树是一种非线性的数据结构,它是由n(n>=0)个有限结点组成一个具有层次关系的集合。把它叫做树是因 为它看起来像一棵倒挂的树,也就是说它是根朝上,而叶朝下的

注意:树形结构中,子树之间不能有交集,否则就不是树形结构


树结构相对线性表就比较复杂了,要存储表示起来就比较麻烦了,既要保存值域,也要保存结点和结点之间的关系,实际中树有很多种表示方式如:双亲表示法,孩子表示法、孩子双亲表示法以及孩子兄弟表示法等
我们这里就简单的了解其中最常用的孩子兄弟表示法


(表示文件系统的目录树结构)

一棵二叉树是结点的一个有限集合,该集合:

从上图可以看出:
注意:对于任意的二叉树都是由以下几种情况复合而成的:

现实中的二叉树


2.3 二叉树的性质
若i>0,i位置节点的双亲序号:(i-1)/2;i=0,i为根节点编号,无双亲节点 若2i+1<n,左孩子序号:2i+1,2i+1>=n否则无左孩子 若2i+2<n,右孩子序号:2i+2,2i+2>=n否则无右孩子
二叉树一般可以使用两种结构存储,一种顺序结构,一种链式结构
顺序结构存储就是使用数组来存储,一般使用数组只适合表示完全二叉树,因为不是完全二叉树会有空间的浪费。而现实中使用中只有堆才会使用数组来存储,二叉树顺序存储在物理上是一个数组,在逻辑上是一颗二叉树
只有满二叉树或者完全二叉树才适合这种存储


父子节点间下标有一个规律关系:
二叉树的链式存储结构是指,用链表来表示一棵二叉树,即用链来指示元素的逻辑关系。 通常的方法是链表中每个结点由三个域组成,数据域和左右指针域,左右指针分别用来给出该结点左孩子和右孩子所在的链结点的存储地址 。链式结构又分为二叉链和三叉链。




二叉树链式结构的实现参考此文章:【数据结构】二叉树链式结构-CSDN博客

堆的性质:

堆一般是把数组数据看做是一棵完全二叉树
比如:

我们分别分析一下:这个题选A

我们数据结构中学的堆和C语言操作系统中学的堆不是一个东西,他们只是名字相同而已
现在我们给出一个数组,逻辑上看做一颗完全二叉树。我们通过从根节点开始的向下调整算法可以把它调整成一个小堆
向下调整算法有一个前提:左右子树必须是一个堆,才能调整

下面我们给出一个数组
现在我们通过算法,把它构建成一个堆
一个非叶子节点的子树开始调整,一直调整到根节点的树,就可以调整成堆


我们用一个动态顺序表来实现堆,创建一个结构体封装顺序表






先插入一个10到数组的尾上,再进行向上调整算法,直到满足堆

这里我们以小堆为例,父亲节点小于儿子节点

以这棵树为例,
在逻辑结构上是一棵二叉树
而在物理结构上是顺序表(即数组)
如果我们分别插入10,20,30

具体的流程如图

这里的算法思路是:插入到数组,如果child小于parent,则交换child和parent的值,child的坐标调整到parent,parent则调整到(parent-1)/2,继续进行比较交换,直到child调整到0位置结束,这就是向上调整的思路
向上调整的时间复杂度是O(logN)


删除堆是删除堆顶的数据,将堆顶的数据根最后一个数据一换,然后删除数组最后一个数据,再进行向下调整算法

删除我们规定删除堆顶的值,即删除根节点的值
要求删除根节点之后依然是一个堆
我们的思路是:

交换之后左右子树依旧是小堆

向下调整算法的思路是:

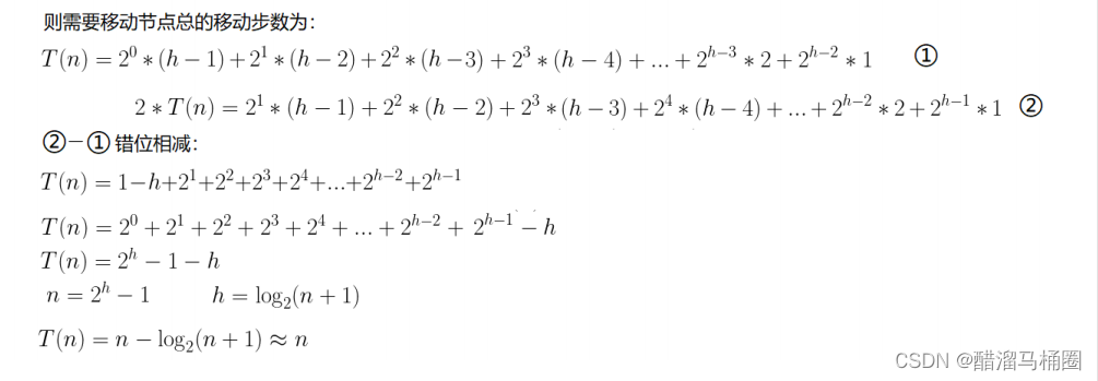
向下调整的时间复杂度是O(logN)
具体的思路是:
找小节点:先找左节点,如果有右节点则比较左右节点,没有就直接是左节点
交换:如果child节点小于parent节点,则交换child和parent的值,然后parent走到child,child走到(parent*2+1)
如果走到叶子节点或者child大于parent节点就跳出循环







