
背景:抗精神病药物是精神病发作的首选治疗药物,但抗精神病药物治疗反应(AP-R)是不可预测的,只有在治疗数周后才变得清晰。目前还没有AP-R的生物标志物。我们回顾了功能性磁共振成像功能连通性(fMRI-FC)是AP-R的预测因子或可作为精神病AP-R的生物标志物的假设证据。
方法:根据PRISMA指南,对纵向fMRI研究进行系统回顾,研究FC和AP-R之间的预测性能和关系。对检索到的研究进行技术和临床方面的严格评估。我们解决了三个问题:Q1)基线fMRI-FC是否与随后的AP-R相关;Q2) AP-R是否与fMRI-FC变化相关;Q3) fMRI-FC基线能否预测随后的AP-R?
结果:共纳入文献28篇。大多数研究的质量都很好。fMRI-FC分析管道包括基于种子的、独立成分/典型相关分析、基于网络的统计和图形理论方法。我们发现在方法方法和结果上存在高度异质性。对于Q1 (N = 17)和Q2 (N = 18),最一致的证据是纹状体和腹侧注意网络之间的FC是AP-R的潜在生物标志物。对于Q3 (N = 9),准确率从50%到93%不等,预测模型基于不同脑区之间的FC。
结论:目前关于AP-R的fMRI-FC文献受到方法学方法异质性的阻碍。在fMRI- FC分析在抗精神病治疗的临床应用中占有一席之地之前,需要方法的一致性和进一步提高fMRI连接分析的可靠性和有效性。
1. 简介
抗精神病药物(AP)是精神分裂症谱系和其他精神障碍的首选治疗方法,其特征是妄想、幻觉、思维混乱、异常运动行为(包括紧张症)和阴性症状。在世界范围内,精神分裂症谱系障碍的终生患病率约为3%。在多达40%的患者中,首次处方AP后症状没有得到缓解。治疗的成功目前是不可预测的,只有在治疗几周后才会明朗。因此,AP治疗是基于试错过程。因此,确定个体抗精神病药物治疗反应(AP-R)的可靠标记可以显著帮助精神病患者的临床护理。
功能磁共振成像(fMRI)中的功能连接(FC)被认为是一种潜在的AP-R生物标志物。fMRI-FC的特点是来自大脑不同区域的低频血氧水平依赖(BOLD)信号波动的相互依赖性。fMRI-FC改变与精神病患者的临床损害有关,并且在横断面研究中与AP-R有关。治疗抵抗的患者在视觉和听觉信息处理区域以及感觉运动网络区域显示出可重复的变化,而这些变化在对AP有反应的患者中不存在。相比之下,AP-R与额颞叶、皮质纹状体、默认模式和突出网络内或之间的fMRI-FC激活和偏离有关。这些结果支持精神病患者与AP-R相关的宏观脑网络改变的概念。然而,考虑到AP-R只能在治疗几周后测量,需要纵向设计来开发个性化的生物标志物或结果预测因子。最近对首发精神分裂症(FE)纵向功能磁共振成像(fMRI)研究的回顾显示,不同脑区(即前额皮质、杏仁核、海马和基底神经节)在基线时活性降低,随后治疗后脑活动正常化(与AP-R无关)。在更多的慢性精神分裂症样本中,最一致的报告发现是额叶皮质区域的激活正常化或增加。此外,以前的文献也能够使用机器学习技术预测AP-R。
在这篇系统综述中,我们旨在评估fMRI-FC与AP-R相关的证据,以及fMRI-FC在个体水平上作为AP-R生物标志物的潜力。因此,我们系统地回顾了以下方面的文献:1)fMRI-FC在基线时与AP-R相关的组水平比较,2)fMRI-FC与AP-R相关的变化,以及3)基于fMRI-FC的AP-R预测模型(图1)。从这个角度来看,fMRI-FC是AP-R有意义的底物的最高证据将是与所有三个研究问题的结果一致,即1)在组水平上比较反应者和无反应者时,治疗前患者的fMRI-FC模式不同;
