNode: ListNode = this.getNode(index - 1);
let node: ListNode = new ListNode(val, curNode.next);
curNode.next = node;
this.size++;
}
deleteAtIndex(index: number): void {//如果索引 index 有效,则删除链表中的第 index 个节点。
if (index < 0 || index >= this.size) {
return;
}
// 处理头节点
if (index === 0) {
this.head = this.head!.next;
// 如果链表中只有一个元素,删除头节点后,需要处理尾节点
if (index === this.size - 1) {
this.tail = null
}
this.size--;
return;
}
// 索引有效
let curNode: ListNode = this.getNode(index - 1);
curNode.next = curNode.next!.next;
// 处理尾节点
if (index === this.size - 1) {
this.tail = curNode;
}
this.size--;
}
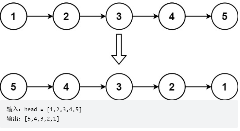
};力扣链接:https://leetcode.cn/problems/reverse-linked-list/
给你单链表的头节点 head ,请你反转链表,并返回反转后的链表。

使用双指针法(一个head,一个cur),要注意额外使用一个temp把 cur->next 节点保存一下
/**
* Definition for singly-linked list.
* class ListNode {
* val: number
* next: ListNode | null
* constructor(val?: number, next?: ListNode | null) {
* this.val = (val===undefined ? 0 : val)
* this.next = (next===undefined ? null : next)
* }
* }
*/
function reverseList(head: ListNode | null): ListNode | null {
if(head == null)
return null;
// 双指针法 要注意把 cur->next 节点用tmp指针保存一下
let cur: ListNode = null;
let temp: ListNode = null;
while(head){
temp = head.next;
head.next = cur;
cur = head;
head = temp;
}
return cur;
};使用递归法,其实依旧也是使用的双指针法。
function reverseList(head: ListNode | null): ListNode | null {
if(head == null)
return null;
function rever(pre: ListNode | null, cur: ListNode | null): ListNode | null{
if(cur == null)
return pre;
let temp: ListNode | null = cur.next;
cur.next = pre;
pre = cur;
cur = temp;
return rever(pre, cur);
}
return rever(null, head);
};力扣链接:https://leetcode.cn/problems/swap-nodes-in-pairs/ 给你一个链表,两两交换其中相邻的节点,并返回交换后链表的头节点。你必须在不修改节点内部的值的情况下完成本题(即,只能进行节点交换)。

使用模拟法,首先创建一个虚拟头结点指向head,这样一方面可以保存好链表的头,另一方面也更好操作。 从开始看不太好理解,我们从中间开始看,首先把1 2 3 4链表变成 2 1 3 4,然后我们需要翻转第二次即 2 1 3 4变为 2 1 4 3,要做三件事情,1.next=4;3.next=4.next;4.next =3; 变换之后,再进行第三次的翻转、第四次、…直到结束(循环和递归都可以实现)
实现上,使用三个指针,pre、head、tail来做,具体如下:
/**
* Definition for singly-linked list.
* class ListNode {
* val: number
* next: ListNode | null
* constructor(val?: number, next?: ListNode | null) {
* this.val = (val===undefined ? 0 : val)
* this.next = (next===undefined ? null : next)
* }
* }
*/
function swapPairs(head: ListNode | null): ListNode | null {
if(head ===null || head.next === null)
return head;
let virNode: ListNode = new ListNode(-1, head); //创建一个虚拟头结点
let preNode: ListNode = virNode;
while(head != null && head.next !=null){
let tailNode: ListNode = head.next;
preNode.next = tailNode; // 1.next=4
head.next = tailNode.next; // 3.next=4.next
tailNode.next = head; // 4.next=3
preNode = head;
head = head.next;
}
return virNode.next;
};官方递归法:
用 head 表示原始链表的头节点,新的链表的第二个节点,用 newHead 表示新的链表的头节点,原始链表的第二个节点,则原始链表中的其余节点的头节点是 newHead.next。令 head.next = swapPairs(newHead.next),表示将其余节点进行两两交换,交换后的新的头节点为 head 的下一个节点。然后令 newHead.next = head,即完成了所有节点的交换。最后返回新的链表的头节点 newHead。
可以看到递归法把链表分成两个部分,前面两个节点和后面其他的节点,我们以第一次翻转开始模拟,要做的步骤是:newhead指向当前第二个节点,head指向当前第一个节点,head.next指向后面的链表,newhead.next指向head,然后进入下一次翻转递归,下一次递归就不用看前面的节点了,返回值为翻转后的当前子链表的头结点。
function swapPairs(head: ListNode | null): ListNode | null {
if (head === null|| head.next === null) {
return head;
}
let newHead: ListNode = head.next;
head.next = swapPairs(newHead.next);
newHead.next = head; //
return newHead;
};力扣链接:https://leetcode.cn/problems/remove-nth-node-from-end-of-list/
给你一个链表,删除链表的倒数第 n 个结点,并且返回链表的头结点。

