
摘要:怀孕期间抑郁很常见,在covID大流行期间患病率进一步增加。最近的研究表明,产前抑郁对儿童神经发育和行为有潜在影响,但其潜在机制尚不清楚。孕妇轻度抑郁症状是否会影响发育中的大脑也不清楚。在这项研究中,40名健康孕妇在妊娠12周、24周和36周时用贝克抑郁量表- ii评估了她们的抑郁症状,她们的健康足月新生儿在没有镇静的情况下接受了包括静息状态功能磁共振成像(fMRI)在内的脑部MRI检查,以评估功能连接的发展。功能连接与产妇贝克抑郁量表ii评分之间的关系采用Spearman's秩偏相关检验,并采用适当的多重比较校正与新生儿性别和胎龄进行控制。新生儿脑功能连通性与母亲的贝克抑郁量表- ii评分在妊娠晚期呈显著负相关,但在妊娠早期和中期则无显著负相关。妊娠晚期较高的抑郁症状与新生儿额叶和额颞叶与枕叶之间较低的脑功能连通性相关,表明即使在没有临床抑郁症的情况下,母亲抑郁症状也可能影响后代的大脑发育。
1. 引言
抑郁症是一种常见的精神疾病,与男性相比,女性更普遍。此外,孕妇特别关注抑郁症,因为与怀孕有关的生理和代谢变化可能在引发症状方面发挥重要作用。过去,美国重度抑郁症的患病率从怀孕期间为8.5%至11.0%,产后第一年为6.5%至12.9%。重要的是,COVID-19大流行进一步增加了孕妇中抑郁症的患病率。例如,2020年夏季进行的一项美国研究报告称,围产期妇女中临床显著抑郁症状的患病率为36.4%,2020年进行的另一项研究也报告称,与大流行前相比,围产期妇女的临床抑郁症增加了约2.7倍。怀孕期间的抑郁不仅是女性的健康问题,也是她们后代潜在的长期健康问题。怀孕期间母亲抑郁对后代气质、神经发育和认知功能的影响已有报道。母亲抑郁得分较高怀孕期间的症状与不同测量所反映的婴儿气质困难增加有关。怀孕期间的母亲抑郁症状也被发现与婴儿较高的负面情绪相,消极情绪和反应性。认知不良影响或行为发展在怀孕期间患有抑郁症的母亲所生的孩子中也有报道。此外,这些影响可能是纵向的。例如,一项研究表明,抑郁女性的男性新生儿在运动技能和状态调节方面得分较低,后来这些婴儿的广泛性焦虑得分明显较高,并在1岁时出现睡眠问题。另一项研究表明,抑郁女性所生的婴儿在6个月和14个月时,个人社会发展都有所延迟。
尽管怀孕期间母亲抑郁与后代神经发育之间存在充分的联系,但其潜在机制尚不清楚。母亲在怀孕期间的抑郁可能直接影响胎儿的大脑发育,这种对胎儿大脑发育的编程可能导致以后生活中的不良后果。这种直接影响可能反映在胎儿或新生儿阶段的神经影像学。例如,利用结构神经成像的新研究表明,母亲抑郁与胎儿或新生儿脑白质或灰质发育之间存在关联,尤其是在大脑边缘和额叶区域。此外,新的脑扩散神经影像学研究或功能测量揭示了母亲抑郁与胎儿或新生儿大脑发育之间的联系。这些新出现的数据表明,先进的神经影像学可能是研究母亲抑郁对发育中的大脑影响的一种有效和敏感的工具,并可能揭示胎儿大脑发育和功能的潜在母体编程。
大多数报告母亲抑郁与后代大脑发育关系的现有研究都是在临床抑郁人群中进行的。在这种模式下,很难分析在没有临床抑郁症的情况下抑郁症状是否也会影响发育中的大脑。我们假设,在没有临床抑郁症的情况下,怀孕期间母亲的抑郁症状可能会影响后代大脑的功能发育,并通过静息状态功能磁共振成像(RS-fMRI)测量的功能连通性(FC)的变化来反映。为了验证这一假设,我们在怀孕12周、24周和36周时测量了一组没有临床抑郁症的健康孕妇的抑郁症状。然后我们对他们的新生儿进行MRI检查,包括出生后约2周的RSfMRI扫描。研究并报道了孕期产妇抑郁症状与新生儿脑FC之间的相关性。