2)这些模式在与治疗效果相关的纵向治疗数据中归一化;3)基线模式可作为AP-R的预测标志物。通过这种方式,我们正在研究基线时一致的偏差FC,这与AP-R相关,在有效治疗后正常化,并且还能够预测AP-R,其中基于基线模式预测AP-R的能力将是寻找生物标志物时的最终目标。分析影响干预与治疗结果之间关系的强度或方向的调节因子,以及独立于特定治疗影响治疗结果的预测因子,可以从多维角度了解fMRI-FC在AP-R中的作用。

图1 研究问题
以前的综述只解决了这些研究问题的一部分,没有关注AP-R,没有系统的方法,或者不考虑个人联系。在当前的综述中,所有三个研究问题的整合提供了一个独特而全面的视角,这在寻找强大的生物标志物时至关重要。基于fMRI-FC分析的AP-R研究使用了不同的分析范式(例如,基于种子的分析与全脑独立成分分析[ICA]);即使在相同的数据集中,这些范式也只显示出中等强度的相关性。因此,我们也评估了跨方法学方法的研究结果的普遍性。本综述研究的fMRI-FC与AP-R相互作用的复杂性值得阅读指导。
l与症状改善的相关性(Q1、Q2)称为与AP-R的相关性。
l在基线(Q1),改变的FC可能与症状改善(APR)负相关(FC-)或正相关(FC +)。
l在FC和临床症状评分(Q2)之间的纵向比较中,基线FC可以随时间增加或减少。
l精神分裂症谱系和其他精神障碍的症状可分为不同的领域:阳性症状(如幻觉和妄想)和阴性症状(如冷漠)。这些将分别被称为PANSS/BPRS+或PANSS/BPRS。大多数AP主要针对多巴胺能系统,其主要作用是减少阳性症状,氯氮平等明显例外。由于我们想提供一份完整的文献综述,本综述涵盖了所有症状(阳性(+)、阴性(-)、一般、总分)。
2. 关键方法
2.1 搜索策略和选择标准
根据系统评价首选报告项目(PRISMA)指南进行文献检索。截止2022年10月发表的研究被纳入,使用PubMed和EMBASE数据库。对所选研究的参考文献列表进行了审查,以寻找其他相关文章。纳入的研究符合以下标准:(a)通过标准诊断标准检查患有精神病谱系诊断的参与者;(b)实施AP治疗;(c)任何疾病持续时间和目前的治疗状况(基线时未用药或正在使用AP);(d)任务或静息状态(rs)期间fMRI-FC或功能网络特征的结果;(e)至少一次基线扫描;(f)在不同时间进行的至少两次临床评估,两者之间有任何间隔;(g)比较包括AP-R和AP-NR的对比(AP-R的分化);(h)以英文发表的文章。采用横断面研究设计作为排除标准。为了减少选择偏倚的风险,文献检索和选择过程由两位研究者(LvR, LD)独立完成。
如果没有达成一致意见,则涉及第三作者(EvD)。结果按研究问题分类,即Q1)与AP-R相关的基线fMRI-FC;Q2) fMRI-FC中AP-R相关的变化;Q3) fMRI-FC作为AP-R的预测因子(图1)。在一项研究解决多个研究问题的情况下,它包含在几个不同的研究调查中。
2.2 数据提取
记录每项研究的信息:(a)第一作者和出版年份;(b)研究设计;(c) fMRI特征,包括分析方法(基于种子vs全脑和范式(基于任务vs基于种子);(d)样本特征,包括受试者数量、诊断、年龄和性别;(e)类型、剂量(为了研究之间的可比性,使用奥氮平作为参考,将其计算为每日定义剂量(DDD)) 和AP治疗时间;(f) AP-R结果;(g)评估的脑区;(h)相应的静息状态网络(RSN)(即默认模式网络(DMN)、背侧注意网络(DAN)、额顶叶网络(FN)、边缘网络(LN)、体感网络(SN)、纹状体、丘脑、腹侧注意网络(VAN)、视觉网络(VN))(对于未使用RSN框架的基于种子的研究,根据之前对1000名参与者进行的全脑网络分割所定义的估计位置,将种子分类为RSN ;(i) fMRI-FC与引言中定义的精神病症状评分改善的相关性;(j) fMRI-FC纵向研究:FC在种子区之间的变化方向(即FC强度的增加或减少)。数据分别评估:1)fMRI-FC基线与AP-R的相关性;2) fMRI-FC中AP-R相关的变化;fMRI-FC作为AP-R的预测因子。详细的方法和结果在补充资料中提供。这些包括关于搜索策略的额外信息,DDD的计算,偏差风险(RoB)工具。