堆总是一棵完全二叉树
#pragma once
#include <stdio.h>
#include <stdlib.h>
#include <stdbool.h>
#include <assert.h>
typedef int HPDataType;
typedef struct Heap
{
HPDataType* a;
int size;
int capacity;
}HP;
//初始化
void HPInit(HP* php);
//销毁
void HPDestroy(HP* php);
//交换
void Swap(HPDataType* p1, HPDataType* p2);
//向上调整
void AdjustUp(HPDataType* a, int child);
//插入(小堆)
void HPPush(HP* php, HPDataType x);
//向下调整
void AdjustDown(HPDataType* a, int size, int parent);
//删除(根节点)
void HPPop(HP* php);
//返回堆顶数据
int HPTop(HP* php);
//判空
bool HPEmpty(HP* php);
//返回数据个数
int HPSize(HP* php);#define _CRT_SECURE_NO_WARNINGS 1
#include "Heap.h"\
//初始化
void HPInit(HP* php)
{
assert(php);
php->a = NULL;
php->size = 0;
php->capacity = 0;
}
//销毁
void HPDestroy(HP* php)
{
assert(php);
free(php->a);
php->a = NULL;
php->size = 0;
php->capacity = 0;
}
//交换
void Swap(HPDataType* p1, HPDataType* p2)
{
HPDataType tmp = *p1;
*p1 = *p2;
*p2 = tmp;
}
//向上调整
void AdjustUp(HPDataType* a, int child)
{
int parent = (child - 1) / 2;
while (child > 0)
{
if (a[child] < a[parent])
{
Swap(&a[child], &a[parent]);
child = parent;
parent = (child - 1) / 2;
}
else
break;
}
}
//插入(小堆)
void HPPush(HP* php, HPDataType x)
{
assert(php);
if (php->size == php->capacity)
{
int newcapacity = php->capacity == 0 ? 4 : php->capacity * 2;
HPDataType* tmp = (HPDataType*)realloc(php->a, sizeof(HPDataType) * newcapacity);
if (tmp == NULL)
{
perror("realloc fail");
exit(-1);
}
php->a = tmp;
php->capacity = newcapacity;
}
php->a[php->size] = x;
php->size++;
AdjustUp(php->a, php->size - 1);
}
//向下调整
void AdjustDown(HPDataType* a, int size, int parent)
{
int child = parent * 2 + 1;
while (child < size)
{
if ((child + 1) < size && a[child + 1] < a[child])
child++;
if (a[child] < a[parent])
{
Swap(&a[child], &a[parent]);
parent = child;
child = parent * 2 + 1;
}
else
break;
}
}
//删除(根节点)
void HPPop(HP* php)
{
assert(php);
assert(php->size > 0);
Swap(&php->a[0], &php->a[php->size - 1]);
php->size--;
AdjustDown(php->a, php->size, 0);
}
//返回堆顶数据
int HPTop(HP* php)
{
assert(php);
assert(php->size > 0);
return php->a[0];
}
//判空
bool HPEmpty(HP* php)
{
assert(php);
return php->size == 0;
}
//返回数据个数
int HPSize(HP* php)
{
assert(php);
return php->size;
}TOP-K问题:即求数据结合中前K个最大的元素或者最小的元素,一般情况下数据量都比较大
比如:专业前10名、世界500强、富豪榜、游戏中前100的活跃玩家等
对于Top-K问题,能想到的最简单直接的方式就是排序,但是:如果数据量非常大,排序就不太可取了(可能数据都不能一下子全部加载到内存中)。最佳的方式就是用堆来解决,基本思路如下:
大致的实现代码是这样

数据量非常非常大的时候,比如在文件中有1000000000个值,找出最大的前十个
这时我们不可能建大堆去pop 10次,太消耗内存了
我们的思路是:假如TopK

这里我们创建数据的时候%了10000000,保证数据都是在10000000以内的
我们创建的文件就在文件夹中




#define _CRT_SECURE_NO_WARNINGS 1
#include <stdio.h>
#include <stdlib.h>
#include <time.h>
void Swap(int* p1, int* p2)
{
int tmp = *p1;
*p1 = *p2;
*p2 = *p1;
}
void AdjustUp(int* a, int child)
{
int parent = (child - 1) / 2;
while (child > 0)
{
if (a[child] < a[parent])
{
Swap(&a[child], &a[parent]);
child = parent;
parent = (child - 1) / 2;
}
else
break;
}
}
void AdjustDown(int* a, int size, int parent)
{
int child = parent * 2 + 1;
while (child < size)
{
if (child + 1 < size && a[child + 1] < a[child])
{
++child;
}
if (a[child] < a[parent])
{
Swap(&a[child], &a[parent]);
parent = child;
child = parent * 2 + 1;
}
else
break;
}
}
void CreatNDate()
{
//造数据
int n = 10000000;
srand(time(0));
const char* file = "data.txt";
FILE* fin = fopen(file, "w");
if (fin == NULL)
{
perror("fopen error");
return;
}
for (int i = 0; i < n; i++)
{
int x = (rand() + i) % 10000000;
fprintf(fin, "%d\n", x);
}
fclose(fin);
}
void PrintTopK(const char* file, int k)
{
FILE* fout = fopen(file, "r");
if (fout == NULL)
{
perror("fopen error");
return;
}
//建一个k个数的小堆
int* minheap = (int*)malloc(sizeof(int) * k);
if (minheap == NULL)
{
perror("malloc fail");
return;
}
//读取前k个数
for (int i = 0; i < k; i++)
{
fscanf(fout, "%d", &minheap[i]);
//建小堆
AdjustUp(minheap, i);
}
//读文件剩下的值
int x = 0;
while (fscanf(fout, "%d", &x) != EOF)
{
//与堆顶进行比较
if (x > minheap[0])
{
//替代堆顶的值
minheap[0] = x;
//向下调整
AdjustDown(minheap, k, 0);
}
}
for (int i = 0; i < k; i++)
{
printf("%d ", minheap[i]);
}
printf("\n");
fclose(fout);
}
int main()
{
//CreatNDate();
PrintTopK("data.txt", 5);
return 0;
}结果我们就可以找出前k个值了