2. 材料与方法
2.1 被试
所有研究程序均经阿肯色大学医学科学机构审查委员会批准,所有参与者(孕妇)签署了自己及其新生儿参与本研究的知情同意书。这项研究从阿肯色州儿童营养中心的一项大型临床研究中招募了怀孕期间没有医学并发症的正常孕妇。所有孕妇均为单胎妊娠,入组时年龄为221岁。排除有下列情况者:高血压、糖尿病或其他已知影响胎儿生长的既往疾病;自我报告怀孕期间使用娱乐性药物、烟草或酒精的情况;辅助生育治疗的妊娠;或者怀孕期间出现的已知会影响胎儿生长的疾病。此外,早产儿或患有已知影响生长发育的疾病或药物的新生儿(如出生缺陷、脑畸形或与分娩相关的脑损伤),或无法在自然睡眠期间完成脑MRI检查的新生儿也被排除在外。同时参加抑郁问卷和MRI扫描,43对婴儿同时具有母亲抑郁评分和新生儿RS-fMRI数据。其中3例因数据分析章节中RS-fMRI图像质量问题被进一步排除在本报告之外,其余40例被纳入本报告。纳入受试者的人口学和临床信息见表1。
表1 研究对象的人口学和临床信息

2.2 临床和MRI数据采集
本报告中纳入的孕妇(n=40)分别在妊娠12周(n=38)、24周(n=39)和36周(n=40) 3个时间点使用贝克抑郁量表- ii (BDI-II)测量抑郁症状。BDIII是一份包含21个项目的自我报告问卷,用于评估青少年和成人的抑郁严重程度,是BDI的更新版本,症状-态度评估包括测量过去两周内抑郁的情感、植物性、认知和躯体症状的项目。由于其高效度、内部一致性和对变化的敏感性,BDI-II目前是研究和临床实践中评估抑郁症最广泛使用的测量方法之一。在21个问题中,每个答案的得分为0-3分,总分为0-63分,得分越高抑郁症状越严重。标准化临界值如下:0-13分为“轻度”抑郁症状,14-19分为“轻度”抑郁症状,20-28分为“中度”抑郁症状,29-63分为“重度”抑郁症状。在约2周龄时,在不使用镇静的自然睡眠状态下对新生儿大脑进行MRI检查。新生儿在扫描前15-30分钟进食,用温暖的被单包裹,并使用MedVac婴儿固定器进行MRI扫描。在脚上放置脉搏血氧仪探头,以监测血氧饱和度和心率,并在耳朵上放置迷你手套和耳机,以隔离扫描仪的噪音。MRI检查在1.5 Tesla Achieva MRI扫描仪(Philips Healthcare, Best, Netherlands)上进行,孔径为60 cm,梯度振幅为33 mT/m,最大旋转速率为100 mT/m/ms。使用儿童8通道SENSE头线圈。采用新生儿脑MRI方案,其中包括三维t1加权成像序列,TR为7.1 ms, TE为3.2 ms,翻转角度为8°。
2.3 MRI数据预处理
MRI数据预处理从扫描仪中检索所有t1加权和RS-fMRI图像,并使用与先前出版物相似的方法进行预处理。简单地说,RS-fMRI数据是由FMRIB Software Librar和高级规范化工具。RS-fMRI数据经过刚体运动校正、干扰信号回归和带通滤波处理。使用FSL工具meflirt进行刚体运动,并对框架位移> 0.3 mm的RS-fMRI数据进行额外的清洗。干扰信号回归使用32个参数,其中8个回归量对应于从mcflirt、白质和脑脊液信号中计算的6个运动参数,以及它们的导数、二次导数和平方导数项。RS-fMRI数据采用AFNI (0.01 ~ 0.08 Hz)带通滤波。为了避免影响拟合,在妨害回归过程中忽略了删减时间点,但随后从数据中删除。