2.3 数据处理和可视化
最初,在数据集中识别出的所有重要的神经连接都被制成表格。接下来,在Rstudio中生成连接矩阵。为了将这种结构化数据转换为可视化表示,连接矩阵被加载到神经映射和可视化工具(NeuroMArVL)中。通过将我们的数据放入这个平台,我们能够生成重要神经连接的详细和信息可视化,提供了对纳入研究中存在的复杂相互关系的整体概述和细致入微的见解。
3. 结果
3.1 搜索结果
最初的搜索产生了4539个点击和3749篇没有重复的文章。经过筛选和资格评估,纳入了28项研究。在一项研究中,我们确定了两个不同的队列,在我们的研究中,我们随后将其称为Nelson 2022a和Nelson2022b。共调查952例患者,其中551例为FE精神病,220例为2次及以上发作或慢性精神病,181例疾病状态不明。Q1) 17项研究报告了随访时fMRI-FC和AP-R的基线,Q2) 18项研究调查了与AP-R相关的治疗前后fMRI-FC特征变化之间的关系, Q3) 9项研究调查了基于fMRI-FC的AP-R预测。
3.2 ROB评价和方法学质量
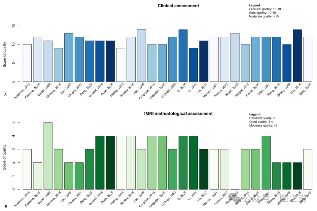
临床和方法学评估的证据质量总体良好(图2)。11%的研究在临床评估中被评为中等质量。用药剂量和伴随用药最常被评为次优。25%的研究在fMRI处理中被标记为中等质量,最常见的是由于次优扫描时间和缺乏报告rs条件。研究之间的人群存在显著的异质性。一些研究只关注APnaive患者,而其他参与者则包括之前已经服用过AP的参与者。

图2 每个研究的ROB评估得分A:临床参数,B: fMRI方法学参数。
3.3 Q1:基线FC与AP-R相关
17项研究报告了AP-R和AP-NR之间基线FC的差异。研究纳入585例患者,其中FE患者408例,慢性患者177例。16项研究使用rs设计,一项研究使用基于任务的设计(在stroop-color命名任务期间)。基线和随访之间的间隔从1周到24个月不等(中位数为8周)。15项研究将AP-R定义为临床症状评分或亚量表评分(阳性或阴性评分)变化的百分比。三项研究将AP-R定义为症状评分降低的先验设定百分比(即20%、30%和35%)。治疗包括利培酮单药治疗(N = 9项研究),使用可变AP药物进行单药治疗(N = 4) ,单药或多药可变AP药物治疗或利培酮和阿立哌唑1:1随机化。两项研究没有明确AP治疗的类型。关于fMRI分析,12项研究使用了基于种子的方法,3项研究使用了ICA ,两项研究使用了经典相关分析(CCA) ,一项研究使用了图理论分析。
基线时共报告了117个与AP-R相关的唯一连接(图3和图4)。图论研究显示AP-R和AP-NR之间无显著差异。不止一项研究报告了与AP-R相关的六个独特连接。
最具说服力的证据是纹状体-VAN之间的FC;235例患者接受利培酮(N = 194)、氯氮平(N = 22)或阿立哌唑(N = 18)治疗后,随访6 ~ 12周进行临床评价。三项研究报道壳核前扣带皮层(ACC) FC与AP-R相关;而在rs研究中,这方面的FC连接障碍与AP-R(阳性症状)呈负相关,基于任务的研究显示FC连接障碍与AP-R正相关(阳性症状)的相反结果。两项研究报道尾状- ACC与AP-R相关,在这方面发现了AP-R的负相关和正相关(对于阳性症状)。