使用两个指针pre和last,异步启动。让last先行,pre后行,last = last.next,当last走了n步时,pre就可以开始走了,这样当last走到末尾时,pre刚好就是倒数第几个。 这样就实现一次遍历,达到效果。
/**
* Definition for singly-linked list.
* class ListNode {
* val: number
* next: ListNode | null
* constructor(val?: number, next?: ListNode | null) {
* this.val = (val===undefined ? 0 : val)
* this.next = (next===undefined ? null : next)
* }
* }
*/
function removeNthFromEnd(head: ListNode | null, n: number): ListNode | null {
let virNode: ListNode = new ListNode(-1,head);
let preNode: ListNode = virNode;
let lastNode: ListNode = new ListNode(-1, head);
while(lastNode != null && lastNode.next != null){
if(n == 0)
preNode = preNode.next;
else
n--;
lastNode = lastNode.next;
}
preNode.next = preNode.next.next;
return virNode.next;
};力扣链接:https://leetcode.cn/problems/intersection-of-two-linked-lists-lcci/
给你两个单链表的头节点 headA 和 headB ,请你找出并返回两个单链表相交的起始节点。如果两个链表没有交点,返回 null 。


两次寻找A==B的点,当A访问到尾部后,将其重新置为B的头部,B访问到尾部后,将其重新置为A的头部,这样找就补足了A和B的长度差,第二次A和B就会相遇。
function getIntersectionNode(headA: ListNode | null, headB: ListNode | null): ListNode | null {
let A: ListNode | null = headA;
let B: ListNode | null = headB;
while (A != B) {
A = A != null ? A.next : headB;
B = B != null ? B.next : headA;
}
return A;
};力扣链接:https://leetcode.cn/problems/linked-list-cycle-ii/
给定一个链表的头节点 head ,返回链表开始入环的第一个节点。 如果链表无环,则返回 null。
如果链表中有某个节点,可以通过连续跟踪 next 指针再次到达,则链表中存在环。 为了表示给定链表中的环,评测系统内部使用整数 pos 来表示链表尾连接到链表中的位置(索引从 0 开始)。如果 pos 是 -1,则在该链表中没有环。注意:pos 不作为参数进行传递,仅仅是为了标识链表的实际情况。不允许修改链表。

使用快慢指针法,快指针一次走两格,慢指针一次走一格。 主要需要解决两个问题:
/**
* Definition for singly-linked list.
* class ListNode {
* val: number
* next: ListNode | null
* constructor(val?: number, next?: ListNode | null) {
* this.val = (val===undefined ? 0 : val)
* this.next = (next===undefined ? null : next)
* }
* }
*/
function detectCycle(head: ListNode | null): ListNode | null {
let slowNode: ListNode | null = head,
fastNode: ListNode | null = head;
while(fastNode !== null && fastNode.next !== null){
slowNode = slowNode.next;
fastNode = fastNode.next.next;
if(slowNode === fastNode){
slowNode = head;
while(slowNode !== fastNode){
slowNode = slowNode.next;
fastNode = fastNode.next;
}
return slowNode;
}
}
return null;
};原创声明:本文系作者授权腾讯云开发者社区发表,未经许可,不得转载。
如有侵权,请联系 cloudcommunity@tencent.com 删除。
原创声明:本文系作者授权腾讯云开发者社区发表,未经许可,不得转载。
如有侵权,请联系 cloudcommunity@tencent.com 删除。