将RS-fMRI图像配准到各自的3D t1加权图像,然后将每个受试者的3D t1加权图像配准到UNC新生儿模板,将RSfMRI数据对齐到标准空间。这两种对齐都是使用蚁群仿射变换实现的,因此在受试者内从功能到解剖的对齐避免了大的空间距离移动。变换的逆变换还用于扭曲不同的组织(白质、灰质和脑脊液)掩模,以提取相应的信号。共同注册的RS-fMRI数据进一步使用全宽为6 mm的高斯核进行平滑,并截断为102个体积。最后,从RS-fMRI数据中提取全局信号,并使用UNC新生儿模板定义的灰质区域进行回归。
2.4 统计分析
对于灰质的FC测量,提取UNC新生儿模板中定义的90个大脑皮层区域的每个区域的平均时间序列并用于进行相关性测试。然后对Spearman相关系数(R)进行Fisher-z变换,得到每个受试者90个大脑皮层区域中任意2个区域之间的4005对单独的fc (z)比较孕期3个时间点产妇BDI-II评分,采用方差分析(ANOVA)。此外,采用Spearman's秩偏相关检验进行统计分析,以评估产妇BDIII评分和新生儿脑fc与儿童性别和胎龄之间的关系。性别和胎龄作为潜在的混杂因素进行了控制,因为已经报道了与性别和胎龄/经后年龄相关的婴儿大脑差异。所有受试者在妊娠期间3个时间点的BDI-II评分和每个FC之间进行测试。变量之间的相关系数(r值)和显著性水平。对于多重比较校正,由于每个受试者总共有4,005个FC对,我们采用了文献中p值小于0.00025阈值(等于1/n,其中n=4,005是可能的总比较数)的方法,考虑到该方法允许每个FC发现一个假阳性,但可能允许识别更多的真阳性。由于样本量远远小于我们研究中的比较总数,我们还进行了基于树的分析,特别是交叉验证排列变量重要性评估,以进一步验证我们的发现。使用Python(版本3.6)和MATLAB软件(版本2018b)进行预处理和统计分析。

图1妊娠12、24、36周产妇BDI-II评分总结怀孕。中位数(白色圆圈),第25和75百分位数(深色)条),以及范围(细线)显示每个时间点。
3. 结果
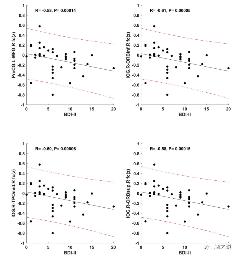
图1的条形图显示了孕妇在整个妊娠期间不同时间点的BDI-II评分,表1显示了每个类别(轻度/轻度/中度/重度抑郁症状)的受试者人数。不同时间点间进行方差分析,2个时间点间无显著差异。从12周(BDI-II评分5.0±3.1)到24周(BDI-II评分),母亲在妊娠晚期有抑郁症状加重的趋势(5.3±3.3),至36周(BDI-II评分6.8±4.4)。然而,每个妊娠期的平均症状评分都在最低抑郁症状范围内,证实这是一个正常的队列,在入组时没有临床抑郁,除了3名受试者外,所有受试者在任何随访中都有最低抑郁症状。新生儿脑静息状态FC与母亲BDIII评分在妊娠晚期呈显著负相关(P<0.00025),但在妊娠早期和中期均无显著负相关。已识别的fc与BDI-II评分的图形可视化如图2所示,而每个fc对应的区域如图3所示。具体来说,妊娠36周时,在4个成对的FCs中发现了与BDI-II评分的显著相关性(图4)。

图2 孕晚期母亲抑郁症状与新生儿脑静息状态FC在4个两两区域的显著负相关(P<0.00025)的可视化图表。

图3 已识别的fc(红线)与母亲抑郁症状有显著相关性,所涉及的皮质区域(用颜色标记)的位置示意图。已识别的fc用矢状面和冠状面图(a、c)和轴向图(b、d)表示。