此外,有4项研究报道尾状核岛FC与AP-R有关;其中三人报告这种联系与AP-R(阳性症状)呈正相关。相比之下,一项研究报告这种联系与AP-R(阳性症状)呈负相关。此外,两项rs研究发现壳核岛之间的FC连接障碍与AP-R呈负相关。
最后,一项研究发现壳核岛之间的连接障碍与AP-R(阴性症状)呈正相关。

图3 与AP-R相关的重要基线FC +连接概述(Q1),表明这些连接的高基线FC与AP-R相关。每个显著连接的区域在RSN中划分,用相应的颜色表示。

图4 与AP-R相关的显著基线FC-连接概述,表明这些连接的较低基线FC与AP-R相关。每个重要的连接用RSN划分,用相应的颜色表示。
3.4 Q2:FC变化与AP-R相关
18项研究调查了与AP- r相关的AP治疗前后FC的变化。共纳入482例患者,其中FE患者355例,慢性患者69例,疾病状态不明患者58例。表1b概述了与AP-R相关的FC更改的结果。除了一项使用stroop-color命名任务的研究外,所有的研究都使用了fMRI。基线和随访之间的间隔从1周到24个月不等(中位数为8周)。两项研究将AP-R定义为症状评分降低的先验设定百分比(即30%和50%),其他研究将AP-R定义为临床症状(亚量表)评分变化的百分比。治疗方案为利培酮单药治疗(N=7),奥氮平单药治疗(N=2),利培酮和阿立哌唑1:1随机化(N=1) 多种APagents,包括利培酮(N=5) 或未报道(N=2)。14项研究使用基于种子的方法分析fMRI数据,2项研究使用ICA ,一项研究使用了基于网络的统计(NBS) ,一项研究也使用了CCA ,三项研究使用了图论方法。
据报道,AP-R总共改变了45个独特的连接(图5和6),其中三个连接在不止一项研究中被发现。最有说服力的证据是纹状体VAN和纹状体DMN之间的FC。在接受利培酮(N=116)或阿立哌唑(N=18)治疗的134例患者中报道了这些结果,并在随访6至12周期间进行了临床评估。纹状体与VAN之间的联系:一项基于任务的研究和一项rs研究发现,治疗后壳核与ACC之间的FC增加,与AP-R(阳性症状)相关。一项研究发现壳核岛FC增加与AP-R(阳性症状)相关,但另一项研究报告FC减少与AP-R相关(阴性症状)。两项研究发现,尾状海马(纹状体DMN连接)之间rs FC的增加与AP-R(阳性症状)相关,在一项研究中,尾状海马FC减少与AP-R(阳性症状)相关。图论研究报告了相互矛盾的结果。一项研究发现,随着时间的推移,全球聚类的增加与AP-R(阴性症状)有关,而另一项研究发现,随着时间的推移,全球聚类的减少与AP-R(总分)有关。全球效率的提高与AP-R有关。在检查特定的大脑区域时,一项研究发现纹状体内的度中心性下降,另一项研究发现DMN和AP-R内两个局部结构的网络效率增加之间存在相关性。

图5 纵向FC增加改变AP-R相关连接的综述。每个重要的连接用RSN划分,用相应的颜色表示。

图6 纵向FC减少改变AP-R相关连接的概述。每个重要的连接用RSN划分,用相应的颜色表示。
3.5 Q3:FC预测AP-R
9项研究探讨了基于fMRI-FC的AP-R预测。8项研究使用功能磁共振成像,1项研究使用N-back任务。共纳入310例患者,其中FE患者157例,疾病状态未知患者95例,两项研究均纳入(N = 58) 。全脑法和ROI法均有报道。基线和随访之间的间隔在研究中从8周到7个月不等(中位数为8周)。五项研究将APR定义为临床症状评分变化的百分比。三项研究将AP-R定义为症状减轻的先验集合百分比(即20%,35%,50%)。4项研究旨在预测利培酮(1项研究、奥氮平(3项研究