图4 散点图显示怀孕36周时母亲的BDI-Il评分与新生儿的FC z评分之间存在显著相关性。
4. 讨论
我们采用一项纵向队列的前瞻性研究设计来研究正常人群和假定健康人群中怀孕期间母亲抑郁症状与后代新生儿脑功能发育之间的潜在关系。这些与母亲抑郁症状相关的FC差异主要涉及额叶内部以及额叶/颞叶与枕叶之间的连接。
最近的多项研究报告了母亲抑郁与后代大脑发育之间的联系。在大脑结构方面,发现母亲抑郁症与大脑灰质和白质总量的变化有关。尽管一些研究报告了怀孕期间不同区域的脑容量减少与母亲抑郁相关,包括杏仁核、尾状核、壳核和丘脑,但也有其他研究表明呈正相关或与杏仁核无显著相关性和海马。此外,关于额叶区域皮质厚度的变化也有相互矛盾的结果,一项研究显示,母亲抑郁与儿童前额叶皮层、颞上回和顶叶上脑表面积呈正相关(Wei etal . 2022)。在脑功能方面,怀孕期间母亲抑郁症状加重与后代杏仁核与尾状核、前扣带、岛叶、颞极之间的FC降低相关;前额-顶叶区和颞-顶叶区之间;前额皮质和杏仁核之间的关系。然而,另一项研究也发现杏仁核与颞叶、岛叶和前额叶皮层之间的FC呈正相。有趣的是,我们的研究没有发现母亲抑郁症状与涉及杏仁核的FC之间有任何显著的相关性,杏仁核是研究最多的与抑郁相关的大脑区域之一,被认为在情绪处理中起着重要作用。相反,我们的结果表明,FC在大脑的其他区域发生了变化。虽然样本量和统计能力可能在这方面发挥了作用,但我们的研究结果表明,母亲抑郁症状对后代脑功能发育的影响可能不是在杏仁核区域最突出。
本研究中FC与母亲抑郁症状显著相关的脑区具有重要的功能。例如,PreCG被称为初级运动皮层,负责执行自主运动,据报道,它也在奖励学习中发挥作用。MFG不仅涉及注意和奖励处理,但也从事有助于运动控制的听觉处理、工作记忆和语言处理。在我们的研究中确定的fc可能具有重要的功能意义。例如,据报道,PreCG和MFG之间的FC与心理弹性介导的睡眠质量呈负相。此外,另一项使用皮质电图记录的研究表明,这种连接在儿童和青少年中支持记忆形成和识别精度。其余3个FCs涉及枕叶,与眶额回或颞极回相连。眶额皮质参与奖励处理、学习、情感接触和声音表达识别。时间极与语言和语义记忆加工有。枕叶是大脑的视觉处理区域,下半部分参与人脸处理。眶额回和颞回也参与面部信息处理。
从发育的角度来看,涉及视觉、感觉运动、颞叶和眶额皮质的功能网络也被报道在围产期和婴儿期迅速出现,为观察到的关联提供了发育支持。虽然我们的研究在报道新生儿fc与这些大脑皮质区域的母亲抑郁症状相关方面是新颖的,但已有文献发现表明这些区域可能与临床抑郁有关。例如,重度抑郁症(MDD)与青少年的中央前回和枕回的脑表面积较低以及眶额回和颞叶的皮层较薄有关。研究还发现,重度抑郁症患者的中央前和眶额皮质的灰质体积减少。此外,在一项全脑RS-fMRI分析研究中,MDD组颞回、枕回和中央前回中涉及FC的网络被报道与正常组不同,并且在额叶中发现与抑郁症状负相。此外,在其他研究中也发现重度抑郁症患者额枕区之间的FC减。