或喹硫平(一项研究。一项研究在利培酮和阿立哌唑之间采用1:1随机分组;在三项研究中,患者接受了可变AP治疗。
关于fMRI方法,七项研究使用了基于种子的方法,两项研究采用了ICA ;九项研究中有七项使用支持向量机(SVM)对数据进行分类。一项研究使用了随机森林(RF)模型,一项研究测试了假设驱动指数的预测值。只有三项研究在独立样本中验证了他们的结果;通过使用独立队列、遗漏(LOSO) 或使用单独样本方法。结果的验证通常通过留一交叉验证(LOOCV)方法进行。基于fMRI-FC预测AP-R的准确度在57.4%和93.2%之间,特异性为54.6%-100%,敏感性为50.0%-90.9%。包括独立样本验证方法在内的研究结果在75%到84.2%之间变化。包括独立测试队列在内的两项研究调查了纹状体和全脑之间的FC (N = 41和N = 95例患者),准确度分别为80%和75%。患者接受可变AP(平均奥氮平等效剂量15.5 mg)治疗,6至12周后进行临床评估。另一项包含验证数据集的研究调查了包括纹状体在内的不同大脑区域的度中心性。没有验证样本的六项研究研究了基于不同脑区之间FC的AP-R预测。
4. 讨论
我们目前对fMRI-FC与精神病AP-R相关文献的系统回顾表明,这是一个相对较新的领域,方法仍在迅速发展。我们发现纹状体VAN和纹状体-DMN之间的连通性在基线时呈不同的变化模式。感兴趣的关键区域包括纹状体中的壳核和尾状核,以及VAN中的岛和ACC。值得注意的是,观察到低连通性和超连通性,随后报告了FC随时间的增加或减少。随着时间的推移,这些不同的FC改变削弱了基线连接障碍通过AP治疗正常化的假设的证据。预测研究报告了AP-R的高准确性,但它们在用作预测模型输入的特定连接中存在异质性。研究的方法学质量总体上是好的,但主要是基于相对较小的样本量。我们发现了各种各样的方法学方法(例如,不同的功能磁共振成像范式,分析管道),并且我们没有发现报告试图复制或伪造先前工作的研究。
纹状体是研究最广泛的大脑区域,在17项基线研究中,纹状体的FC连接障碍作为潜在AP-R影响的指标有12项。然而,应该谨慎地解释文献的发现。然而,在这12项研究中,只有7项报告了与AP-R相关的纹状体连接。同样,19项研究中有11项研究了纹状体中与AP-R相关的FC变化,但其中只有5项研究发现了纹状体的显著联系。
本综述的发现可以与精神分裂症的多巴胺假说相结合。该理论指出,纹状体中多巴胺能传递的中断是精神病的一个关键病理生理特征,而AP治疗的一个关键机制涉及它们与多巴胺受体的结合。此外,有研究表明,精神分裂症患者纹状体连通性的个体间变异是功能失调的。
5. 结论
总之,我们的系统综述显示,fMRI-FC分析特别是纹状体-VAN和纹状体-DMN耦合值得进一步研究,因为它有望作为AP-R的潜在预测或生物标志物。然而,目前关于AP-R的fMRI-FC文献由于方法方法的异质性和样本量小而受到阻碍。在临床应用之前,需要对fMRI连通性分析进行协调和优化。在fMRI-FC分析在临床实践中有价值之前,需要使用更严格的研究方法、标准化的分析管道、一致的结果测量和来自多中心研究的大型数据集的整合,以便更有针对性地选择AP治疗。
参考文献:fMRI connectivity as a biomarker of antipsychotic treatment response: Asystematic review.
原创声明:本文系作者授权腾讯云开发者社区发表,未经许可,不得转载。
如有侵权,请联系 cloudcommunity@tencent.com 删除。
原创声明:本文系作者授权腾讯云开发者社区发表,未经许可,不得转载。
如有侵权,请联系 cloudcommunity@tencent.com 删除。