如引言所示,许多研究表明,母亲抑郁对后代的认知结果有显著影响。这些结果的变化可能归因于胎儿或新生儿大脑发育的变化。然而,怀孕期间母亲抑郁与胎儿大脑发育变化之间的潜在机制仍有待发现。最近的系统综述提出了涉及遗传和表观遗传观点的不同解释。下丘脑-垂体-肾上腺轴、细胞因子和血清素被认为是生物学机制的潜在介质。另一方面,暴露于母亲抑郁的时间可能对理解假定的因果关系也很重要,因为大脑在胎儿的不同阶段经历了快速发育。例如,怀孕的最后三个月和出生后的头几个月的特点是灰质的密集生长和皮层区域之间的连接。一项研究发现,在3个时间点(19/25/31周)中,妊娠第25周的产妇抑郁症状与前额皮质皮质变薄之间存在最强烈的关联。多项研究选择妊娠晚期来检验母亲抑郁与新生儿大脑发育之间的关系。最后三个月大脑神经元的发育也可能有助于我们在这段时间内检测到的影响。在怀孕后约25周,所有6层皮层都已经形成。一旦神经元迁移到目标目的地并成熟,两个脑细胞之间就会产生突触。通过一系列实验发现,大脑各区域突触密度的增加发生在妊娠中期至出生后3年左右,并在妊娠后期至出生后2个月之间发生快速变。在胎儿大脑发育过程中,突触促进神经活动,通过底板的起伏促进皮质连接。随着胎龄的增加,大脑连接也在增长,近程和半球间连接的强度在妊娠26-29周时显示出乙状窦扩张的峰;相比之下,远程连通性表现出来此外,大脑发育功能的成熟遵循从后到前的模式。
综上所述,这可以解释为什么在本研究中观察到与妊娠晚期产妇抑郁症状相关的半球间额叶连接和远端额叶/颞叶和枕叶连接的变化。这段时间可能是胎儿大脑发育容易受到子宫内环境影响的脆弱时间窗口,比如与母亲抑郁症相关的环境。最近另一项使用RS-fMRI的研究也观察到,妊娠30-31周可以被视为区分神经回路形成成熟和不成熟的截止点,这个时间点与早期回路自发活动向感觉驱动活动转变的同一时期相吻合。此外,这一时期对于建立处理高级认知功能的大脑网络很重要,这些网络可能与IIIc层锥体神经元相关。虽然母亲抑郁在怀孕的不同时间点可能会影响不同的心理发育过程,但我们的研究检查了所有三个不同的三个月,并提供了有关影响时间的重要信息,特别是,仅在妊娠晚期观察到抑郁症状的显著关联。鉴于如上所述的最后三个月大脑皮层的剧烈发育,子宫内大脑发育的这一关键阶段极易受到环境损害。并因此影响胎儿/新生儿的结局,如一般运动以及神经认知等长期结果。尽管在没有临床抑郁症的情况下,探索怀孕期间多个时间点测量的母亲抑郁症状与新生儿脑FC之间的关系是新颖的,但我们的研究也存在一些局限性。样本量相对较小,这可能限制了识别具有显著相关性的其他fc的统计能力。由于脑功能的变化通常是由结构变化引起的,我们还测试了BDI-II评分与大脑皮层结构成像特征(如皮层厚度、体积、表面积和从t1加权图像计算的局部旋转指数)之间是否存在相关性。然而,没有观察到显著的相关性。我们还必须采取保守的方法来控制潜在的混杂因素(仅控制性别和胎龄),因为添加太多协变量可能会降低统计效力。核磁共振扫描是在1.5 T相对较大的体素大小和较少的动态RS-fMRI。然而,许多先前使用类似设备和方案的研究表明RS-fMRI数据的有效性。
最后,虽然我们的纵向研究包括3个时间点的BDI-II测量,但脑成像仅在新生儿年龄进行。未来的研究将很重要,以检验这些关联是否在出生后的生活中仍然显著,以及其他出生后因素是否可以调节这些大脑变化。
参考文献:Associations between mother’s depressive symptoms during pregnancy and newborn’s brain functional connectivity.
原创声明:本文系作者授权腾讯云开发者社区发表,未经许可,不得转载。
如有侵权,请联系 cloudcommunity@tencent.com 删除。
原创声明:本文系作者授权腾讯云开发者社区发表,未经许可,不得转载。
如有侵权,请联系 cloudcommunity@tencent.com 删除。